The Causal Nexus Between Different Feed Networks and Defected Ground Structures in Multi-Port MIMO Antennas
Abstract
1. Introduction
- A thorough review with succinct summary on the antenna feeding techniques and DGS layouts.
- Modeling of the dual element rectangular patch antenna and SCSRR-based DGS for operation in the sub-6 GHz spectrum.
- The four (one at a time) feed procedures, namely, coaxial probe, microstrip line, proximity-coupled, and aperture-coupled, were applied to a dual port antenna integrated with an SCSRR-based DGS for the simulation studies of antenna as well as diversity parameters.
- Validation of simulation studies by fabrication and measurements of four dual-port antennas integrated with an SCSRR-based DGS and fed via four distinct feed methods.
- Comparison of different feed networks of SCSRR-based DGS MIMO antennas in terms of BW, peak isolation, and peak gain.
2. Fundamental Background
2.1. Antenna Design Methodology
2.2. Antenna Feeding Techniques
2.3. Defected Ground Structure Layouts
3. Analysis of SCSRR-Based DGS MIMO Antennas with Different Feed Networks
3.1. Coaxial Probe Feed
3.2. Microstrip Line Feed
3.3. Proximity-Coupled Feed
3.4. Aperture-Coupled Feed
3.5. MIMO Antenna Performance
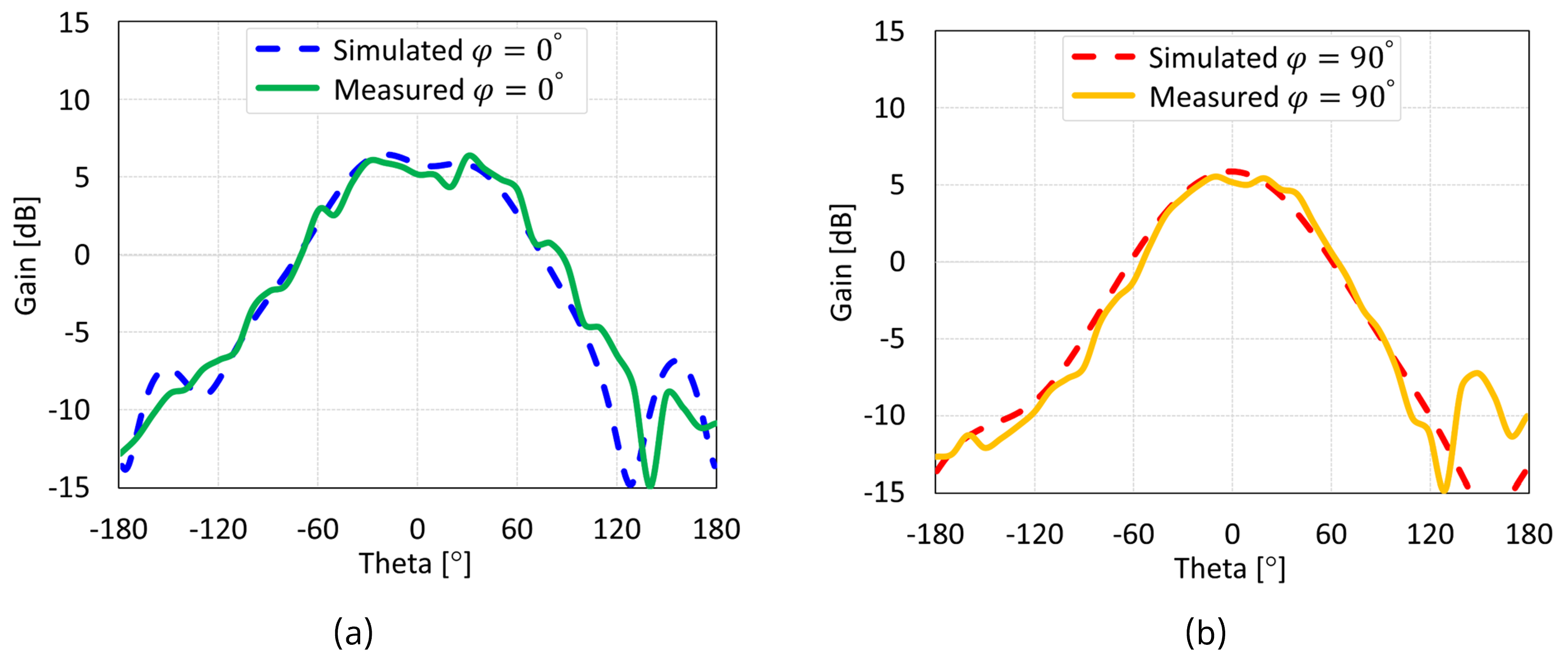
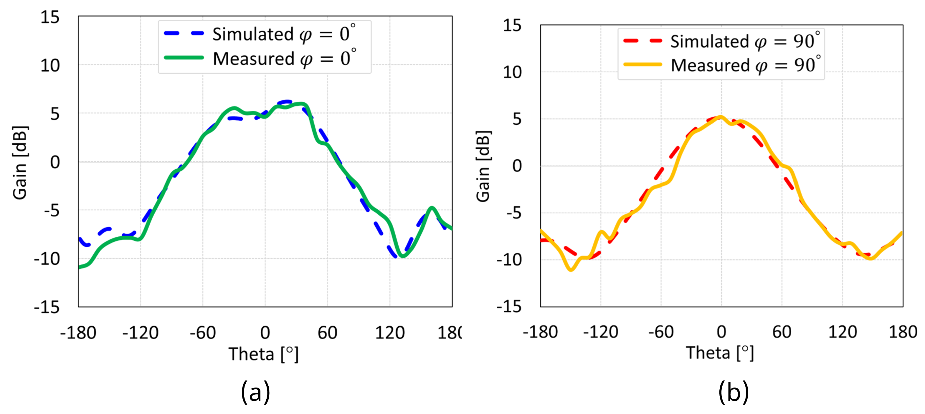
4. Experimental Validation
5. Benchmarking
6. Conclusions
Author Contributions
Funding
Institutional Review Board Statement
Informed Consent Statement
Data Availability Statement
Conflicts of Interest
References
- Qadri, Y.A.; Jung, H.; Niyato, D. Towards the Internet of Medical Things for Real-Time Health Monitoring over Wi-Fi. IEEE Netw. 2024, 38, 229–237. [Google Scholar] [CrossRef]
- Qureshi, I.A.; Asghar, S. A Systematic Review of the IEEE-802.11 Standard’s Enhancements and Limitations. Wirel. Pers. Commun. 2023, 131, 2539–2572. [Google Scholar] [CrossRef]
- Verma, S.; Rodrigues, T.K.; Kawamoto, Y.; Fouda, M.M.; Kato, N. A survey on Multi-AP coordination approaches over emerging WLANs: Future directions and open challenges. IEEE Commun. Surv. Tutor. 2023, 26, 858–889. [Google Scholar] [CrossRef]
- Sen, P.; Harutyunyan, A.; Umar, M.; Kamal, S. Joint Communication and Radar Sensing: RF Hardware Opportunities and Challenges—A Circuits and Systems Perspective. Sensors 2023, 23, 7673. [Google Scholar] [CrossRef]
- Tang, X.; Chen, H.; Yu, B.; Chen, H.; Che, W.; Xue, Q. A Compact Multi-Frequency Broadband Dual-Antenna System with Mutual Coupling Reduction for Wi-Fi 6E Application. IEEE Antennas Wirel. Propag. Lett. 2024, 23, 1296–1300. [Google Scholar] [CrossRef]
- Raza, A.; Keshavarz, R.; Shariati, N. Precision Agriculture: Ultra-Compact Sensor and Reconfigurable Antenna for Joint Sensing and Communication. IEEE Trans. Instrum. Meas. 2024, 73, 8001313. [Google Scholar] [CrossRef]
- Sakulchat, S.; Ruengwaree, A.; Naktong, W.; Unahalekhaka, P.; Promput, S. Low-Cost High Gain Sea Pimp-Shaped Dual Band Monopole Antenna for Mobile 4G/5G/LTE41/WLAN Application. Prog. Electromagn. Res. C 2024, 140, 41–51. [Google Scholar] [CrossRef]
- Li, Y.; Jin, J.; Yang, Z.; Dou, J.; Cheng, H.; Wang, Y.; Yang, H. Low-RCS low-profile MIMO antenna and array antenna using a polarization conversion metasurface. Opt. Express 2023, 31, 38771–38785. [Google Scholar] [CrossRef] [PubMed]
- Pal, A.; Tripathi, V.S. Quad-element MIMO antenna with diverse radiation pattern characteristics and enhanced gain for 5.9 GHz V2X communications. AEU-Int. J. Electron. Commun. 2024, 176, 155119. [Google Scholar] [CrossRef]
- Kamal, S.; Sen, P. Microstrip-Ministered Proximity-Coupled Stacked Dual-Port Antenna for 6G Applications. IEEE Access 2024, 12, 2817–2829. [Google Scholar] [CrossRef]
- Sree, G.N.J.; Babu, K.V.; Das, S.; Islam, T. Design and Optimization of a Deep Learning Algorithm Assisted Stub-loaded Dual Band Four-Port MIMO Antenna for Sub-6GHz 5G and X Band Satellite Communication Applications. AEU-Int. J. Electron. Commun. 2023, 175, 155074. [Google Scholar] [CrossRef]
- Fang, Y.; Jia, Y.; Zhu, J.Q.; Liu, Y.; An, J. Self-Decoupling, Shared-Aperture, Eight-Antenna MIMO Array with MIMO-SAR Reduction. IEEE Trans. Antennas Propag. 2023, 72, 1905–1910. [Google Scholar] [CrossRef]
- Wen, C.; Huang, Y.; Peng, J.; Wu, J.; Zheng, G.; Zhang, Y. Slow-Time FDA-MIMO Technique with Application to STAP Radar. IEEE Trans. Aerosp. Electron. Syst. 2022, 58, 74–95. [Google Scholar] [CrossRef]
- Wang, Q.; Sihvola, A.; Qi, J. A Novel Procedure To Hybridize the Folded Transmitarray and Fabry–Perot Cavity with Low Antenna Profile and Flexible Design Frequency. IEEE Antennas Wirel. Propag. Lett. 2024, 23, 2501–2505. [Google Scholar] [CrossRef]
- Zha, S.; Qu, Z.; Zhang, J.; Zheng, D.; Liu, P. A Gain-Reconfigurable Reflector Antenna with Surface-Mounted Field-Induced Artificial Magnetic Conductor for Adaptive HIRF Prevention. IEEE Trans. Antennas Propag. 2024, 72, 7252–7260. [Google Scholar] [CrossRef]
- Chen, J.; Wang, J.; Wang, J.; Bai, L. Joint Fairness and Efficiency Optimization for CSMA/CA-Based Multi-User MIMO UAV Ad Hoc Networks. IEEE J. Sel. Top. Signal Process. 2024, 1–13. [Google Scholar] [CrossRef]
- Yue, S.; Zeng, S.; Liu, L.; Eldar, Y.C.; Di, B. Hybrid Near-Far Field Channel Estimation for Holographic MIMO Communications. IEEE Trans. Wirel. Commun. 2024, 1. [Google Scholar] [CrossRef]
- Khan, I.; Zhang, K.; Ali, L.; Wu, Q. Enhanced Quad-Port MIMO Antenna Isolation with Metamaterial Superstrate. IEEE Antennas Wirel. Propag. Lett. 2023, 23, 439–443. [Google Scholar] [CrossRef]
- Kamal, S.; Ain, M.F.; Ullah, U.; Omar, M.F.M. Enabling MIMO Antenna Miniaturization and Wide Circular Polarization Coverage by Amalgamation of a Dielectric Strip Between Meandered Traces and Slotted Ground. IEEE Antennas Wirel. Propag. Lett. 2022, 21, 1901–1905. [Google Scholar] [CrossRef]
- Wu, Q.; Chen, W.; Yu, C.; Wang, H.; Hong, W. Machine Learning-Assisted Optimization for Antenna Geometry Design. IEEE Trans. Antennas Propag. 2024, 72, 2083–2095. [Google Scholar] [CrossRef]
- Kiani, S.H.; Ibrahim, I.M.; Savcı, H.Ş.; Rafique, U.; Alsunaydih, F.N.; Alsaleem, F.; Alhassoon, K.; Mostafa, H. Side-edge dual-band MIMO antenna system for 5G cellular devices. AEU-Int. J. Electron. Commun. 2024, 173, 154992. [Google Scholar] [CrossRef]
- Wang, H.; Zhang, R.; Luo, Y.; Yang, G. Compact Eight-Element Antenna Array for Triple-Band MIMO Operation in 5G Mobile Terminals. IEEE Access 2020, 8, 19433–19449. [Google Scholar] [CrossRef]
- Shafique, K.; Khawaja, B.A.; Sabir, F.; Qazi, S.; Mustaqim, M. Internet of Things (IoT) for Next-Generation Smart Systems: A Review of Current Challenges, Future Trends and Prospects for Emerging 5G-IoT Scenarios. IEEE Access 2020, 8, 23022–23040. [Google Scholar] [CrossRef]
- Hua, Q.; Huang, Y.; Alieldin, A.; Song, C.; Jia, T.; Zhu, X. A Dual-Band Dual-Polarized Base Station Antenna Using a Novel Feeding Structure for 5G Communications. IEEE Access 2020, 8, 63710–63717. [Google Scholar] [CrossRef]
- Yalcinkaya, M.T.; Sen, P.; Fettweis, G. Comparative analysis of antenna isolation characteristic with & without self-interference reduction techniques towards in-band full-duplex operation. IET Microwaves Antenna Propag. 2023, 17, 329–342. [Google Scholar] [CrossRef]
- Malathi, A.C.J.; Thiripurasundari, D. Review on isolation techniques in MIMO antenna systems. Indian J. Sci. Technol. 2016, 9, 1–10. [Google Scholar]
- Kumar, S.; Dixit, A.S.; Malekar, R.R.; Raut, H.D.; Shevada, L.K. Fifth generation antennas: A comprehensive review of design and performance enhancement techniques. IEEE Access 2020, 8, 163568–163593. [Google Scholar] [CrossRef]
- Yadav, R.; Malviya, L. UWB antenna and MIMO antennas with bandwidth, band-notched, and isolation properties for high-speed data rate wireless communication: A review. Int. J. Microw. Comput. Eng. 2020, 30, e22033. [Google Scholar] [CrossRef]
- Milias, C.; Andersen, R.B.; Lazaridis, P.I.; Zaharis, Z.D.; Muhammad, B.; Kristensen, J.T.B.; Mihovska, A.; Hermansen, D.D.S. Metamaterial-Inspired Antennas: A Review of the State of the Art and Future Design Challenges. IEEE Access 2021, 9, 89846–89865. [Google Scholar] [CrossRef]
- Hussain, M.; Awan, W.A.; Alzaidi, M.S.; Hussain, N.; Ali, E.M.; Falcone, F. Metamaterials and their application in the performance enhancement of reconfigurable antennas: A review. Micromachines 2023, 14, 349. [Google Scholar] [CrossRef]
- Chouhan, S.; Panda, D.K.; Gupta, M.; Singhal, S. Multiport MIMO antennas with mutual coupling reduction techniques for modern wireless transreceive operations: A review. Int. J. Microw. Comput. Eng. 2018, 28, e21189. [Google Scholar] [CrossRef]
- Sharma, P.; Tiwari, R.N.; Singh, P.; Kumar, P.; Kanaujia, B.K. MIMO Antennas: Design Approaches, Techniques and Applications. Sensors 2022, 22, 7813. [Google Scholar] [CrossRef] [PubMed]
- Ibrahim, A.M.; Ibrahim, I.M.; Shairi, N.A. Review isolation techniques of the MIMO antennas for Sub-6. Prz. Elektrotechniczny 2021, 97, 3–9. [Google Scholar] [CrossRef]
- Saleh, S.; Jamaluddin, M.H.; Razzaz, F.; Saeed, S.M.; Timmons, N.; Morrison, J. Compactness and performance enhancement techniques of ultra-wideband tapered slot antenna: A comprehensive review. Alex. Eng. J. 2023, 74, 195–229. [Google Scholar] [CrossRef]
- Al-saedi, A.J.H.; Perez, J.C. A Review: Compact size and isolation of MIMO antenna. Prz. Elektrotechniczny 2022, 98, 11. [Google Scholar] [CrossRef]
- Zhang, S.; Pedersen, G.F. Mutual Coupling Reduction for UWB MIMO Antennas with a Wideband Neutralization Line. IEEE Antennas Wirel. Propag. Lett. 2016, 15, 166–169. [Google Scholar] [CrossRef]
- Yin, R.; Wu, Z.; Wang, S. Investigation of isolation enhancement and tune-ability in patch antenna arrays. Microw. Opt. Technol. Lett. 2023, 65, 597–602. [Google Scholar] [CrossRef]
- Zou, X.J.; Wang, G.M.; Kang, G.Q.; Song, W.; Tan, M.; Xu, X.G.; Zhu, H. Wideband coupling suppression with neutralization-line-incorporated decoupling network in MIMO arrays. AEU-Int. J. Electron. Commun. 2023, 167, 154688. [Google Scholar] [CrossRef]
- Zhou, Z.; Ge, Y.; Yuan, J.; Xu, Z.; Chen, Z.D. Wideband MIMO Antennas with Enhanced Isolation Using Coupled CPW Transmission Lines. IEEE Trans. Antennas Propag. 2023, 71, 1414–1423. [Google Scholar] [CrossRef]
- Zou, X.J.; Wang, G.M.; Wang, Y.W.; Li, H.P. An Efficient Decoupling Network Between Feeding Points for Multielement Linear Arrays. IEEE Trans. Antennas Propag. 2019, 67, 3101–3108. [Google Scholar] [CrossRef]
- Tran, H.H.; Nguyen, T.T.L.; Ta, H.N.; Pham, D.P. Coupling Reduction of Extremely Closely Spaced Circularly Polarized MIMO Patch Antenna by Phase Shift Method. IEEE Access 2023, 11, 65347–65353. [Google Scholar] [CrossRef]
- Tashvigh, V.; Kartal, M. A dual-sense CP MIMO antenna using decoupling structure with improved isolation. AEU-Int. J. Electron. Commun. 2023, 175, 155065. [Google Scholar] [CrossRef]
- Qian, J.; Izquierdo, B.S.; Gao, S.; Wang, H.; Zhou, H.; Xu, H. A Cascaded Resonator Decoupling Network for Two Filtering Antennas. IEEE Antennas Wirel. Propag. Lett. 2023, 22, 3187–3191. [Google Scholar] [CrossRef]
- Hwang, J.N.; Chung, S.J. Isolation Enhancement Between Two Packed Antennas with Coupling Element. IEEE Antennas Wirel. Propag. Lett. 2011, 10, 1263–1266. [Google Scholar] [CrossRef]
- Soltani, S.; Murch, R.D. A compact planar printed MIMO antenna design. IEEE Trans. Antennas Propag. 2015, 63, 1140–1149. [Google Scholar] [CrossRef]
- Tighilt, Y.; Bensid, C.; Sayad, D.; Mekki, S.; Zegadi, R.; Bouknia, M.L.; Elfergani, I.; Singh, P.; Rodriguez, J.; Zebiri, C. Low-Profile UWB-MIMO Antenna System with Enhanced Isolation Using Parasitic Elements and Metamaterial Integration. Electronics 2023, 12, 4852. [Google Scholar] [CrossRef]
- Khan, M.I.; Liu, S.; Mao, J.; Basit, A.; Ahmed, A.; Daraz, A. Electromagnetic coupling suppression of eight-ports MIMO antenna for satellite communication with neutralize block and parasitic elements. AEU-Int. J. Electron. Commun. 2023, 170, 154821. [Google Scholar] [CrossRef]
- Sakli, H.; Abdelhamid, C.; Essid, C.; Sakli, N. Metamaterial-Based Antenna Performance Enhancement for MIMO System Applications. IEEE Access 2021, 9, 38546–38556. [Google Scholar] [CrossRef]
- Garg, P.; Jain, P. Isolation Improvement of MIMO Antenna Using a Novel Flower Shaped Metamaterial Absorber at 5.5 GHz WiMAX Band. IEEE Trans. Circuits Syst. II: Express Briefs 2020, 67, 675–679. [Google Scholar] [CrossRef]
- Ghosh, S.; Tran, T.N.; Le-Ngoc, T. Dual-Layer EBG-Based Miniaturized Multi-Element Antenna for MIMO Systems. IEEE Trans. Antennas Propag. 2014, 62, 3985–3997. [Google Scholar] [CrossRef]
- Ameen, M.; Chaudhary, R.K. Isolation enhancement of metamaterial-inspired two-port MIMO antenna using hybrid techniques. IEEE Trans. Circuits Syst. II: Express Briefs 2023, 70, 1966–1970. [Google Scholar] [CrossRef]
- Odabasi, H.; Turan, G.; Salimitorkamani, M. Mutual coupling reduction between closely spaced patch antennas using complementary electric-field-coupled resonators. Microw. Opt. Technol. Lett. 2023, 65, 2656–2665. [Google Scholar] [CrossRef]
- Hakim, M.L.; Alam, T.; Islam, M.T.; Sahar, N.B.M.; Singh, M.S.J.; Alsaif, H.; Soliman, M.S. Metamaterial physical property utilized antenna radiation pattern deflection for angular coverage and isolation enhancement of mm-wave 5G MIMO antenna system. Radiat. Phys. Chem. 2023, 209, 110998. [Google Scholar] [CrossRef]
- Hossen, M.R.; Ramzan, M.; Sen, P. Slot-loading based compact wideband monopole antenna design and isolation improvement of MIMO for Wi-Fi sensing application. Microw. Opt. Technol. Lett. 2024, 66, e33886. [Google Scholar] [CrossRef]
- Hasan, M.M.; Islam, M.T.; Alam, T.; Alzamil, A.; Soliman, M.S. Electromagnetic coupling shielding in compact MIMO antenna using symmetric T-shaped metamaterial structure for 5G communications. Opt. Laser Technol. 2024, 169, 110046. [Google Scholar] [CrossRef]
- Rath, S.; Kochuthundil Lalitha, S. CIQBCP-MIMO-DRA: CSRR inspired quad band circularly polarized MIMO-DRA for W-LAN, Wi-Max, Wi-Fi (6E) and X-band applications. Frequenz 2024, 78, 127–141. [Google Scholar] [CrossRef]
- Kumar, A.; De, A.; Jain, R. Novel H-shaped EBG in E-plane for isolation enhancement of compact CPW-fed two-port UWB MIMO antenna. IETE J. Res. 2023, 69, 5986–5992. [Google Scholar] [CrossRef]
- Yalcinkaya, M.T.; Sen, P.; Fettweis, G.P. High Isolation Novel Interleaved TRX Antenna Array with Defected Ground Structure for In-Band Full-Duplex Applications. In Proceedings of the 2023 17th European Conference on Antennas and Propagation (EuCAP), Florence, Italy, 26–31 March 2023; pp. 1–5. [Google Scholar] [CrossRef]
- Kumar, P.; Ali, T.; Pathan, S.; Shetty, N.K.; Huchegowda, Y.B.; Nanjappa, Y. Design and analysis of ultra-wideband four-port MIMO antenna with DGS as decoupling structure for THz applications. Results Opt. 2023, 13, 100573. [Google Scholar] [CrossRef]
- Divya, G.; Babu, K.J.; Madhu, R. Quad-band hybrid DRA loaded MIMO antenna with DGS for isolation enhancement. Int. J. Microw. Wirel. Technol. 2022, 14, 247–256. [Google Scholar] [CrossRef]
- Kang, M.J.; Park, S.; Cho, K.G.; Jung, K.Y. High-Isolation 5G Repeater Antenna Using a Novel DGS and an EBG. J. Electromagn. Eng. Sci. 2023, 23, 275–282. [Google Scholar] [CrossRef]
- Balanis, C.A. Antenna Theory; John Wiley & Sons: Hoboken, NJ, USA, 2005; Chapter 6. [Google Scholar]
- Bansal, A.; Gupta, R. A review on microstrip patch antenna and feeding techniques. Int. J. Inf. Technol. 2020, 12, 149–154. [Google Scholar] [CrossRef]
- Koul, S.K.; Karthikeya, G. Antenna Architectures for Future Wireless Devices; Springer: New York, NY, USA, 2022. [Google Scholar]
- Wang, Y.; Ke, M.; Lancaster, M.J. Micromachined 38 GHz cavity resonator and filter with rectangular-coaxial feed-lines. IET Microwaves Antennas Propag. 2009, 3, 125–129. [Google Scholar] [CrossRef]
- Kamal, S.; Ain, M.F.B.; Ullah, U.; Mohammed, A.S.; Hussin, R.; Omar, M.F.B.M.; Najmi, F.; Ahmad, Z.A.; Ab Rahman, M.F.; Mahmud, M.N.; et al. A Low-Profile Quasi-Loop Magneto-Electric Dipole Antenna Featuring a Wide Bandwidth and Circular Polarization for 5G mmWave Device-to-Device Communication. J. Electromagn. Eng. Sci. 2022, 22, 459–471. [Google Scholar] [CrossRef]
- Bergmann, J.; Patinos, L. Shaped Omnidirectional Reflector Fed by a Dielectric Lens Associated with a Coaxial Feed Horn. Int. J. Antennas Propag. 2023, 2023, 2729945. [Google Scholar] [CrossRef]
- Verma, R.K.; Priya, B.; Singh, M.; Singh, P.; Yadav, A.; Singh, V.K. Equivalent circuit model-based design and analysis of microstrip line fed electrically small patch antenna for sub-6 GHz 5G applications. Int. J. Commun. Syst. 2023, 36, e5595. [Google Scholar] [CrossRef]
- Ashraf, N.; Sebak, A.R.; Kishk, A.A. Packaged microstrip line feed network on a single surface for dual-polarized 2 n× 2 m ME-dipole antenna array. IEEE Antennas Wirel. Propag. Lett. 2020, 19, 596–600. [Google Scholar] [CrossRef]
- Sun, J.; Li, A.; Luk, K.M. A high-gain millimeter-wave magnetoelectric dipole array with packaged microstrip line feed network. IEEE Antennas Wirel. Propag. Lett. 2020, 19, 1669–1673. [Google Scholar] [CrossRef]
- Awasthi, A.K.; Simpson, C.D.; Kolpuke, S.; Luong, T.D.; Yan, J.B.; Taylor, D.; Gogineni, S.P. Ultra-Wideband Patch Antenna Array with an Inclined Proximity Coupled Feed for Small Unmanned Aircraft RADAR Applications. IEEE Open J. Antennas Propag. 2021, 2, 1079–1086. [Google Scholar] [CrossRef]
- Priya, E.D.; Sharmila, A.; Rajarajeshwari, K.; Anand, K.G.; Naim, A. Wearable Proximity Coupled Antenna for IoT Applications. In Internet of Things Enabled Antennas for Biomedical Devices and Systems: Impact, Challenges and Applications; Springer: New York, NY, USA, 2023; pp. 249–258. [Google Scholar]
- Firdausi, A.; Hendrantoro, G.; Setijadi, E.; Alaydrus, M. Analysis and Improvement of Bandwidth and Gain of Millimeter-Wave Microstrip Franklin Antenna with Proximity-Coupled Feed. IEEE Access 2023, 11, 104723–104734. [Google Scholar] [CrossRef]
- Gu, Q.; Zheng, X.; Zhou, Y.; Sun, F.; Liu, S. A 2.5 D Broadband Non-reciprocal Metasurface Based on Aperture-Coupled Feed Structures. IEEE Access 2023, 11, 104858–104865. [Google Scholar] [CrossRef]
- Yoon, N.N.; Ha-Van, N.; Seo, C. High-gain and wideband aperture coupled feed patch antenna using four split ring resonators. Microw. Opt. Technol. Lett. 2018, 60, 1997–2001. [Google Scholar] [CrossRef]
- Tripathi, S.; Pathak, N.P.; Parida, M. A compact reconfigurable aperture coupled fed antenna for intelligent transportation system application. Int. J. Microw. Comput. Eng. 2020, 30, e22210. [Google Scholar] [CrossRef]
- Zada, M.; Shah, I.A.; Yoo, H. Integration of sub-6-GHz and mm-wave bands with a large frequency ratio for future 5G MIMO applications. IEEE Access 2021, 9, 11241–11251. [Google Scholar] [CrossRef]
- Kim, S.M.; Kim, J.; Cha, H.; Sim, M.S.; Choi, J.; Ko, S.W.; Chae, C.B.; Kim, S.L. Opportunism in spectrum sharing for beyond 5G with sub-6 GHz: A concept and its application to duplexing. IEEE Access 2020, 8, 148877–148891. [Google Scholar] [CrossRef]
- Miao, H.; Zhang, J.; Tang, P.; Tian, L.; Zhao, X.; Guo, B.; Liu, G. Sub-6 GHz to mmWave for 5G-Advanced and Beyond: Channel Measurements, Characteristics and Impact on System Performance. IEEE J. Sel. Areas Commun. 2023, 41, 1945–1960. [Google Scholar] [CrossRef]
- Ezzulddin, S.K.; Hasan, S.O.; Ameen, M.M. Microstrip patch antenna design, simulation and fabrication for 5G applications. Simul. Model. Pract. Theory 2022, 116, 102497. [Google Scholar] [CrossRef]
- Suyog, P.; Dipak, P. Parameter enhancement and size reduction of metasurface reflector loaded decagon antenna for wireless applications. AEU-Int. J. Electron. Commun. 2023, 162, 154567. [Google Scholar] [CrossRef]
- Saraswat, R.K.; Kumar, M. Implementation of the Metamaterial Multiband Frequency Reconfigurable Antenna for IoT Wireless Standards. IETE J. Res. 2023, 70, 4594–4605. [Google Scholar] [CrossRef]
- Lee, C.S.; Bai, B.; Song, Q.R.; Wang, Z.Q.; Li, G.F. Open complementary split-ring resonator sensor for dropping-based liquid dielectric characterization. IEEE Sens. J. 2019, 19, 11880–11890. [Google Scholar] [CrossRef]
- Samat, A.A.; Zaidel, D.N.K.A.; Mat, D.A.A.; Sharip, M.R.M.; Zaidel, D.N.A.; Muhamad, I.I.; Then, Y.L. Surface Current Distribution and Performance Analysis of Different Feeding Techniques for Microstrip Patch Antenna. In Proceedings of the 2020 13th International UNIMAS Engineering Conference (EnCon), Kuching, Malaysia, 27–28 October 2020; pp. 1–5. [Google Scholar] [CrossRef]
- Sheeba, I.; Jayanthy, T. Analysis and implementation of Flexible Microstrip Antenna of soft substrates with different Feeding Techniques for ISM Band. In Proceedings of the 2019 IEEE International Conference on System, Computation, Automation and Networking (ICSCAN), Pondicherry, India, 29–30 March 2019; pp. 1–5. [Google Scholar] [CrossRef]
- Saluja, R.; Krishna, A.; Khanna, P.; Sharma, D.; Sharma, P.; Pandey, H. Analysis of bluetooth patch antenna with different feeding techniques using simulation and optimization. In Proceedings of the 2008 International Conference on Recent Advances in Microwave Theory and Applications, Jaipur, India, 21–24 November 2008; pp. 742–744. [Google Scholar] [CrossRef]
- Zaidi, N.; Ali, M.; Rahman, N.A.; Amin Nordin, M.; Ahmad Shah, A.S.; Yahya, M.; Yon, H. Analysis of Different Feeding Techniques on Textile Antenna. In Proceedings of the 2019 International Symposium on Antennas and Propagation (ISAP), Xi’an, China, 27–30 October 2019; pp. 1–3. [Google Scholar]
- Mandal, A.; Ghosal, A.; Majumdar, A.; Ghosh, A.; Das, A.; Das, S.K. Analysis of feeding techniques of rectangular microstrip antenna. In Proceedings of the 2012 IEEE International Conference on Signal Processing, Communication and Computing (ICSPCC 2012), Hong Kong, China, 12–15 August 2012; pp. 26–31. [Google Scholar] [CrossRef]
- Kim, C.S.; Park, J.S.; Ahn, D.; Lim, J.B. A novel 1-D periodic defected ground structure for planar circuits. IEEE Microw. Guid. Wave Lett. 2000, 10, 131–133. [Google Scholar]
- Guha, D.; Kumar, C.; Biswas, S. Defected Ground Structure (DGS) Based Antennas: Design Physics, Engineering, and Applications; John Wiley & Sons, Inc.: Hoboken, NJ, USA, 2022. [Google Scholar]
- Mak, A.C.; Rowell, C.R.; Murch, R.D. Isolation enhancement between two closely packed antennas. IEEE Trans. Antennas Propag. 2008, 56, 3411–3419. [Google Scholar] [CrossRef]
- Luo, C.M.; Hong, J.S.; Zhong, L.L. Isolation enhancement of a very compact UWB-MIMO slot antenna with two defected ground structures. IEEE Antennas Wirel. Propag. Lett. 2015, 14, 1766–1769. [Google Scholar] [CrossRef]
- Kamal, S.; Chaudhari, A.A. Printed meander line MIMO antenna integrated with air gap, DGS and RIS: A low mutual coupling design for LTE applications. Prog. Electromagn. Res. C 2017, 71, 149–159. [Google Scholar] [CrossRef]
- Yang, Z.; Xiao, J.; Ye, Q. Enhancing MIMO antenna isolation characteristic by manipulating the propagation of surface wave. IEEE Access 2020, 8, 115572–115581. [Google Scholar] [CrossRef]
- Al-Hasan, M.J.; Denidni, T.A.; Sebak, A.R. Millimeter-Wave Compact EBG Structure for Mutual Coupling Reduction Applications. IEEE Trans. Antennas Propag. 2015, 63, 823–828. [Google Scholar] [CrossRef]
- Pendry, J.; Holden, A.; Robbins, D.; Stewart, W. Magnetism from conductors and enhanced nonlinear phenomena. IEEE Trans. Microw. Theory Tech. 1999, 47, 2075–2084. [Google Scholar] [CrossRef]
- Zhang, Y.L.; Hong, W.; Wu, K.; Chen, J.X.; Tang, H.J. Novel substrate integrated waveguide cavity filter with defected ground structure. IEEE Trans. Microw. Theory Tech. 2005, 53, 1280–1287. [Google Scholar] [CrossRef]
- Bait-Suwailam, M.M.; Siddiqui, O.F.; Ramahi, O.M. Mutual Coupling Reduction Between Microstrip Patch Antennas Using Slotted-Complementary Split-Ring Resonators. IEEE Antennas Wirel. Propag. Lett. 2010, 9, 876–878. [Google Scholar] [CrossRef]
- Blanch, S.; Romeu, J.; Corbella, I. Exact representation of antenna system diversity performance from input parameter description. Electron. Lett. 2003, 39, 705–707. [Google Scholar] [CrossRef]
- Sharawi, M.S. Printed Multi-Band MIMO Antenna Systems and Their Performance Metrics [Wireless Corner]. IEEE Antennas Propag. Mag. 2013, 55, 218–232. [Google Scholar] [CrossRef]
- Choukiker, Y.K.; Sharma, S.K.; Behera, S.K. Hybrid Fractal Shape Planar Monopole Antenna Covering Multiband Wireless Communications with MIMO Implementation for Handheld Mobile Devices. IEEE Trans. Antennas Propag. 2014, 62, 1483–1488. [Google Scholar] [CrossRef]
- Soh, P.; Rahim, M.; Asrokin, A.; Aziz, M.A. Design, modeling, and performance comparison of feeding techniques for a microstrip patch antenna. J. Teknol. 2008, 47, 103–120. [Google Scholar] [CrossRef]
- Abdelaziz, A.; Hamad, E.K. Isolation enhancement of 5G multiple-input multiple-output microstrip patch antenna using metamaterials and the theory of characteristic modes. Int. J. Microw. Comput. Eng. 2020, 30, e22416. [Google Scholar] [CrossRef]
- Ameen, M.; Ahmad, O.; Chaudhary, R.K. Single split-ring resonator loaded self-decoupled dual-polarized MIMO antenna for mid-band 5G and C-band applications. AEU-Int. J. Electron. Commun. 2020, 124, 153336. [Google Scholar] [CrossRef]
- Manage, P.S.; Naik, U.; Rayar, V. Compact design of MIMO antenna with split ring resonators for UWB applications. Nano Commun. Netw. 2024, 41, 100512. [Google Scholar] [CrossRef]
- Munusami, C.; Venkatesan, R. A Compact Boat Shaped Dual-Band MIMO Antenna with Enhanced Isolation for 5G/WLAN Application. IEEE Access 2024, 12, 11631–11641. [Google Scholar] [CrossRef]
- Xu, Z.; Qisheng Zhang, L.G. A Compact 5G Decoupling MIMO Antenna Based on Split-Ring Resonators. Int. J. Antennas Propag. 2019, 2019, 3782528. [Google Scholar] [CrossRef]
- Manumula, S.; Rajasekhar, N.V. Design of compact MIMO antenna for 5G Applications. In Proceedings of the 2023 3rd International Conference on Artificial Intelligence and Signal Processing (AISP), Vijayawada, India, 18–20 March 2023; pp. 1–5. [Google Scholar] [CrossRef]
- Revati, C.G.; Patil, R.R. MIMO antenna design using SR and DGS based decoupling network. In Proceedings of the 2024 International Conference on Knowledge Engineering and Communication Systems (ICKECS), Kolar, India, 18–19 April 2024; Volume 1, pp. 1–5. [Google Scholar] [CrossRef]
- Pandit, S.; Ray, P.; Mohan, A. Compact MIMO Antenna Enabled by DGS for WLAN Applications. In Proceedings of the 2018 IEEE International Symposium on Antennas and Propagation & USNC/URSI National Radio Science Meeting, Boston, MA, USA, 8–13 July 2018; pp. 35–36. [Google Scholar] [CrossRef]
- Hu, X.; Jia, X.; Wang, R.; Qin, G. High—Isolated MIMO Antenna Design Based on Polygonal DGS. In Proceedings of the 2023 Cross Strait Radio Science and Wireless Technology Conference (CSRSWTC), Guilin, China, 10–13 November 2023; pp. 1–3. [Google Scholar] [CrossRef]









































| Feed Methods | Advantages | Disadvantages |
|---|---|---|
| Microstrip Line |
|
|
| Coaxial Probe |
|
|
| Aperture Coupled |
|
|
| Proximity-Coupled |
|
|
| Advantages | Disadvantages |
|---|---|
| Suppression of surface wave | Backward radiation |
| Harmonic suppression | Difficulty in analysis |
| Enhancement of bandwidth | Difficulty in design |
| Easy fabrication and cost effective | Radiation pattern distortion |
| Parameters | Values [mm] |
|---|---|
| Lout | 6 |
| gout | 0.3 |
| tout | 0.6 |
| din | 1.6 |
| SL | 2.4 |
| SW | 0.6 |
| Lin | 4.2 |
| tin | 0.5 |
| dout | 0.85 |
| Parameters | Without SCSRR | With SCSRR |
|---|---|---|
| [GHz] | 5.76 | 5.8 |
| Peak return loss [dB] | 19.15 | 17.67 |
| BW [MHz] | 170 | 180 |
| Peak gain [dBi] | 6.8 | 6 |
| Peak isolation [dB] | 16.5 | 58 |
| RE [%] | 95.9 | 95.8 |
| Parameters | Without SCSRR | With SCSRR |
|---|---|---|
| [GHz] | 5.85 | 5.87 |
| Peak return loss [dB] | 19 | 21.86 |
| BW [MHz] | 162 | 175 |
| Peak gain [dBi] | 7.1 | 6.4 |
| Peak isolation [dB] | 21 | 24 |
| RE [%] | 94.4 | 94.3 |
| Parameters | Without SCSRR | With SCSRR |
|---|---|---|
| [GHz] | 5.75 | 5.75 |
| Peak return loss [dB] | 18 | 17.78 |
| BW [MHz] | 263 | 270 |
| Peak gain [dBi] | 7.2 | 6 |
| Peak isolation [dB] | 20 | 31 |
| RE [%] | 97.4 | 97.2 |
| Parameters | Without SCSRR | With SCSRR |
|---|---|---|
| [GHz] | 5.84 | 5.85 |
| Peak return loss [dB] | 24 | 31 |
| BW [MHz] | 210 | 225 |
| Peak gain [dBi] | 6.3 | 6.33 |
| Peak isolation [dB] | 18 | 17 |
| RE [%] | 94.9 | 94.8 |
| Parameters | Coaxial Probe | Microstrip Line | Proximity Coupled | Aperture Coupled | ||||
|---|---|---|---|---|---|---|---|---|
| Experiment | Simulated | Measured | Simulated | Measured | Simulated | Measured | Simulated | Measured |
| [GHz] | 5.8 | 5.8 | 5.87 | 5.87 | 5.75 | 5.75 | 5.85 | 5.85 |
| BW [MHz] | 180 | 150 | 175 | 125 | 270 | 312 | 225 | 312 |
| Peak gain [dBi] | 6 | ≈5 | 6.4 | ≈5 | 6 | ≈5 | 6.33 | ≈5 |
| Peak isolation [dB] | 58 | 46 | 24 | 22 | 31 | 38 | 17 | 17 |
| Reference | Aim: To Enhance | Accomplishment | Utilized Feed Type | Recommende Feed Type: by Us |
|---|---|---|---|---|
| [107] | Isolation | 25 dB | Microstrip line | Coaxial probe |
| [108] | Isolation | 15 dB | Microstrip line | Coaxial probe |
| [109] | Isolation | 18.7 dB | Microstrip line | Coaxial probe |
| [110] | Isolation | 18 dB | Microstrip line | Coaxial probe |
| [111] | Bandwidth | 260 MHz | Microstrip line | Aperture or proximity coupled |
Disclaimer/Publisher’s Note: The statements, opinions and data contained in all publications are solely those of the individual author(s) and contributor(s) and not of MDPI and/or the editor(s). MDPI and/or the editor(s) disclaim responsibility for any injury to people or property resulting from any ideas, methods, instructions or products referred to in the content. |
© 2024 by the authors. Licensee MDPI, Basel, Switzerland. This article is an open access article distributed under the terms and conditions of the Creative Commons Attribution (CC BY) license (https://creativecommons.org/licenses/by/4.0/).
Share and Cite
Yalcinkaya, M.T.; Kamal, S.; Sen, P.; Fettweis, G.P. The Causal Nexus Between Different Feed Networks and Defected Ground Structures in Multi-Port MIMO Antennas. Sensors 2024, 24, 7278. https://doi.org/10.3390/s24227278
Yalcinkaya MT, Kamal S, Sen P, Fettweis GP. The Causal Nexus Between Different Feed Networks and Defected Ground Structures in Multi-Port MIMO Antennas. Sensors. 2024; 24(22):7278. https://doi.org/10.3390/s24227278
Chicago/Turabian StyleYalcinkaya, Merve Tascioglu, Shahanawaz Kamal, Padmanava Sen, and Gerhard P. Fettweis. 2024. "The Causal Nexus Between Different Feed Networks and Defected Ground Structures in Multi-Port MIMO Antennas" Sensors 24, no. 22: 7278. https://doi.org/10.3390/s24227278
APA StyleYalcinkaya, M. T., Kamal, S., Sen, P., & Fettweis, G. P. (2024). The Causal Nexus Between Different Feed Networks and Defected Ground Structures in Multi-Port MIMO Antennas. Sensors, 24(22), 7278. https://doi.org/10.3390/s24227278

