Research on Downhole MTATBOT Positioning and Autonomous Driving Strategies Based on Odometer-Assisted Inertial Measurement
Abstract
1. Introduction
2. Prior Works and Technical Challenges
3. General Description of the MTATBOT
3.1. Remote Monitoring Platform
3.2. Explosion-Proof Wheeled Transport Robot
3.3. Multi-Type Material Containers
4. Autopilot System of the MTATBOT
4.1. Autopilot System Configuration
4.2. Environment Perception System of the EWTBOT
4.3. Localization Strategy of the EWTBOT
- (1)
- Onboard Localization Solution
- (2)
- Auxiliary Localization Solution
5. Motion Control of the EWTBOT
5.1. Motion Forms of the EWTBOT
5.2. Dynamic Model of the EWTBOT
5.3. Path-Following Error Dynamic Model
5.4. Motion Control Scheme
6. Experiment and Results
6.1. Simulation Testing
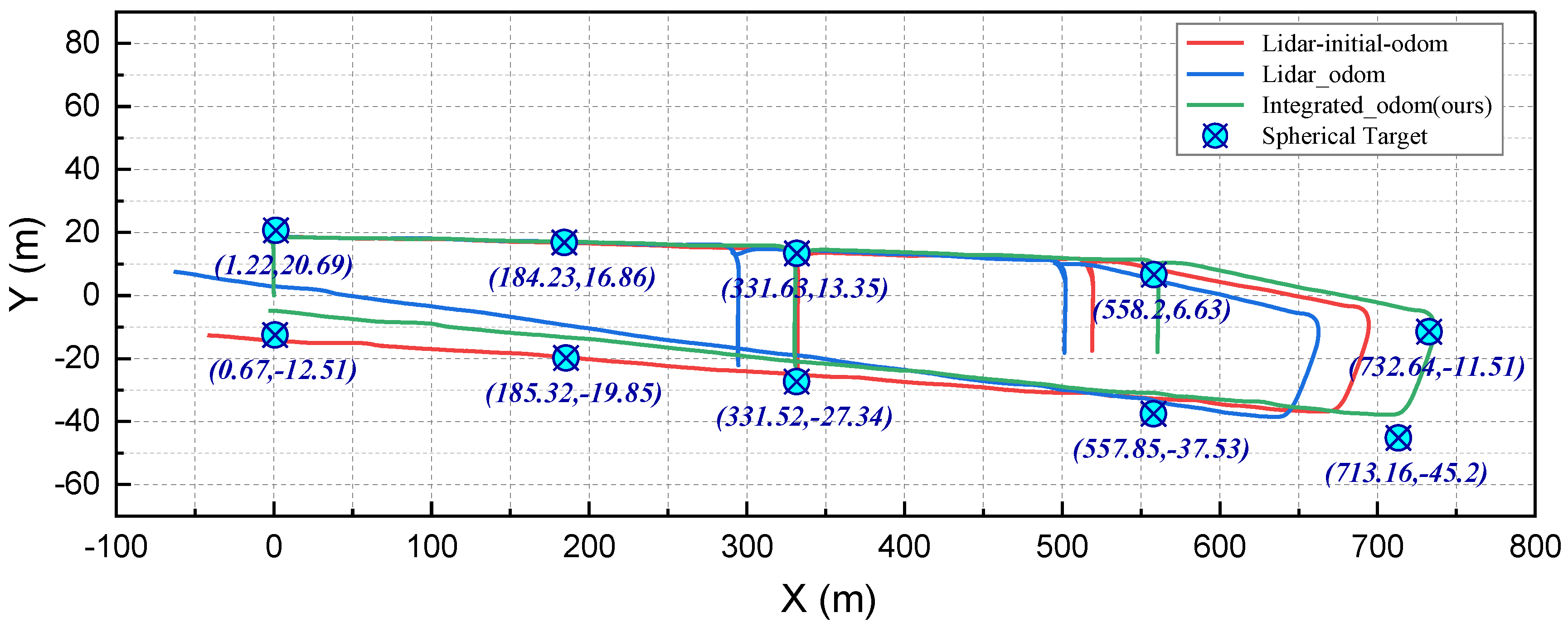
6.2. Field Experiments in an Underground Coal Mine
7. Conclusions and Future Work
Author Contributions
Funding
Institutional Review Board Statement
Informed Consent Statement
Data Availability Statement
Conflicts of Interest
References
- Hao, Y.; Wu, Y.; Ranjith, P.G.; Zhang, K.; Zhang, H.Q.; Chen, Y.L.; Li, M.; Li, P. New Insights on Ground Control in Intelligent Mining with Internet of Things. Comput. Commun. 2020, 150, 788–798. [Google Scholar] [CrossRef]
- Zhang, K.; Kang, L.; Chen, X.; He, M.; Zhu, C.; Li, D. A Review of Intelligent Unmanned Mining Current Situation and Development Trend. Energies 2022, 15, 513. [Google Scholar] [CrossRef]
- Wang, G.; Du, Y.; Ren, H.; Fan, J.; Wu, Q. Top Level Design and Practice of Smart Coal Mines. J. China Coal Soc. 2020, 45, 1909–1924. [Google Scholar] [CrossRef]
- Dong, L.; Sun, D.; Han, G.; Li, X.; Hu, Q.; Shu, L. Velocity-Free Localization of Autonomous Driverless Vehicles in Underground Intelligent Mines. IEEE Trans. Veh. Technol. 2020, 69, 9292–9303. [Google Scholar] [CrossRef]
- Chang, Y.; Ebadi, K.; Denniston, C.E.; Ginting, M.F.; Rosinol, A.; Palieri, M.; Shi, J.; Chatterjee, A.; Morrell, B.; Agha-mohammadi, A.-a.; et al. LAMP 2.0: A Robust Multi-Robot SLAM System for Operation in Challenging Large-Scale Underground Environments. IEEE Robot. Autom. Lett. 2022, 7, 9175–9182. [Google Scholar] [CrossRef]
- Ebadi, K.; Chang, Y.; Palieri, M.; Stephens, A.; Hatteland, A.; Heiden, E.; Thakur, A.; Funabiki, N.; Morrell, B.; Wood, S.; et al. LAMP: Large-Scale Autonomous Mapping and Positioning for Exploration of Perceptually-Degraded Subterranean Environments. In Proceedings of the 2020 IEEE International Conference on Robotics and Automation (ICRA), Paris, France, 31 May–31 August 2020; pp. 80–86. [Google Scholar]
- Ebadi, K.; Palieri, M.; Wood, S.; Padgett, C.; Agha-mohammadi, A.-a. DARE-SLAM: Degeneracy-Aware and Resilient Loop Closing in Perceptually-Degraded Environments; Springer: Berlin/Heidelberg, Germany, 2021; p. 102. [Google Scholar] [CrossRef]
- Funabiki, N.; Morrell, B.; Agha-mohammadi, A.-a. Range-Aided Pose-Graph-Based SLAM: Applications of Deployable Ranging Beacons for Unknown Environment Exploration. IEEE Robot. Autom. Lett. 2021, 6, 48–55. [Google Scholar] [CrossRef]
- Kim, H.; Choi, Y. Autonomous Driving Robot That Drives and Returns along a Planned Route in Underground Mines by Recognizing Road Signs. Appl. Sci. 2021, 11, 10235. [Google Scholar] [CrossRef]
- Stefaniak, P.; Jachnik, B.; Koperska, W.; Skoczylas, A. Localization of LHD Machines in Underground Conditions Using IMU Sensors and DTW Algorithm. Appl. Sci. 2021, 11, 6751. [Google Scholar] [CrossRef]
- Xiao, W.; Liu, M.; Chen, X. Research Status and Development Trend of Underground Intelligent Load-Haul-Dump Vehicle—A Comprehensive Review. Appl. Sci. 2022, 12, 9290. [Google Scholar] [CrossRef]
- Zhao, J.; Gao, J.; Zhao, F.; Liu, Y. A Search-and-Rescue Robot System for Remotely Sensing the Underground Coal Mine Environment. Sensors 2017, 17, 2426. [Google Scholar] [CrossRef]
- Kianfar, A.E.; Uth, F.; Baltes, R.; Clausen, E. Development of a Robust Ultra-Wideband Module for Underground Positioning and Collision Avoidance. Min. Metall. Explor. 2020, 37, 1821–1825. [Google Scholar] [CrossRef]
- Shan, T.; Englot, B. LeGO-LOAM: Lightweight and Ground-Optimized Lidar Odometry and Mapping on Variable Terrain. In Proceedings of the 2018 IEEE/RSJ International Conference on Intelligent Robots and Systems (IROS), Madrid, Spain, 1–5 October 2018; pp. 4758–4765. [Google Scholar]
- Zhang, J.; Singh, S. LOAM: Lidar Odometry and Mapping in Real-time. Robot. Sci. Syst. 2014, 2, 1–9. [Google Scholar]
- Shan, T.; Englot, B.; Meyers, D.; Wang, W.; Ratti, C.; Rus, D. LIO-SAM: Tightly-Coupled Lidar Inertial Odometry via Smoothing and Mapping. In Proceedings of the 2020 IEEE/RSJ International Conference on Intelligent Robots and Systems (IROS), Las Vegas, NV, USA, 24 October 2020–24 January 2021; pp. 5135–5142. [Google Scholar] [CrossRef]
- Shan, T.; Englot, B.; Ratti, C.; Rus, D. LVI-SAM: Tightly-coupled Lidar-Visual-Inertial Odometry via Smoothing and Mapping. In Proceedings of the 2021 IEEE International Conference on Robotics and Automation (ICRA), Xi’an, China, 30 May–5 June 2021; pp. 5692–5698. [Google Scholar] [CrossRef]
- Rublee, E.; Rabaud, V.; Konolige, K.; Bradski, G. ORB: An Efficient Alternative to SIFT or SURF. In Proceedings of the 2011 International Conference on Computer Vision, Barcelona, Spain, 6–13 November 2011; pp. 2564–2571. [Google Scholar]
- Mur-Artal, R.; Montiel, J.M.M.; Tardos, J.D. ORB-SLAM: A Versatile and Accurate Monocular SLAM System. IEEE Trans. Robot. 2015, 31, 1147–1163. [Google Scholar] [CrossRef]
- Mur-Artal, R.u.; Tard´os, J.D. ORB-SLAM2: An Open-Source SLAM System for Monocular, Stereo, and RGB-D Cameras. IEEE Trans. Robot. 2017, 33, 1255–1262. [Google Scholar] [CrossRef]
- Campos, C.; Elvira, R.; Rodríguez, J.J.G.; Montiel, J.M.; Tardós, J.D. ORB-SLAM3: An Accurate Open-Source Library for Visual, Visual–Inertial, and Multimap SLAM. IEEE Trans. Robot. 2021, 37, 1874–1890. [Google Scholar] [CrossRef]
- Tardioli, D.; Riazuelo, L.; Sicignano, D.; Rizzo, C.; Lera, F.; Villarroel, J.L.; Montano, L. Ground Robotics in Tunnels: Keys and Lessons Learned after 10 Years of Research and Experiments. J. Field Robot. 2019, 36, 1074–1101. [Google Scholar] [CrossRef]
- Cadena, C.; Carlone, L.; Carrillo, H.; Latif, Y.; Scaramuzza, D.; Neira, J.; Reid, I.; Leonard, J.J. Past, Present, and Future of Simultaneous Localization and Mapping: Toward the Robust-Perception Age. IEEE Trans. Robot. 2016, 32, 1309–1332. [Google Scholar] [CrossRef]
- Jiang, P.; Ergu, D.; Liu, F.; Cai, Y.; Ma, B. A Review of Yolo Algorithm Developments. Procedia Comput. Sci. 2022, 199, 1066–1073. [Google Scholar] [CrossRef]
- Jurić, A.d.; Kendeš, F.; Marković, I.; Petrović, I. A Comparison of Graph Optimization Approaches for Pose Estimation in SLAM. In Proceedings of the 2021 44th International Convention on Information, Communication and Electronic Technology (MIPRO), Opatija, Croatia, 27 September–1 October 2021; pp. 1113–1118. [Google Scholar]
- He, X.K.; Liu, Y.L.; Lv, C.; Ji, X.W.; Liu, Y.H. Emergency Steering Control of Autonomous Vehicle for Collision Avoidance and Stabilisation. Veh. Syst. Dyn. 2019, 57, 1163–1187. [Google Scholar] [CrossRef]
- Werling, M.; Ziegler, J.; Kammel, S.o.; Thrun, S. Optimal Trajectory Generation for Dynamic Street Scenarios in a Fren’et Frame. In Proceedings of the 2010 IEEE International Conference on Robotics and Automation, Anchorage, AK, USA, 3–7 May 2010; pp. 987–993. [Google Scholar] [CrossRef]
- Paden, B.; Čáp, M.; Yong, S.Z.; Yershov, D.; Frazzoli, E. A Survey of Motion Planning and Control Techniques for Self-Driving Urban Vehicles. IEEE Trans. Intell. Veh. 2016, 1, 33–55. [Google Scholar] [CrossRef]
- Yang, H.; Cocquempot, V.; Jiang, B. Optimal Fault-Tolerant Path-Tracking Control for 4WS4WD Electric Vehicles. IEEE Trans. Intell. Transp. Syst. 2010, 11, 237–243. [Google Scholar] [CrossRef]
- Guo, H.; Liu, J.; Cao, D.; Chen, H.; Yu, R.; Lv, C. Dual-Envelop-Oriented Moving Horizon Path Tracking Control for Fully Automated Vehicles. Mechatronics 2018, 50, 422–433. [Google Scholar] [CrossRef]
- Li, X.; Sun, Z.; Chen, Q.; Liu, D. An Adaptive Preview Path Tracker for Off-Road Autonomous Driving. In Proceedings of the 2013 10th IEEE International Conference on Control and Automation (ICCA), Hangzhou, China, 12–14 June 2013; pp. 1718–1723. [Google Scholar]
- González, D.; Pérez, J.; Milanés, V.; Nashashibi, F. A Review of Motion Planning Techniques for Automated Vehicles. IEEE Trans. Intell. Transp. Syst. 2016, 17, 1135–1145. [Google Scholar] [CrossRef]
- Hang, P.; Chen, X.; Zhang, B.; Tang, T. Longitudinal Velocity Tracking Control of a 4WID Electric Vehicle. Int. Fed. Autom. Control 2018, 51, 790–795. [Google Scholar] [CrossRef]






















| Items | Parameters |
|---|---|
| Robot Mass | 5000 kg |
| Maximum Load Capacity | 5000 kg |
| Robot Body Size | 4500 × 2000 × 1000 mm |
| Maximum Speed | 40 km/h |
| Climbing Capacity | 14° |
| Turning Radius | ≤5400 (outer)/≥2800 (inner) mm |
| Maximum Driving Range | 80 km |
| Battery Capacity | 64 kWh |
| Installed Power | 2 × 46 kW |
| Perception Range | 360° |
| Perception Distance | ≥20 m |
| Methods | Lidar Odometry | Lidar-Inertial Odometry | Integrated Odometry (Ours) |
|---|---|---|---|
| APE | 97.62 | 15.35 | 2.53 |
| RPE | 0.685 | 0.283 | 0.151 |
| Errors | Lidar Odometry | Lidar-Inertial Odometry | Integrated Odometry (Ours) |
|---|---|---|---|
| X-axis | 69.42 | 45.55 | 4.2 |
| Y-axis | 8.12 | 14.42 | 3.23 |
| Total | 77.54 | 59.97 | 7.43 |
Disclaimer/Publisher’s Note: The statements, opinions and data contained in all publications are solely those of the individual author(s) and contributor(s) and not of MDPI and/or the editor(s). MDPI and/or the editor(s) disclaim responsibility for any injury to people or property resulting from any ideas, methods, instructions or products referred to in the content. |
© 2024 by the authors. Licensee MDPI, Basel, Switzerland. This article is an open access article distributed under the terms and conditions of the Creative Commons Attribution (CC BY) license (https://creativecommons.org/licenses/by/4.0/).
Share and Cite
Hao, M.; Yuan, X.; Ren, J.; Bi, Y.; Ji, X.; Zhao, S.; Wu, M.; Shen, Y. Research on Downhole MTATBOT Positioning and Autonomous Driving Strategies Based on Odometer-Assisted Inertial Measurement. Sensors 2024, 24, 7935. https://doi.org/10.3390/s24247935
Hao M, Yuan X, Ren J, Bi Y, Ji X, Zhao S, Wu M, Shen Y. Research on Downhole MTATBOT Positioning and Autonomous Driving Strategies Based on Odometer-Assisted Inertial Measurement. Sensors. 2024; 24(24):7935. https://doi.org/10.3390/s24247935
Chicago/Turabian StyleHao, Mingrui, Xiaoming Yuan, Jie Ren, Yueqi Bi, Xiaodong Ji, Sihai Zhao, Miao Wu, and Yang Shen. 2024. "Research on Downhole MTATBOT Positioning and Autonomous Driving Strategies Based on Odometer-Assisted Inertial Measurement" Sensors 24, no. 24: 7935. https://doi.org/10.3390/s24247935
APA StyleHao, M., Yuan, X., Ren, J., Bi, Y., Ji, X., Zhao, S., Wu, M., & Shen, Y. (2024). Research on Downhole MTATBOT Positioning and Autonomous Driving Strategies Based on Odometer-Assisted Inertial Measurement. Sensors, 24(24), 7935. https://doi.org/10.3390/s24247935

