Next Article in Journal
Enhanced Acetone-Sensing Performance of a Bilayer Structure Gas Sensor Composed of a ZnO Nanorod Top Layer and a ZnFe2O4 Nanoparticle Decorated ZnO Nanorod Bottom Layer
Previous Article in Journal
Improving Monitoring of Indoor RF-EMF Exposure Using IoT-Embedded Sensors and Kriging Techniques
 
 
Font Type:
Arial Georgia Verdana
Font Size:
Aa Aa Aa
Line Spacing:
Column Width:
Background:
Article

Performance Recovery and Stability Analysis of Disturbance Observer Under Unmodeled Dynamics

by
Youngjun Joo
Department of Electrical Engineering and Institute of Advanced Materials and Systems, Sookmyung Women’s University, Seoul 04310, Republic of Korea
Sensors 2024, 24(23), 7850; https://doi.org/10.3390/s24237850
Submission received: 26 October 2024 / Revised: 30 November 2024 / Accepted: 6 December 2024 / Published: 8 December 2024
(This article belongs to the Section Fault Diagnosis & Sensors)

Abstract

Feedback system design is often achieved by neglecting the unmodeled dynamics, such as the actuator and sensor, to reduce design complexity. It is based on an assumption that the unmodeled dynamics are fast enough to be negligible. However, it may cause severe problems for the stability or performance of the overall system, especially, when the controller contains the fast dynamics or uses the high-gain feedback term. A disturbance observer has been widely employed in many industrial applications due to its simple structure and powerful ability to reject disturbances and compensate plant uncertainties. However, since the disturbance observer contains fast dynamics in its structure, the analysis of the effect of the unmodeled dynamics on the disturbance observer-based control is mandatory. This paper reveals the robustness and disturbance rejection performance of the disturbance observer based on the singular perturbation theory and proposes its design guideline for robust stability in the presence of unmodeled dynamics. In addition, this paper presents that the disturbance observer recovers a nominal performance designed for a nominal model of the plant.

1. Introduction

In control system design, the existence of disturbances and model uncertainties is unavoidable and can lead to undesired behavior in the closed-loop system. Thus, the disturbance estimation and compensation problem is one of the important issues in the control community, and has been discussed in many applications, such as motor control systems [1,2,3,4,5,6], robot manipulator systems [7,8,9], wheeled mobile robot systems [10], and positioning stage systems [11]. To improve the disturbance rejection performance and robustness, various approaches have been investigated. For instance, an unknown input observer estimates the unknown external signal based on the internal model principle, assuming that the unknown input or disturbance is generated by some exosystem [12,13]. By defining the lumped disturbance as a new state variable, an extended state observer simultaneously estimates the augmented state [14,15]. Further, by incorporating the extended state observer into the control structure, an active disturbance rejection control technique has been presented, and it simplifies the uncertain system with lumped disturbances as a disturbance-free nominal linear system of the form of the integrator chain [16,17]. Instead of canceling the nonlinear term in the nonlinear system, a nonlinear disturbance observer has been proposed to include the known or partially known nonlinear part in the observer design [18,19]. Several survey papers have been presented to figure out the pros and cons of each technique [20,21,22].
Among various disturbance compensation techniques, a disturbance observer has been widely used in the industrial field [23,24,25] because of its versatility. First, it has a simple structure composed of the inverse dynamics of the nominal model of the actual plant and two low-pass filters (known as Q-filter). Secondly, it is convenient to use, since it is an add-on type inner-loop controller. In other words, if it is added to the inner loop, then the existing (pre-designed outer-loop) controller is enabled without taking into account effects from disturbances and plant uncertainties. Thirdly, it effectively compensates the plant uncertainties and rejects external disturbances without knowledge of the disturbance model. Finally, the control designer could easily improve the disturbance rejection performance merely by decreasing the time constant of the Q-filter. Furthermore, by embedding the disturbance model into the disturbance observer structure, the effect of modeled disturbances can be completely removed. A Q-filter design method has been proposed to cope with polynomial-in-time disturbances such as the step, ramp, parabolic signals, and so on [26,27]. It has been extended to deal with sinusoidal-type disturbances with unknown amplitudes and phases [28]. Thus, the disturbance observer can reject not only bounded unmodeled disturbances approximately but also modeled disturbances asymptotically.
Although the characteristics of the disturbance observer is easily understood in the frequency domain [24,29], several papers presented the analysis in the state-space domain for the purpose of obtaining a deeper understanding of the role of each block [30] and extending to the multi-input multi-output nonlinear system [31,32]. They show some interesting points: (1) The external disturbance is almost completely rejected and inner-loop blocks, i.e., the plant with the disturbance observer, behave as the nominal model. (2) the zero dynamics of the plant is replaced by the zero dynamics of the nominal model. This means that the zero dynamics of the plant is nearly unobservable from the output and implies why the zero dynamics should be stable; (3) The disturbance observer recovers the nominal closed-loop system trajectory in the time domain. And (4) the strong ability of the disturbance observer is relevant to an infinite gain property and the structure of the Q-filter is similar to the high-gain observer. Furthermore, an almost necessary and sufficient condition for robust stability of plant with model uncertainties is presented when the cut-off frequency of the Q-filter is high enough. It is also easy to check the stability of the overall system compared with other conditions based on the small-gain theorem [25].
The feedback system design is often achieved by neglecting fast dynamics (e.g., actuator or sensor) to reduce design complexity. It is based on the assumption that the other dynamics, the plant and feedback controller, are much slower than the fast parts. However, when the assumption is not satisfied, i.e., the plant or feedback controller is not slow enough, it causes the degradation of performance, and may lead to instability. Furthermore, the uncertainty and disturbance of the system are important issues for designing a controller. To cope with the uncertainty, various control approaches are considered. Among them, high-gain approaches (e.g., the sliding mode control and the high-gain observer) are very successful in dealing with uncertainty. However, it contains the fast dynamics part in the feedback control loop, and may cause severe problems by the interaction of fast dynamics parts. The work in [33] considers the high-gain full-state feedback, including actuator dynamics. Ref. [34] analyzes the nominal performance and stability recovery for the controller (designed for the system without the actuator dynamics), which is composed of a robust state-feedback controller and high-gain observer. However, it only deals with the single-input single-output nonlinear system without zero dynamics and shows the stability when the actuator dynamics is sufficiently fast. The work in [35] is an extension of [34] to the multi-input multi-output nonlinear system with the sensor dynamics. It also employs the state-feedback control and high-gain observer. The research in [36] shows that the state feedback controller with the high-gain observer is robust under the fast sensor and actuator dynamics, but they do not need to be much faster than the high-gain observer dynamics. Indeed, the disturbance observer contains fast dynamics in its structure as well. Thus, the analysis of the effect of the unmodeled dynamics on the disturbance observer-based control is mandatory.
The contribution of this paper is as follows. First, taking into account the unmodeled dynamics in the closed-loop system, the performance and stability analysis of the disturbance observer-based control system is presented using the singular perturbation theory. Secondly, based on the Lyapunov analysis, robust stability conditions under plant uncertainties are derived. Especially, the explicit bound of the time constant of the Q-filter, which guarantees robust stability of the closed-loop system, is provided. Finally, it is shown that the disturbance observer recovers a nominal performance, which is designed for the nominal model of the plant and the state error between the nominal and the actual closed-loop system asymptotically converges to a set whose size is proportional to the square root of the time constant of the Q-filter. It is important to note that this work is based on the author’s Ph. D. dissertation [37].
The paper is organized as follows. In the following section, motivation and problem formulation are introduced. Section 3 shows an analysis of the disturbance observer when the actuator dynamics are not taken into account in the problem formulation. Stability and performance analysis of DOB with the actuator dynamics are presented in Section 4. Section 5 provides the simulation results to validate the effectiveness of the proposed analysis. The paper concludes with some remarks in Section 6.
Notation 1.
0 k R k , 0 j × k R j × k , and I k R k × k denote the zero vector, zero matrix, and identity matrix, respectively. For two column vectors a and b we use [ a ; b ] : = a T b T T . λ m a x ( E ) and λ m i n ( E ) are the maximum and minimum eigenvalue of a matrix E, respectively. The 2-norm of a vector v R n is defined by v = v T v and the induced 2-norm of a matrix E R n × n of real entries is defined by E = λ m a x ( E T E ) .

2. Problem Formulation and Structure of Disturbance Observer

In this section, we present the disturbance observer-based control structure for an uncertain plant to fulfill the rejection of disturbances and uncertainties and to recover the nominal performance, which is designed for the nominal model of the plant. The configuration of the disturbance observer-based control system is depicted in Figure 1. The block with red dashed line represents the actual plant with the disturbance observer structure. P , P n , V , and C denote the actual plant, its nominal model, unmodeled dynamics, and output feedback controller, respectively. Q p and Q q represent the low-pass filters, which are known as the Q-filter. At first, the outer-loop controller is designed for the nominal model to achieve the desired control objectives. Then, the inner-loop controller (i.e., the disturbance observer) is designed so that the actual uncertain plant with the disturbance observer behaves as the disturbance-free nominal model.
Consider the following class of uncertain plants as
z ˙ = S z + G y , y = C x ,
x ˙ = A x + B { F 1 z + F 2 x + g ( u + d ) } ,
τ v v ˙ = A v v + B v u v , u = C v v ,
where x R ν and z R n ν are the states of the plant P , v R m is the state of the unmodeled dynamics V , and u R 1 , u v R 1 , y R 1 , and d R 1 are the plant input, control input, plant output, and disturbance, respectively. The matrices A, B, and C are given by
A : = 0 ν 1 I ν 1 0 0 ν 1 T , B : = 0 ν 1 1 , C : = 1 0 ν 1 T .
where τ v > 0 is a time constant of unmodeled dynamics. The uncertain matrices S, G, F 1 , F 2 , A v , B v , and C v are of appropriate dimensions, and g is an unknown constant.
Assumption 1.
The uncertain plant (1) and (2) satisfy the following assumptions:
1. 
Uncertain parameters are bounded and their bounds are known a priori. In particular, there exist positive constants F ¯ 1 , F ¯ 2 , G ¯ , g ̲ , and g ¯ such that F 1     F ¯ 1 , F 2     F ¯ 2 , G     G ¯ , and g ̲ g g ¯ .
2. 
The matrix S is Hurwitz.
3. 
The disturbance d ( t ) and its derivative d ˙ ( t ) are bounded with known constants ϕ d and ϕ d t , such that d ( t ) ϕ d and d ˙ ( t ) ϕ d t .
Note that, in the absence of the unmodeled dynamics (3), the plant (1) and (2) under consideration is in the normal form whose relative degree is ν (note that a single-input single-output linear time-invariant system whose relative degree ν can always be transformed into the form (1) and (2). For more details, refer to Chapter 13 in [38] and [39]). In addition, the condition 2 in Assumption 1 implies that the plant (1) and (2) is of minimum phase, which is a conventional assumption on the disturbance observer approach.
Assumption 2.
The unmodeled dynamics in the plant (3) are exponentially stable (i.e., the matrix A v is Hurwitz) and C v A v 1 B v = 1 . Furthermore, the time constant τ v is upper bounded by a positive constant τ ¯ v , which is known a priori.
The above assumption implies that the subsystem (3) has a unity DC-gain. Even though it is not, a non-unity gain can be integrated into the plant input gain g.
Now, we consider a nominal model for the uncertain plant (1), (2), and (3) as follows:
z ˙ n = S ¯ z n + G ¯ y n , y n = C x n , x ˙ n = A x n + B { F ¯ 1 z n + F ¯ 2 x n + g n u r } ,
where x n R ν and z n R n ¯ ν are the state, and u r R 1 and y n R 1 are the control input and output of the nominal model, respectively. Notice that the order of the nominal zero dynamics z n may not be equal to that of the zero dynamics (1), i.e., n ¯ may not be equal to n. S ¯ , G ¯ , F ¯ 1 , F ¯ 2 , and g n are the nominal values of S, G, F 1 , F 2 , and g, respectively. For the nominal model (4), we design an output feedback controller (i.e., outer-loop controller) as
η ˙ = A η η + B η y r E η y n , u r = C η η + D η y r H η y n
where η R h is the state of output feedback controller and y r is the reference input. The matrices A η , B η , C η , D η , E η , and H η are of appropriate dimensions. It is assumed that y r ( t ) and y ˙ r ( t ) are bounded with known bounds ϕ r and ϕ r t , such that y r ( t ) ϕ r and y ˙ r ( t ) ϕ r t , respectively.
Assumption 3.
The nominal closed-loop system (4) and (5) is exponentially stable. It implies that it is input-to-state stable with respect to the reference input y r .
We will show that the plant (1), (2), and (3) with the disturbance observer behaves as the disturbance-free nominal model (4) in the presence of disturbances and plant uncertainties. Therefore, the outer-loop controller (5) has to be designed to stabilize the nominal model (4) and the specific design of (5) is determined by the control objectives (e.g., tracking or regulation).
The disturbance observer as an inner-loop controller is represented by
z ¯ ˙ = S ¯ z ¯ + G ¯ w ¯ , w = 1 g n ( F ¯ 1 z ¯ F ¯ 2 w ¯ + w ¯ ν ) ,
q ˙ = A q ( τ q ) q + B q y , w ¯ = C q ( τ q ) q ,
p ˙ = A q ( τ q ) p + B q u v , u ^ = C q ( τ q ) p ,
u v = u r + u ^ w
where z ¯ R n ¯ ν , q R l , and p R l are the state of P n 1 , Q q , and Q p , respectively, w ¯ = w ¯ w ¯ ˙ w ¯ ν 1 T , and w ¯ i is the i-th derivative of w ¯ . The matrices A q ( τ q ) , B q , and C q ( τ q ) are
A q ( τ ) : = 0 1 0 0 0 0 0 0 1 a 0 τ q l a 1 τ q l 1 a l 1 τ q , B q : = 0 0 0 1 , C q ( τ ) : = c 0 τ q l c 1 τ q l 1 c k τ q l k 0 0 .
where l k ν , c 0 = a 0 , and all a i ’s are chosen such that the polynomial s l + a l 1 s l 1 + + a 1 s + a 0 is Hurwitz. The detailed design procedure for coefficients a i , c i , and τ q will be discussed later.
It is important to note that the disturbance observer in (6), (7), (8), and (9) is a state-space realization of the conventional disturbance observer, which is usually employed in the frequency domain [23,24,25,29]. The dynamics (6) has the same structure as an inverse dynamics of (4) and the dynamics (7) and (8) are the controllable canonical form realizations of a stable low-pass filter, which is known as Q-filter. In addition, since l k ν , the signal w ¯ ν and w ¯ can be implemented from the state of (7) and the output y. In fact, an exact inverse dynamics of (4) is calculated as
z ˙ n = S ¯ z n + G ¯ y n , u r = 1 g n ( F ¯ 1 z n F ¯ 2 y n + y n ν )
where y n = y n y ˙ n y n ν 1 T and y n i is the i-th derivative of the output y n . However, it is not realizable alone since the dynamics (10) contains the derivative of y n . Therefore, the dynamics (6) and (7) whose input y and output w is implemented together to prevent the derivative of the output. Let us exchange the dynamics (6) with (7) as follows:
z ¯ ˙ = S ¯ z ¯ + G ¯ y , w ¯ = 1 g n ( F ¯ 1 z ¯ F ¯ 2 y + y ν ) ,
q ˙ = A q ( τ q ) q + B q w ¯ , w = C q ( τ q ) q ,
p ˙ = A q ( τ q ) p + B q u v , u ^ = C q ( τ q ) p ,
u v = u r + u ^ w
where y = y y ˙ y ν 1 and y i is the i-th derivative of the output y. By virtue of the linearity, the input–output behavior between y and w of (6) and (7) is the same as that of (11) and (12). Throughout this paper, for simplicity, the dynamics (11), (12), (13), and (14) is used instead of (6), (7), (8), and (9) although the time response of q in (11), (12), (13), and (14) is different from that of (6), (7), (8), and (9).
In order to obtain a singular perturbation form, we change coordinates for states q and p as follows:
ξ i : = τ q i ( l + 1 ) q i , ζ i : = τ q i ( l + 1 ) p i .
With (15), the dynamics of ξ , ζ , and v are represented as
τ q ξ ˙ τ q ζ ˙ τ v v ˙ = A u ξ ζ v + 1 g n B ξ { F ˜ ( z , z ¯ , x ) + g d } B ξ u r B v u r ,
where
A u : = A ξ O l × l g g n B ξ C v B ξ C ξ A ξ + B ξ C ξ O l × m B v C ξ B v C ξ A v ,
where F ˜ ( z , z ¯ , x ) : = F ¯ 1 z ¯ F ¯ 2 x + F 1 z + F 2 x , and A ξ , B ξ , and C ξ imply A q , B q , and C q when τ q = 1 , respectively.
Then, from Equations (1), (2), (3), (5), (11) and (16), the overall closed-loop system can be written as follows ( note that, when the output-lop controller (5) is considered in the overall closed-loop system, y n should be replaced by y, which is evident and will be applied without mention throughout the paper. Furthermore, u r , the function of y, η , and y r , will be used for simplification of equations):and
η ˙ = A η η + B η y r E η y , u r = C η η + D η y r H η y , x ˙ = A x + B { F 1 z + F 2 x + g ( C v v + d ) } , z ˙ = S z + G y , z ¯ ˙ = S ¯ z ¯ + G ¯ y , y = C x ,
and
τ q ξ ˙ τ q ζ ˙ τ v v ˙ = A u ξ ζ v + 1 g n B ξ { F ˜ ( z , z ¯ , x ) + g d } B ξ u r B v u r .
From the overall closed-loop system (17) and (18), it is observed that, for relatively small τ q and τ v , the system is in the multi-parameter or the multi-time-scale singular perturbation form (if time constants τ q and τ v are in same order, then the system is in the multi-parameter singular perturbation form [40,41]. Otherwise, it is in the multi-time-scale singular perturbation form [42]).

3. Analysis of Disturbance Observer Based on Singular Perturbation Approach

In this section, we will discuss the disturbance rejection performance of the disturbance observer based control. It is observed from (17) and (18) that the variables x, z, z ¯ , η , y r , and d are considered as slow variables, while the state ξ , ζ , and v are regarded as fast variables. If the fast dynamics has an isolated equilibrium for each (frozen) slow variables and the equilibrium (depending on slow variables) is exponentially stable (i.e., the matrix A u is Hurwitz), then the overall closed-loop system behaves as the reduced system. Namely, the overall closed-loop system is restricted to the slow manifold, with sufficiently small τ q and τ v under the assumption that the slow variables are bounded and varying slowly. In order to reveal that the disturbance observer recovers the steady-state performance of the nominal closed-loop system (4) and (5), we obtain the quasi-steady-state subsystem from (17) and (18) for the extreme case τ q = τ v = 0 .
The equilibrium of (17) and (18) for each frozen slow variable is simply computed as
ξ * ζ * v * = A u 1 1 g n B ξ { F ˜ ( z , z ¯ , x ) + g d } B ξ u r B v u r .
With the help of the matrix inversion lemma, each equilibrium is rewritten as
ξ * = g n + g g n ( A ξ g g n B ξ C ξ ) 1 B ξ u r ,
ζ * = 1 g n + g ( A ξ + g n g n + g B ξ C ξ ) 1 B ξ { F ˜ ( z , z ¯ , x ) + g d g n u r } ,
v * = 1 g A v 1 B v { F ˜ ( z , z ¯ , x ) + g d g n u r } .
With these equilibria, we derive the quasi-steady-state system (i.e., slow dynamics on the slow manifold when τ q = τ v = 0 ) as follows:
η ˙ = A η η + B η y r E η y , u r = C η η + D η y r H η y , x ˙ = A x + B { F ¯ 1 z ¯ + F ¯ 2 x + g n u r } , z ¯ ˙ = S ¯ z ¯ + G ¯ C x , z ˙ = S z + G C x , y = C x .
The quasi-steady-state system (23) play the key role to explain the nominal performance recovery of the disturbance observer based control. From (23), we find out several interesting points. First, the input disturbance d is completely rejected from the control input. Second, in the viewpoint of the outer-loop controller (5), the plant to be controlled is approximated as the nominal model (4) that is completely known to the controller. Finally, the zero dynamics of the plant (i.e., z-dynamics of (1)) is disconnected from the output y, i.e., becomes unobservable from the output. In fact, it is replaced by the zero dynamics of the nominal model (i.e., z ¯ -dynamics of (4)). For more details on (23), please see [30].
Now, we analyze robust stability for the overall closed-loop system (17) and (18) based on the singular perturbation approach with respect to the ratio between τ q and τ v . When τ v τ q (i.e., the unmodeled dynamics is much faster than p and q-dynamics), (17) and (18) can be considered as the three-time scale singular perturbation form.
Theorem 1.
Under Assumptions 1–3, there exists a positive constant τ ¯ q such that, for all 0 < τ v τ q < τ ¯ q , the overall closed-loop system (17) and (18) is robustly exponentially stable if the matrix A f
A f : = A ξ g g n B ξ C ξ g g n B ξ C ξ B ξ C ξ A ξ + B ξ C ξ
is Hurwitz for all uncertain g.
Proof of Theorem 1.
Since τ v τ q , we consider v-dynamics in (17) and (18) as fast dynamics, while the other dynamics are slow dynamics. From the singular perturbation theory, if both the quasi-steady-state and the boundary-layer subsystem are exponentially stable, then the overall closed-loop system is exponentially stable. By Assumption 2, it follows that the boundary-layer subsystem (v-dynamics) is exponentially stable.
In the next step, we will show that the quasi-steady-state subsystem is exponentially stable. Since C v A v 1 B v = 1 , the quasi-steady-state system is easily calculated as follows:
η ˙ = A c η + B c r E c y , u r = C c η + D c r H c y , x ˙ = A x + B { F 1 z + F 2 x + g C ξ ( ζ ξ ) + g u r + g d } , z ˙ = S z + G y , z ¯ ˙ = S ¯ z ¯ + G ¯ y , y = C x ,
and
τ q ξ ˙ ζ ˙ = A f ξ ζ + 1 g n B ξ { F ˜ ( z , z ¯ , x ) + g u r + g d } B ξ u r ,
Now, it can be observed that (25) and (26) is the two-time scale singular perturbation form. The dynamics (25) and (26) are considered as slow and fast dynamics, respectively. After a simple calculation with τ q = 0 , it is easy to see that (23) is its quasi-steady-state subsystem. From Assumption 1 and 3, it follows that (23) is exponentially stable. The proof is completed since the matrix A f is Hurwitz. □
It is emphasized that the matrix A f plays a key role to determine the stability of the overall closed-loop system (17) and (18). If it is satisfied, then (17) and (18) is robustly stable for the sufficiently small τ q . The next lemma shows the design procedure for a i and c i to make A f Hurwitz.
Lemma 1.
The matrix A f is Hurwitz if and only if the following two polynomials are Hurwitz:
p a ( s ) = s l + a l 1 s l 1 + + a 1 s + a 0 , p b ( s ) = s l + a l 1 s l 1 + + a k + 1 s k + 1 + ( a k g g n g n c k ) s k + + ( a 0 + g g n g n c 0 ) .
The proof of Lemma 1 is presented in [30]. The detailed procedure so as to make the matrix A f Hurwitz (i.e., selecting a i and c i ) was discussed in [28].
Remark 1.
When the dynamics of Q-filter is much faster than the unmodeled dynamics v (i.e., τ q τ v ), the stability of the overall closed-loop system is not guaranteed. Since τ q τ v , the dynamics of Q-filter are considered as fast dynamics. Then, from (17) and (18), the system matrix of ξ and ζ becomes
A ξ O l × l B ξ C ξ A ξ + B ξ C ξ
and always has one eigenvalue at the origin. Therefore, the singular perturbation theory cannot be employed since the boundary-layer system is not exponentially stable. In fact, if the relative degree of v-dynamics is greater than one, then robust stabilization is impossible when the time constant τ q is much smaller than τ v [43].

4. Nominal Performance Recovery by Disturbance Observer Under Unmodeled Dynamics

This section presents an explicit bound of τ q to guarantee robust stability of the disturbance observer approach. Furthermore, it is shown that the disturbance and uncertainty compensation performance of the disturbance observer is improved as τ q becomes smaller. In other word, the closed-loop system with the disturbance observer recovers the nominal performance with sufficiently small τ q .
The closed-loop system (17) and (18) can be compactly rewritten as
X ˙ = A ¯ s X + A x v Z 2 + B ¯ x V , τ q Z 1 ˙ = A f ¯ Z 1 + A ¯ q x X + A q v Z 2 + B ¯ q V , τ v Z ˙ 2 = A v Z 2 + A v x X + A v q Z 1 + B v V
where X = [ η ; x ; z ; z ¯ ] , Z 1 : = [ ξ ; ζ ] , Z 2 : = v , V : = [ r ; d ] , and the matrices A ¯ s , A x v , A ¯ f , A ¯ q x , A q v , A v x , A v q , B ¯ x , B ¯ q , and B v are
A ¯ s : = A η E η C 0 h × n ν 0 h × n ¯ ν 0 ν × h A + B F 2 B F 1 0 ν × n ¯ ν 0 n ν × h G C S 0 n ν × n ¯ ν 0 n ¯ ν × h G ¯ C 0 n ¯ ν × n ν S ¯ , A x v : = 0 h × m g B C v 0 n ν × m 0 n ¯ ν × m , A ¯ f : = A ξ 0 l × l B ξ C ξ A ξ + B ξ C ξ , A v x : = B v C c B v H c C 0 m × n ν 0 m × n ¯ ν , A q v : = g g n B ξ C v 0 l × m , A ¯ q x : = 0 l × h 1 g n B ξ [ F ¯ 2 + F 2 ] 1 g n B ξ F 1 1 g n B ξ F ¯ 1 B ξ C η B ξ H η C 0 l × n ν 0 l × n ¯ ν , A v q : = B v C ξ B v C ξ , B ¯ x : = B η 0 h 0 ν g B 0 n ν 0 n ν 0 n ¯ ν 0 n ¯ ν , B ¯ q : = 0 l g g n B ξ B ξ D c 0 l , B v : = B v D η 0 m .
Let h 1 ( X , V ) : = A f 1 ( A q x X + B q V ) and h 2 ( X , Z 1 , V ) : = A v 1 ( A v x X + A v q Z 1 + B v V ) where
A q x : = g g n B ξ C c 1 g n B ξ [ F ¯ 2 + F 2 g H c C ] 1 g n B ξ F 1 1 g n B ξ F ¯ 1 B ξ C c B ξ H c C 0 l × n ν 0 l × n ¯ ν , B q : = g g n B ξ D c g g n B ξ B ξ D c 0 l × 1 .
In fact, h 1 ( X , V ) = [ ξ * ; ζ * ] and h 2 ( X , Z 1 , V ) = v * when Z 1 = h 1 ( X , V ) , which are the equilibrium in (20). With Y 1 : = Z 1 h 1 ( X , V ) and Y 2 : = Z 2 h 2 ( X , Z 1 , V ) , we have
X ˙ = F s X + A x q Y 1 + A x v Y 2 + ( B x A x q A f 1 B q ) V Y 1 ˙ = F q X + ( 1 τ A f + A f 1 A q x A x q ) Y 1 + ( 1 τ A q v + A f 1 A q x A x v ) Y 2 + A f 1 A q x ( B x A x q A f 1 B q ) V + A f 1 B q V ˙ Y 2 ˙ = F v X + ( 1 τ A v 1 A v q A f + A v 1 A v x A x q ) Y 1 + ( 1 τ v A v + 1 τ A v 1 A v q A q v + A v 1 A v x A x v ) Y 2 + A v 1 A v x ( B x A x q A f 1 B q ) V + A v 1 B v V ˙
where F s : = A s A x q A f 1 A q x , F q : = A f 1 A q x ( A s A x q A f 1 A q x ) , F v : = A v 1 A v x ( A s A x q A f 1 A q x ) , and
A s : = A c E c C 0 h × n ν 0 h × n ¯ ν g B C c A + B ( F 2 g H c C ) B F 1 0 ν × n ¯ ν 0 n ν × h G C S 0 n ν × n ¯ ν 0 n ¯ ν × h G ¯ C 0 n ¯ ν × n ν S ¯ , A x q : = 0 h × l 0 h × l g B C ξ g B C ξ 0 n × l 0 n × l 0 n ¯ × l 0 n ¯ × l , B x : = B c 0 h × 1 g B D c g B 0 n × 1 0 n × 1 0 n ¯ × 1 0 n ¯ × 1 .
Note that the X -dynamics without the term involving Y 1 and Y 2 in (28) is the quasi-steady-state model (23). Then, with X ˜ = X X N , we have X ˜ ˙ = F s X ˜ + A x q Y 1 + A x v Y 2 , while the Y 1 and Y 2 -dynamics of (28) are rewritten as
Y ˙ 1 = F q X ˜ + ( 1 τ A f + A f 1 A q x A x q ) Y 1 + ( 1 τ A q v + A f 1 A q x A x v ) Y 2 + B r θ Y ˙ 2 = F v X + ( 1 τ A v 1 A v q A f + A f 1 A q x A x q ) Y 1 + ( 1 τ v A v + 1 τ A v 1 A v q A q v + A v 1 A v x A x v ) Y 2 + B ¯ r θ
where θ : = [ X N T , V T , V ˙ T ] T ,
B r : = F q A f 1 A q x ( B x A x q A f 1 B q ) A f 1 B q , B ¯ r : = F v A v 1 A v x ( B x A x q A f 1 B q ) A v 1 B v .
By Assumption 2 and 3, the matrix F s and A v are Hurwitz. If the matrix A f is Hurwitz, then there exist positive definite matrices P f , P s , and P v , such that P s F s + F s T P s = 2 I , P f A f + A f T P f = 2 I , and P v A v + A v T P v = 2 I . Let V 2 ( X ˜ , Y 1 , Y 2 ) = 1 2 X ˜ T P s X ˜ + 1 2 Y 1 T P f Y 1 + 1 2 δ Y 2 T P v Y 2 , where a positive constant δ will be chosen later. Then, we obtain
V ˙ 2 X ˜ 2 1 τ Y 1 2 δ τ v Y 2 2 + γ 1 X ˜ Y 1 + ( γ 2 + δ γ 7 ) X ˜ Y 2 + ( γ 4 1 τ + γ 5 + δ 1 τ γ 8 + δ γ 9 ) Y 1 Y 2 + γ 3 Y 1 2 + ( δ 1 τ γ 10 + δ γ 11 ) Y 2 2 + γ 6 Y 1 + δ γ 12 Y 2
where
γ 1 = P s A x q + F q T P f , γ 2 = P s A x v , γ 3 = P f A f 1 A q x A x q , γ 4 = P f A q v , γ 5 = P f A f 1 A q x A x v , γ 6 = P f B r max 0 t θ ( t ) , γ 7 = F v T P v , γ 8 = P v A v 1 A v q A f , γ 9 = P v A f 1 A q x A x q , γ 10 = P v A v 1 A v q A q v , γ 11 = P v A v 1 A v x A x v , γ 12 = P v B ¯ r max 0 t θ ( t ) .
We choose δ such that 32 γ 2 2 τ ¯ v δ 1 / ( 32 γ 7 2 τ ¯ v ) and assume τ ¯ v 1 / ( 16 γ 11 ) . It is possible because we already assume that the time constant of unmodeled dynamics, τ v , is sufficiently small. By Assumptions 1–3, values of γ 1 γ 12 also can be obtained. If we select τ that satisfies τ < τ < τ ¯ where
τ : = max { 16 γ 10 τ ¯ v , 64 γ 4 2 1 δ τ ¯ v , 64 γ 8 2 δ τ ¯ v } , τ ¯ : = min { 1 8 ( 2 γ 1 2 + γ 3 ) , δ 64 γ 5 2 τ ¯ v , 1 64 δ γ 9 2 τ ¯ v } ,
then it can be shown that V ˙ 2 < 0 when Y 1 > 2 γ 6 τ and Y 2 > 2 γ 12 τ v . Define V ¯ 2 : = 1 2 X ˜ 2 + 1 τ Y 1 2 + δ τ v Y 2 2 . Then, it holds that
V ˙ 2 1 2 V ¯ 2 + 2 4 γ ¯ ( τ , τ v ) V ¯ 2
where γ ¯ ( τ , τ v ) : = 4 max { γ 6 , γ 12 } · max { τ , τ v / δ } . If V ¯ 2 > 1 2 γ ¯ 2 ( τ , τ v ) , then V ˙ 2 < 0 . And, a positive constant μ 2 is given by
μ 2 : = max V ¯ 2 = 1 2 γ ¯ 2 ( τ , τ v ) V 2 ( X ˜ , Y 1 , Y 2 )
Now, we define the set Ω v : = { [ X ˜ ; Y 1 ; Y 2 ] | V 2 ( X ˜ , Y 1 , Y 2 ) μ 2 } . It is obvious that the state [ X ˜ ; Y 1 ; Y 2 ] converges to the set Ω v as t . Also,
V 2 = 1 2 X ˜ T P s X ˜ + 1 2 Y 1 T P f Y 1 + δ 2 Y 2 T P v Y 2 ρ 2 V ¯ 2
where ρ 2 : = max { λ max ( P s ) , 1 2 λ max ( P f ) τ , 1 2 λ max ( P v ) τ v } . For all [ X ˜ , Y 1 , Y 2 ] Ω α , X ˜ 2 μ 2 1 2 ρ 2 γ ¯ 2 ( τ , τ v ) , and thus
X ˜ ρ 2 2 γ ¯ ( τ , τ v ) .
Since we assume that τ v is relatively small positive constant, ρ 2 = λ max ( P s ) / 2 as τ is reduced and the bound of X X N is proportional to the γ ¯ ( τ , τ v ) , it means that V 2 tends to be small depending on τ , so that the error X ( t ) X N ( t ) becomes small, by taking τ appropriately. By summarizing the above results, we provide the following theorem.
Theorem 2.
Under Assumptions 1–3, for a sufficiently small τ ¯ v , there exist positive constants τ = max { 16 γ 10 τ ¯ v , 64 γ 4 2 1 δ τ ¯ v , 64 γ 8 2 δ τ ¯ v } and τ ¯ = min { 1 8 ( 2 γ 1 2 + γ 3 ) , δ 64 γ 5 2 τ ¯ v , 1 64 δ γ 9 2 τ ¯ v } such that, for all τ < τ < τ ¯ , the overall closed-loop system (17) and (18) is exponential stable when y r = 0 and d = 0 . Furthermore, the part of solution of (17) and (18) denoted by [ c ( t ) ; x ( t ) ; z ( t ) ; z ¯ ( t ) ] satisfies that
lim sup t [ c ( t ) ; x ( t ) ; z ¯ ( t ) ] [ c N ( t ) ; x N ( t ) ; z ¯ N ( t ) ] Γ 2 γ ¯ ( τ q , τ v )
where Γ 2 : = ρ 2 / 2 and [ c N ( t ) ; x N ( t ) ; z ¯ N ( t ) ] is the solution of the nominal closed-loop system (4) and (5).

5. Simulation Results

In this section, we provide simulation results for mass-damper systems to validate the effectiveness of the proposed performance and stability analysis. The actual plant P and its nominal model P n are represented as
x ˙ = 0 1 0 2 x + 0 4 ( u + d ) , y = 1 0 x
and
x ˙ n = 0 1 0 3 x n + 0 1 u r , y n = 1 0 x n .
We assume that the unmodeled dynamics is given by
τ v v ˙ = 0 1 1 2 x n + 0 1 u v , u = 1 0 v .
The outer-loop controller C is designed as
u r = 3 ( y r y ) ,
and two Q-filters, Q q and Q p , are presented as
τ q q ˙ = 0 1 1 2 q + 0 1 y , w ¯ = 1 0 q ,
τ q p ˙ = 0 1 1 2 p + 0 1 u v , u ^ = 1 0 p .
Figure 2 shows simulation results of the disturbance observer-based control system under the unmodeled dynamics with respect to the time constant of Q-filter τ q . The cyan dotted and green solid lines represent the outputs of the nominal closed-loop system composed of (31) and (33) and the real closed-loop system (30), (32), and (33), respectively. The blue dashed, red dash-dotted, and black solid lines are the outputs of the disturbance observer-based control system with τ q = 0.1 , 0.2 , and 0.3 , respectively. To clarify the explanation, the errors between the output of the nominal closed-loop system and the outputs of the disturbance observer-based control system with τ q = 0.1 , 0.2 , and 0.3 , as provided in Figure 3. As can be seen in Figure 2, in the absence of the disturbance observer, the effect of plant uncertainties and disturbances degrades the control performance. However, as shown in Figure 2 and Figure 3, the disturbance observer completely rejects the effect of the constant disturbance in the steady state, and the disturbance rejection performance improves as τ q decreases. Moreover, the disturbance observer recovers the nominal performance and the error asymptotically converges to a set whose size is proportional to the square root of τ q .
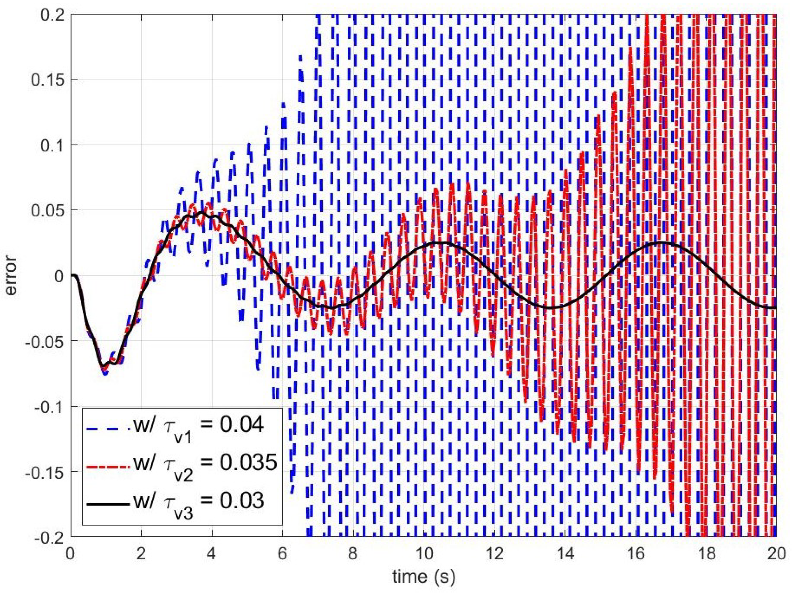
On the other hand, Figure 4 and Figure 5 present simulation results for smaller τ q . The blue dashed, red dash-dotted, and black solid lines are the outputs and errors of the disturbance observer-based control system with τ q = 0.05 , 0.06 , and 0.12 , respectively. As shown in Figure 4 and Figure 5, the closed-loop system becomes unstable when τ q is smaller than the stability bound. To figure out the effect of τ v on the stability of the closed-loop system, the errors of the disturbance observer-based control system with respect to τ v are shown in Figure 6. It can be observed that the larger τ v makes the closed-loop system unstable.

6. Conclusions

In this paper, we investigated the robust stability and the nominal performance recovery of the disturbance observer-based control system with unmodeled dynamics using the singular perturbation theory. Furthermore, the explicit bound of the time constant of the Q-filter for robust stability of the closed-loop system was provided based on the Lyapunov analysis. The obtained results can be applied to the plant with unstable poles, as well as the Q-filter of arbitrary relative degree whose coefficients are not limited to the binomial one. Finally, we showed that the disturbance observer recovers a nominal performance, which is designed for the nominal model of the plant and the state error between the nominal and the actual closed-loop system asymptotically converges to a set whose size is proportional to the square root of the time constant of the Q-filter.

Funding

No external funding./This work was supported by Sookmyung Women’s University Research Grant 1-2403-2013.

Institutional Review Board Statement

Not applicable.

Informed Consent Statement

Not applicable.

Data Availability Statement

Data are contained within the article.

Conflicts of Interest

The author declares no conflicts of interest.

References

  1. Qu, Y.; Zhang, B.; Chu, H.; Yang, X.; Shen, H.; Zhang, J. Linear-nonlinear switching active disturbance rejection speed controller for permanent magnet synchronous motors. Sensors 2022, 22, 9611. [Google Scholar] [CrossRef] [PubMed]
  2. Liu, Y.; Deng, Y.; Li, H.; Wang, J.; Wang, D. Precise and efficient pointing control of a 2.5-m-wide field survey telescope using ADRC and nonlinear disturbance observer. Sensors 2023, 23, 6068. [Google Scholar] [CrossRef] [PubMed]
  3. Li, Q.; Li, S.; Xu, Y.; Yu, G.; Gao, Y.; Zou, J. Active inertia extended resonance ratio control for permanent magnetic coupling transmission system. IEEE Trans. Ind. Electron. 2024, 71, 11989–12000. [Google Scholar] [CrossRef]
  4. Tian, M.; Wang, B.; Yu, Y.; Dong, Q.; Xu, D. Adaptive active disturbance rejection control for uncertain current ripples suppression of PMSM drives. IEEE Trans. Ind. Electron. 2024, 71, 2320–2331. [Google Scholar] [CrossRef]
  5. Li, Q.; Li, H.; Gao, J.; Xu, Y.; Rodriguez, J.; Kennel, R. Nonlinear-disturbance-observer-based model-predictive control for servo press drive. IEEE Trans. Ind. Electron. 2024, 71, 8448–8458. [Google Scholar] [CrossRef]
  6. Jin, R.; Wang, J.; Qu, Y.; Li, J. Composite ADRC speed control method baed on LTDRO feedforward compensation. Sensors 2024, 24, 2605. [Google Scholar] [CrossRef]
  7. Bang, J.S.; Shim, H.; Park, S.K.; Seo, J.H. Robust tracking and vibration suppression for a two-inertia system by combining backstepping approach with disturbance observer. IEEE Trans. Ind. Electron. 2010, 57, 3197–3206. [Google Scholar] [CrossRef]
  8. Zhang, D.; Hu, J.; Cheng, J.; Wu, Z.; Yan, H. A novel disturbance observer based fixed-time sliding mode control for robotic manipulators with global fast convergence. IEEE/CAA J. Autom. Sin. 2024, 11, 661–672. [Google Scholar] [CrossRef]
  9. Wang, D.; Zhang, G.; Zhang, T.; Zhang, J.; Chen, R. Time-synchronized convergence control for n-DOF robotic manipulators with system uncertainties. Sensors 2024, 24, 5986. [Google Scholar] [CrossRef]
  10. Abadi, A.; Ayeb, A.; Labbadi, M.; Fofi, D.; Bakir, T.; Mekki, H. Robust tracking control of wheeled mobile robot based on differential flatness and sliding active disturbance rejection control: Simulations and experiments. Sensors 2024, 24, 2849. [Google Scholar] [CrossRef]
  11. Wang, H.; Li, Q.; Zhou, F.; Zhang, J. High-precision positioning stage control based on a modified disturbance observer. Sensors 2024, 24, 591. [Google Scholar] [CrossRef] [PubMed]
  12. Jiang, G.; Wang, S.; Song, W. Design of observer with integrators for linear systems with unknown input disturbances. Electron. Lett. 2000, 36, 1–2. [Google Scholar] [CrossRef]
  13. Zhu, F.; Fu, Y.; Dinh, T.N.H. Asymptotic convergence unknown input observer design via interval observer. Automatica 2023, 147, 110744. [Google Scholar] [CrossRef]
  14. Li, S.; Yang, J.; Chen, W.H.; Chen, X. Generalized extended state observer based control for systems with mismatched uncertainties. IEEE Trans. Ind. Electron. 2011, 59, 4792–4802. [Google Scholar] [CrossRef]
  15. Gu, N.; Wang, D.; Peng, Z.; Wang, J.; Han, Q. Disturbance observers and extended state observers for marine vehicles: A survey. Control Eng. Pract. 2022, 123, 105158. [Google Scholar] [CrossRef]
  16. Han, J. From PID to active disturbance rejection control. IEEE Trans. Ind. Electron. 2009, 56, 900–906. [Google Scholar] [CrossRef]
  17. Huang, Y.; Xue, W. Active disturbance rejection control: Methodology and theoretical analysis. ISA Trans. 2014, 53, 963–976. [Google Scholar] [CrossRef]
  18. Chen, W.H.; Ballance, D.J.; Gawthrop, P.J.; OŔeilly, J. A nonlinear disturbance observer for robotic manipulators. IEEE Trans. Ind. Electron. 2000, 47, 932–938. [Google Scholar] [CrossRef]
  19. Chen, W.H. Disturbance observer based control for nonlinear systems. IEEE/ASME Trans. Mechatron. 2004, 9, 706–710. [Google Scholar] [CrossRef]
  20. Radke, A.; Gao, Z. A survey of state and disturbance observers for practitioners. In Proceedings of the 2006 American Control Conference, Minneapolis, MN, USA, 14–16 June 2006. [Google Scholar]
  21. Chen, W.H.; Yang, J.; Guo, L.; Li, S. Disturbance-observer-based control and related method - An overview. IEEE Trans. Ind. Electron. 2016, 63, 1083–1095. [Google Scholar] [CrossRef]
  22. Sariyildiz, E.; Oboe, R.; Ohnishi, K. Disturbance observer-based robust control and its applications: 35th anniversary overview. IEEE Trans. Ind. Electron. 2020, 67, 2042–2053. [Google Scholar] [CrossRef]
  23. Umeno, T.; Hori, Y. Robust speed control of DC servomotors using modern two degrees-of-freedom controller design. IEEE Trans. Ind. Electron. 1991, 38, 363–368. [Google Scholar] [CrossRef]
  24. Umeno, T.; Kaneko, T.; Hori, Y. Robust servosystem design with two degrees of freedom and its application to novel motion control of robot manipulators. IEEE Trans. Ind. Electron. 1993, 40, 473–485. [Google Scholar] [CrossRef]
  25. Yang, K.; Choi, Y.; Chung, W.K. On the tracking performance improvement of optical disk drive servo systems using error-based disturbance observer. IEEE Trans. Ind. Electron. 2005, 52, 270–279. [Google Scholar] [CrossRef]
  26. Yamada, K.; Komada, M.; Ishida, M.; Hori, T. A study on higher order disturbance observer and robust stability. Electr. Eng. Jpn. 1999, 128, 37–44. [Google Scholar] [CrossRef]
  27. Park, G.; Joo, Y.; Shim, H.; Back, J. Rejection of polynomial-in-time disturbances via disturbance observer with guaranteed robust stability. In Proceedings of the 51th IEEE Conference on Decision and Control, Maui, HI, USA, 10–13 December 2012. [Google Scholar]
  28. Joo, Y.; Park, G.; Back, J.; Shim, H. Embedding internal model in disturbance observer with robust stability. IEEE Trans. Autom. Contr. 2016, 61, 3128–3133. [Google Scholar] [CrossRef]
  29. Shim, H.; Jo, N.H. An almost necessary and sufficient condition for robust stability of closed-loop systems with disturbance observer. Automatica 2009, 45, 296–299. [Google Scholar] [CrossRef]
  30. Shim, H.; Joo, Y. State space analysis of disturbance observer and a robust stability condition. In Proceedings of the 46th IEEE Conference on Decision and Control, New Orleans, LA, USA, 12–14 December 2007. [Google Scholar]
  31. Back, J.; Shim, H. Adding robustness to nominal output feedback controllers for uncertain nonlinear systems: A nonlinear version of disturbance observer. Automatica 2008, 44, 2528–2537. [Google Scholar] [CrossRef]
  32. Back, J.; Shim, H. An inner-loop controller guaranteeing robust transient performance for uncertain MIMO nonlinear systems. IEEE Trans. Autom. Control 2009, 54, 1601–1607. [Google Scholar] [CrossRef]
  33. Young, K.D.; Kokotovic, P.V. Analysis of feedback-loop interactions with actuator and sensor parasitics. Automatica 1982, 18, 577–582. [Google Scholar] [CrossRef]
  34. Aldhaheri, R.W.; Khalil, H.K. Effect of unmodeled actuator dynamics on output feedback stabilization of nonlinear systems. Automatica 1996, 32, 1323–1327. [Google Scholar] [CrossRef]
  35. Mahmoud, M.S.; Khalil, H.K. Robustness of high-gain-observer-based nonlinear controllers to unmodeled actuators and sensors. Automatica 2002, 38, 361–369. [Google Scholar] [CrossRef]
  36. Khalil, H.K. A note on the robustness of high-gain-observer-based controllers to unmodeled actuator and sensor dynamics. Automatica 2005, 41, 1821–1824. [Google Scholar] [CrossRef]
  37. Joo, Y. Theoretical Analysis of Disturbance Observer: Stability and Performance. Ph.D. Thesis, Seoul National University, Seoul, Republic of Korea, 2014. [Google Scholar]
  38. Khalil, H.K. Nonlinear Systems, 2nd ed.; Prentice-Hall: Saddle River, NJ, USA, 1996. [Google Scholar]
  39. Isidori, A. Nonlinear Control Systems, 3rd ed.; Springer: Berlin/Heidelberg, Germany, 1995. [Google Scholar]
  40. Ladde, G.S.; JSiljak, D.D. Multiparameter singular perturbations of linear systems with multiple time scales. Automatica 1983, 19, 385–394. [Google Scholar] [CrossRef]
  41. Khalil, H.K.; Kokotovic, P.V. D-stability and multi-parameter singular perturbation. SIAM J. Control Optimiz. 1979, 17, 56–65. [Google Scholar] [CrossRef]
  42. Ladde, G.S.; Rajalakshmi, S.G. Diagonalization and stability of multi-time-scale singularly perturbed linear systems. Appl. Math. Comput. 1985, 16, 115–140. [Google Scholar] [CrossRef]
  43. Jo, N.H.; Joo, Y.; Shim, H. A study of disturbance observers with unknown relative degree of the plant. Automatica 2014, 50, 1730–1734. [Google Scholar] [CrossRef]
Figure 1. The configuration of the disturbance observer-based control system.
Figure 1. The configuration of the disturbance observer-based control system.
Sensors 24 07850 g001
Figure 2. The output response of the disturbance observer-based control system under the unmodeled dynamics (Nominal: the output of the nominal closed-loop system; w/o DOB: the output of the real closed-loop system without the disturbance observer; w/ τ 1 : the output with τ 1 = 0.1 ; w/ τ 2 : the output with τ 2 = 0.2 ; and w/ τ 3 : the output with τ 3 = 0.3 ). The reference input y r ( t ) , the disturbance d ( t ) , and the time constant of the unmodeled dynamics τ v are y r ( t ) = tanh ( t ) , d ( t ) = 1 + 0.5 sin ( t ) , and τ v = 0.02 , respectively.
Figure 2. The output response of the disturbance observer-based control system under the unmodeled dynamics (Nominal: the output of the nominal closed-loop system; w/o DOB: the output of the real closed-loop system without the disturbance observer; w/ τ 1 : the output with τ 1 = 0.1 ; w/ τ 2 : the output with τ 2 = 0.2 ; and w/ τ 3 : the output with τ 3 = 0.3 ). The reference input y r ( t ) , the disturbance d ( t ) , and the time constant of the unmodeled dynamics τ v are y r ( t ) = tanh ( t ) , d ( t ) = 1 + 0.5 sin ( t ) , and τ v = 0.02 , respectively.
Sensors 24 07850 g002
Figure 3. The errors between the output of the nominal closed-loop system and the output of the disturbance observer-based control system (w/ τ 1 : the error with τ 1 = 0.1 ; w/ τ 2 : the error with τ 2 = 0.2 ; and w/ τ 3 : the error with τ 3 = 0.3 ). The reference input y r ( t ) , the disturbance d ( t ) , and the time constant of the unmodeled dynamics τ v are y r ( t ) = tanh ( t ) , d ( t ) = 1 + 0.5 sin ( t ) , and τ v = 0.02 , respectively.
Figure 3. The errors between the output of the nominal closed-loop system and the output of the disturbance observer-based control system (w/ τ 1 : the error with τ 1 = 0.1 ; w/ τ 2 : the error with τ 2 = 0.2 ; and w/ τ 3 : the error with τ 3 = 0.3 ). The reference input y r ( t ) , the disturbance d ( t ) , and the time constant of the unmodeled dynamics τ v are y r ( t ) = tanh ( t ) , d ( t ) = 1 + 0.5 sin ( t ) , and τ v = 0.02 , respectively.
Sensors 24 07850 g003
Figure 4. The output response of the disturbance observer-based control system under the unmodeled dynamics (Nominal: the output of the nominal closed-loop system; w/ τ 1 : the output with τ 1 = 0.05 ; w/ τ 2 : the output with τ 2 = 0.06 ; and w/ τ 3 : the output with τ 3 = 0.12 ). The reference input y r ( t ) , the disturbance d ( t ) , and the time constant of the unmodeled dynamics τ v are y r ( t ) = tanh ( t ) , d ( t ) = 0.5 sin ( t ) , and τ v = 0.02 , respectively.
Figure 4. The output response of the disturbance observer-based control system under the unmodeled dynamics (Nominal: the output of the nominal closed-loop system; w/ τ 1 : the output with τ 1 = 0.05 ; w/ τ 2 : the output with τ 2 = 0.06 ; and w/ τ 3 : the output with τ 3 = 0.12 ). The reference input y r ( t ) , the disturbance d ( t ) , and the time constant of the unmodeled dynamics τ v are y r ( t ) = tanh ( t ) , d ( t ) = 0.5 sin ( t ) , and τ v = 0.02 , respectively.
Sensors 24 07850 g004
Figure 5. The errors between the output of the nominal closed-loop system and the output of the disturbance observer-based control system (w/ τ 1 : the error with τ 1 = 0.05 ; w/ τ 2 : the error with τ 2 = 0.06 ; and w/ τ 3 : the error with τ 3 = 0.12 ). The reference input y r ( t ) , the disturbance d ( t ) , and the time constant of the unmodeled dynamics τ v are y r ( t ) = tanh ( t ) , d ( t ) = 0.5 sin ( t ) , and τ v = 0.02 , respectively.
Figure 5. The errors between the output of the nominal closed-loop system and the output of the disturbance observer-based control system (w/ τ 1 : the error with τ 1 = 0.05 ; w/ τ 2 : the error with τ 2 = 0.06 ; and w/ τ 3 : the error with τ 3 = 0.12 ). The reference input y r ( t ) , the disturbance d ( t ) , and the time constant of the unmodeled dynamics τ v are y r ( t ) = tanh ( t ) , d ( t ) = 0.5 sin ( t ) , and τ v = 0.02 , respectively.
Sensors 24 07850 g005
Figure 6. The errors between the output of the nominal closed-loop system and the output of the disturbance observer-based control system with different time constants of the unmodeled dynamics (w/ τ v 1 : the error with τ v 1 = 0.04 ; w/ τ v 2 : the error with τ v 2 = 0.035 ; and w/ τ v 3 : the error with τ v 3 = 0.03 ). The reference input y r ( t ) , the disturbance d ( t ) , and the time constant of the Q-filter τ q are y r ( t ) = tanh ( t ) , d ( t ) = 0.5 sin ( t ) , and τ q = 0.01 , respectively.
Figure 6. The errors between the output of the nominal closed-loop system and the output of the disturbance observer-based control system with different time constants of the unmodeled dynamics (w/ τ v 1 : the error with τ v 1 = 0.04 ; w/ τ v 2 : the error with τ v 2 = 0.035 ; and w/ τ v 3 : the error with τ v 3 = 0.03 ). The reference input y r ( t ) , the disturbance d ( t ) , and the time constant of the Q-filter τ q are y r ( t ) = tanh ( t ) , d ( t ) = 0.5 sin ( t ) , and τ q = 0.01 , respectively.
Sensors 24 07850 g006
Disclaimer/Publisher’s Note: The statements, opinions and data contained in all publications are solely those of the individual author(s) and contributor(s) and not of MDPI and/or the editor(s). MDPI and/or the editor(s) disclaim responsibility for any injury to people or property resulting from any ideas, methods, instructions or products referred to in the content.

Share and Cite

MDPI and ACS Style

Joo, Y. Performance Recovery and Stability Analysis of Disturbance Observer Under Unmodeled Dynamics. Sensors 2024, 24, 7850. https://doi.org/10.3390/s24237850

AMA Style

Joo Y. Performance Recovery and Stability Analysis of Disturbance Observer Under Unmodeled Dynamics. Sensors. 2024; 24(23):7850. https://doi.org/10.3390/s24237850

Chicago/Turabian Style

Joo, Youngjun. 2024. "Performance Recovery and Stability Analysis of Disturbance Observer Under Unmodeled Dynamics" Sensors 24, no. 23: 7850. https://doi.org/10.3390/s24237850

APA Style

Joo, Y. (2024). Performance Recovery and Stability Analysis of Disturbance Observer Under Unmodeled Dynamics. Sensors, 24(23), 7850. https://doi.org/10.3390/s24237850

Note that from the first issue of 2016, this journal uses article numbers instead of page numbers. See further details here.

Article Metrics

Back to TopTop