Compact VHF/UHF Ultrawideband Discone Antenna with Consistent Pattern
Abstract
1. Introduction
2. Antenna Design
2.1. Antenna Structure
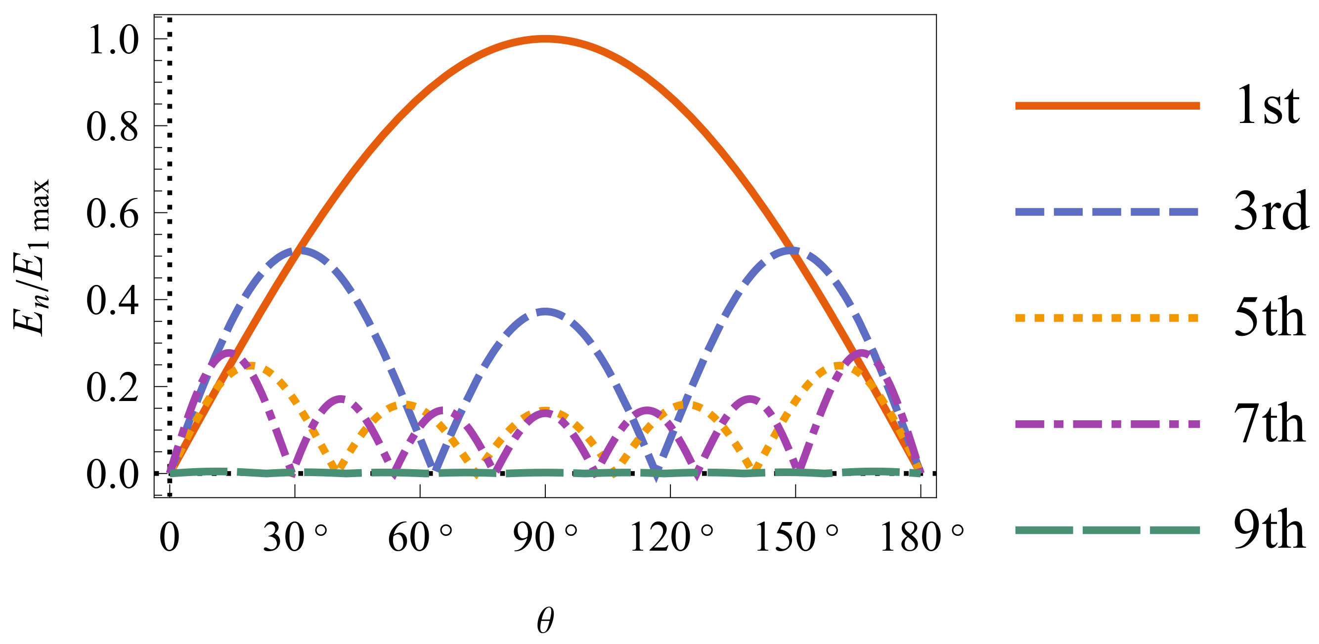
2.2. Radiation Analysis

| Parameter | H | D | d | |||||
|---|---|---|---|---|---|---|---|---|
| Value (mm) | 132 | 310 | 120 | 60 | 30 | 60 | 30 | 24 |
| Parameter | GD | |||||||
| Value (mm) | 135 | 235 | 1.3 | 4.1 | 6 | 12 | 375 | |
| Parameter | ||||||||
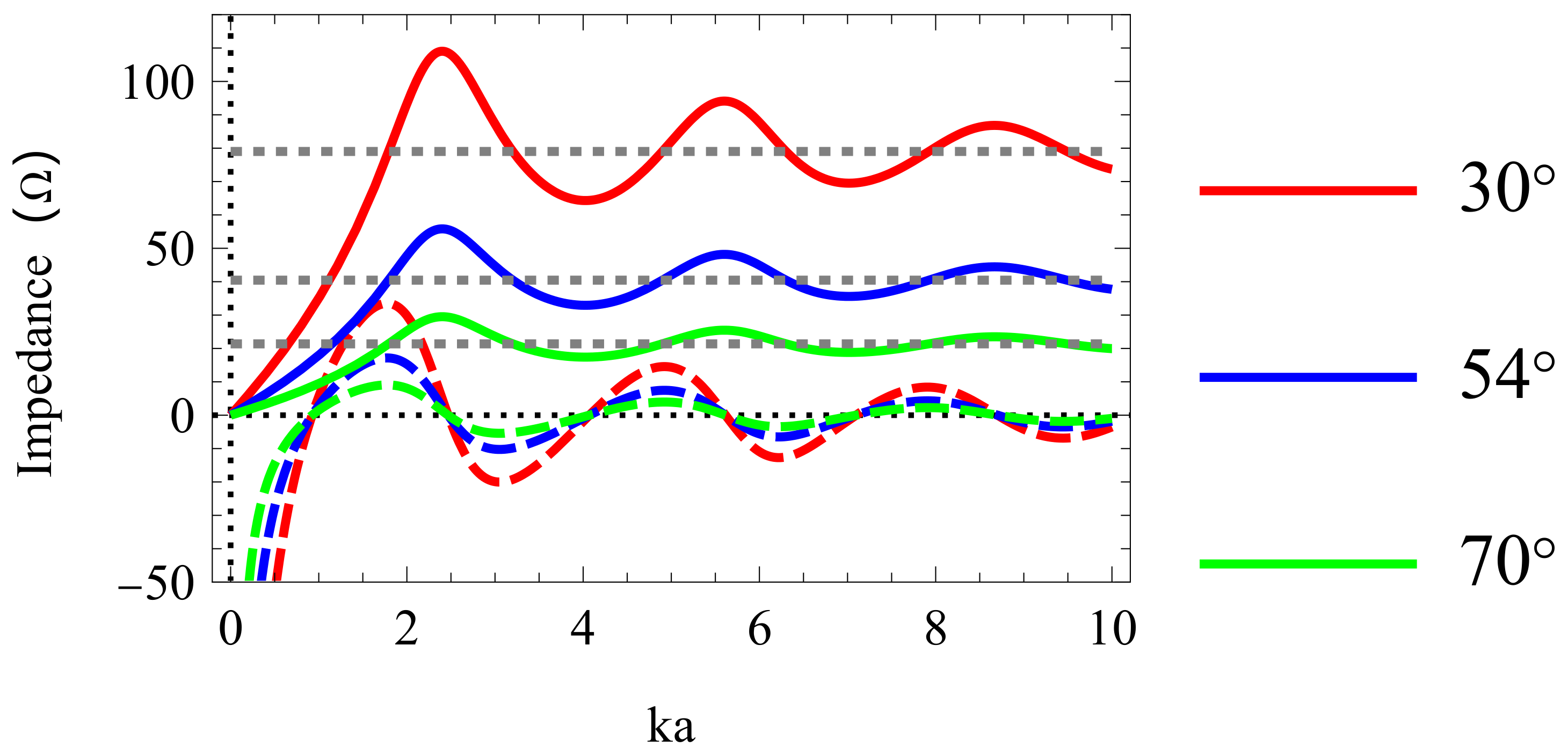
| Value (°) | 50 | 54 | 54 | 46 | 59 |
2.3. Operating Mechanism
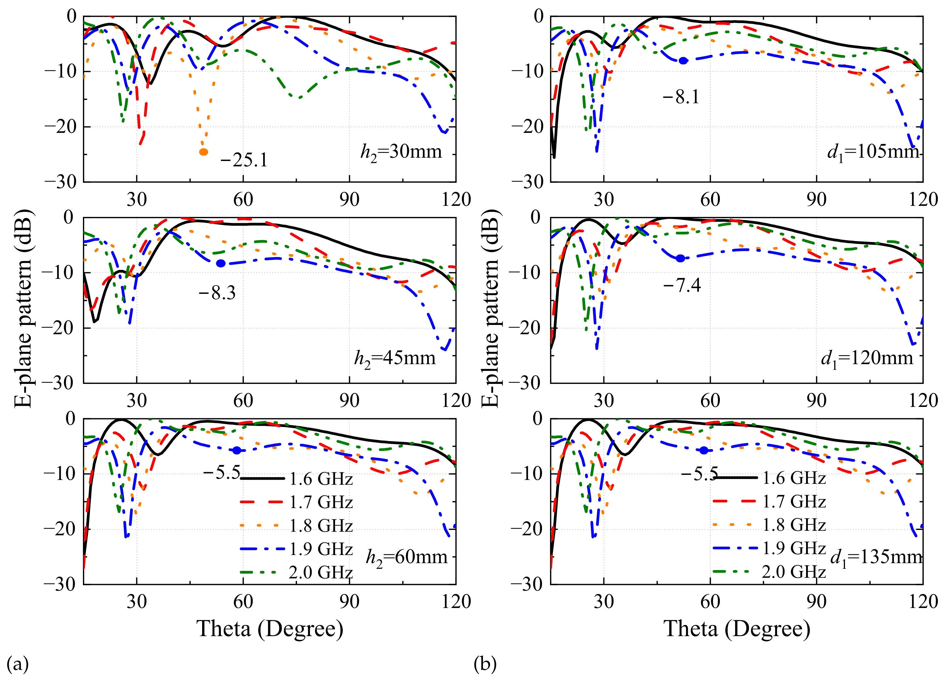
2.4. Parametric Sweep
3. Measurement and Comparison
4. Conclusions
Author Contributions
Funding
Institutional Review Board Statement
Informed Consent Statement
Data Availability Statement
Conflicts of Interest
References
- Wang, C.; Yuan, B.; Shi, W.; Mao, J. Low-Profile Broadband Plasma Antenna for Naval Communications in VHF and UHF Bands. IEEE Trans. Antennas Propag. 2020, 68, 4271–4282. [Google Scholar] [CrossRef]
- Choi, J.; Dagefu, F.T.; Sadler, B.M. An Efficient Low-Profile Low-VHF Antenna for Small Unmanned Ground Vehicles. In Proceedings of the 2020 14th European Conference on Antennas and Propagation (EuCAP), Copenhagen, Denmark, 15–20 March 2020; IEEE: Piscataway, NJ, USA, 2020; pp. 1–4. [Google Scholar] [CrossRef]
- Choi, J.; Dagefu, F.T. A Miniature High-Gain Low-VHF Antenna. In Proceedings of the 2020 IEEE International Symposium on Antennas and Propagation and North American Radio Science Meeting, Montréal, QC, Canada, 5–10 July 2020; IEEE: Piscataway, NJ, USA, 2020; pp. 1723–1724. [Google Scholar] [CrossRef]
- Park, W.B.; Park, Y.M.; Hwang, K.C. Ferrite-Loaded Spidron Fractal Loop VHF Antenna for UAV Applications. Appl. Sci. 2020, 10, 5392. [Google Scholar] [CrossRef]
- Gao, X.; Ma, Q.; Gu, Z.; Cui, W.Y.; Liu, C.; Zhang, J.; Cui, T.J. Programmable surface plasmonic neural networks for microwave detection and processing. Nat. Electron. 2023, 6, 319–328. [Google Scholar] [CrossRef]
- Chen, L.; Ma, Q.; Luo, S.S.; Ye, F.J.; Cui, H.Y.; Cui, T.J. Touch-Programmable Metasurface for Various Electromagnetic Manipulations and Encryptions. Small 2022, 18, 2203871. [Google Scholar] [CrossRef] [PubMed]
- Chung, J.Y.; Yih, G. Low-Profile VHF Antenna Based on Quarter-Mode Substrate-Integrated Waveguide Structure. Appl. Sci. 2022, 12, 8973. [Google Scholar] [CrossRef]
- Islam, M.A.; Talukder, M.K.H.; Md Ahad, S. Design and Analysis of Vehicle Mounted Whip Antennas for HF and VHF Communication. In Proceedings of the 2023 4th International Conference for Emerging Technology (INCET), Belgaum, India, 26–28 May 2023; pp. 1–4. [Google Scholar] [CrossRef]
- Ranjbar Nikkhah, M.; Dagefu, F.T.; Behdad, N. Electrically Small Platform-Based Antennas for an Unmanned Ground Vehicle. IEEE Trans. Antennas Propag. 2020, 68, 5189–5198. [Google Scholar] [CrossRef]
- Abdul-Rahman, E.; Aloi, D.N. Design of a 5G Sub-6 GHz Vehicular Cellular Antenna Element with Consistent Radiation Pattern Using Characteristic Mode Analysis. Sensors 2022, 22, 8862. [Google Scholar] [CrossRef] [PubMed]
- Jayaram, M.; Murugan, S.; Mohandass, S.; Anjaneyulu, B.M. Design and Simulation of Ultra-Wideband antenna for Wireless applications. In Proceedings of the 2022 3rd International Conference on Communication, Computing and Industry 4.0 (C2I4), Bangalore, India, 15–16 December 2022; pp. 1–5. [Google Scholar] [CrossRef]
- Liu, S.; Liu, J.; Zhao, L.; Xie, W.; Hu, N. Design of an Ultra- Wideband Discone Antenna. In Proceedings of the 2022 International Conference on Microwave and Millimeter Wave Technology (ICMMT), Harbin, China, 12–15 August 2022; pp. 1–3. [Google Scholar] [CrossRef]
- Guo, L.; Min, M.; Che, W.; Yang, W. A Novel Miniaturized Planar Ultra-Wideband Antenna. IEEE Access 2019, 7, 2769–2773. [Google Scholar] [CrossRef]
- Zhao, Y.; Wang, W. Design of a Pear-Like Combined Discone Antenna with Super Wide Bandwidth. In Proceedings of the 2021 IEEE 4th International Conference on Electronics Technology (ICET), Chengdu, China, 7–10 May 2021; pp. 643–646. [Google Scholar] [CrossRef]
- Asthan, R.S.; Munir, A. Design and Realization of A Wideband Quadratic Wire-shaped Discone Antenna. In Proceedings of the 2023 Workshop on Microwave Theory and Technology in Wireless Communications (MTTW), Riga, Latvia, 4–6 October 2023; pp. 132–135. [Google Scholar] [CrossRef]
- Munir, A.; Sahlendar Asthan, R.; Andi Nurmantris, D. Curvature Shape Utilization for Characteristics Enhancement of Skeletal Wire Discone Antenna. In Proceedings of the 2023 IEEE-APS Topical Conference on Antennas and Propagation in Wireless Communications (APWC), Venice, Italy, 9–13 October 2023; p. 109. [Google Scholar] [CrossRef]
- Ng, K.J.; Islam, M.T.; Alevy, A.M.; Mansor, M.F. Ultralow Profile, Low Passive Intermodulation, and Super-Wideband Ceiling Mount Antennas for Cellular and Public Safety Distributed Antenna Systems. Sensors 2020, 20, 2456. [Google Scholar] [CrossRef] [PubMed]
- Munir, A.; Asthan, R.S.; Dwi Prananto, H.; Oktafiani, F. Design and Characterization of PLA-based Wideband 3D-Printed Discone Antenna. In Proceedings of the 2022 IEEE International Symposium on Antennas and Propagation and USNC-URSI Radio Science Meeting (AP-S/URSI), Denver, CO, USA, 10–15 July 2022; pp. 593–594. [Google Scholar] [CrossRef]
- Rostomyan, N.; Ott, A.T.; Blech, M.D.; Brem, R.; Eisner, C.J.; Eibert, T.F. A Balanced Impulse Radiating Omnidirectional Ultrawideband Stacked Biconical Antenna. IEEE Trans. Antennas Propag. 2015, 63, 59–68. [Google Scholar] [CrossRef]
- Kim, W.; Shin, G.; Lee, K.W.; Mun, B.; Yoon, I.J. A Wideband Monoconical Antenna for Airborne Applications with a Null-Filled Radiation Pattern. IEEE Antennas Wirel. Propag. Lett. 2022, 21, 1158–1162. [Google Scholar] [CrossRef]
- Keum, K.S.; Park, Y.M.; Choi, J.H. A Low-Profile Wideband Monocone Antenna Using Bent Shorting Strips. Appl. Sci. 2019, 9, 1896. [Google Scholar] [CrossRef]
- Balanis, C.A. Antenna Theory: Analysis and Design, 3rd ed.; John Wiley: Hoboken, NJ, USA, 2005. [Google Scholar]
- Zhang, D.; Wu, Q. A miniaturised mono-cone antenna with top plate and composite lumped loading. Electron. Lett. 2022, 58, 527–529. [Google Scholar] [CrossRef]
- Xu, S.Y.; Liu, J.; Hui Chen, G. Design of a Composite Loaded UWB Miniaturized Vehicle-Mounted Antenna. In Proceedings of the 2018 IEEE 18th International Conference on Communication Technology (ICCT), Chongqing, China, 8–11 October 2018; IEEE: Piscataway, NJ, USA, 2018; pp. 582–585. [Google Scholar] [CrossRef]
- Omar, A.A.; Shen, Z. A Compact and Wideband Vertically Polarized Monopole Antenna. IEEE Trans. Antennas Propag. 2019, 67, 626–631. [Google Scholar] [CrossRef]
- Liu, A.; Lu, Y. A Superwide Bandwidth Low-Profile Monocone Antenna With Dielectric Loading. IEEE Trans. Antennas Propag. 2019, 67, 4173–4177. [Google Scholar] [CrossRef]
- Yang, L.; Xing, Z.; Xu, S.; Zhang, D.; Li, Y. Design of a 3D Top-Loaded Low-Profile Sleeve Antenna for UAV Applications. IEEE Access 2020, 8, 64718–64724. [Google Scholar] [CrossRef]
- Wen, S.; Dong, Y. A Low-Profile Wideband Antenna with Monopolelike Radiation Characteristics for 4G/5G Indoor Micro Base Station Application. IEEE Antennas Wirel. Propag. Lett. 2020, 19, 2305–2309. [Google Scholar] [CrossRef]
- Yang, D.; Hu, J.; Liu, S. A Low Profile UWB Antenna for WBAN Applications. IEEE Access 2018, 6, 25214–25219. [Google Scholar] [CrossRef]
- Gandomi, M.H.; Zarifi, D. Design and Development of Ultra-Wideband 3-D Monopole Antennas Based on Supercurves. IEEE Trans. Antennas Propag. 2021, 69, 8214–8220. [Google Scholar] [CrossRef]
- Nguyen-Trong, N.; Piotrowski, A.; Kaufmann, T.; Fumeaux, C. Low-Profile Wideband Monopolar UHF Antennas for Integration Onto Vehicles and Helmets. IEEE Trans. Antennas Propag. 2016, 64, 2562–2568. [Google Scholar] [CrossRef]








| Ref. | Design Principle | Im. BW | Null | Gain (dBi) | Size (D × H, ) |
|---|---|---|---|---|---|
| [1] | electrically tuned plasma | 30–100 or 100–512 MHz (5.1:1) | no | ≥−5 | 0.05 × 0.1 |
| [14] | polynomial function | 0.4–18.2 GHz (45.5:1) | −25 @16 G | ≥1 | 0.20 × 0.283 |
| [19] | spherical-multipole optimized | 3–20 GHz (6.67:1) | no | ≥−0.7 | 0.9 × 0.4 |
| [23] | lumped loading | 0.118–1.1 GHz (9.3:1) | no | ≥−8 | 0.24 × 0.06 |
| [24] | composite loaded | 80–600 MHz (7.5:1) | no | / | 0.168 × 0.059 |
| [25] | dielectric material | 0.69–3.35 GHz (4.86:1) | −10 @3.2 G | ≥1.3 | 0.115 × 0.092 |
| [26] | dielectric loading | 1.6–11.7 GHz (7.3:1) | no | ≥ 3 | 0.363 × 0.057 |
| [27] | adding shorted columns | 0.84–1.69 GHz (2:1) | no | ≥1.27 | 0.44 × 0.07 |
| [28] | interdigital capacitor | 1.66–3.95 GHz (2.38:1) | no | ≥1 | 0.672 × 0.081 |
| [29] | cone shape optimized | 2.5–24 GHz (9.6:1) | −12 @9 G | ≥2 | 0.192 × 0.05 |
| [30] | supercurves | 1.4–37.4 GHz (26:1) | −10 @30 G | ≥2.5 | 0.74 × 0.40 |
| [31] | four tapered slots | 0.8–2.3 GHz (2.875:1) | no | ≥2.9 | 0.213 × 0.069 |
| This work | additional sleeves | 0.22–2.5 GHz (11.36:1) | −5.5 @1.9 G | ≥0.2 | 0.227 × 0.096 |
Disclaimer/Publisher’s Note: The statements, opinions and data contained in all publications are solely those of the individual author(s) and contributor(s) and not of MDPI and/or the editor(s). MDPI and/or the editor(s) disclaim responsibility for any injury to people or property resulting from any ideas, methods, instructions or products referred to in the content. |
© 2024 by the authors. Licensee MDPI, Basel, Switzerland. This article is an open access article distributed under the terms and conditions of the Creative Commons Attribution (CC BY) license (https://creativecommons.org/licenses/by/4.0/).
Share and Cite
Li, G.; Zhang, F.; Wang, B. Compact VHF/UHF Ultrawideband Discone Antenna with Consistent Pattern. Sensors 2024, 24, 6147. https://doi.org/10.3390/s24186147
Li G, Zhang F, Wang B. Compact VHF/UHF Ultrawideband Discone Antenna with Consistent Pattern. Sensors. 2024; 24(18):6147. https://doi.org/10.3390/s24186147
Chicago/Turabian StyleLi, Guang, Fushun Zhang, and Bingnan Wang. 2024. "Compact VHF/UHF Ultrawideband Discone Antenna with Consistent Pattern" Sensors 24, no. 18: 6147. https://doi.org/10.3390/s24186147
APA StyleLi, G., Zhang, F., & Wang, B. (2024). Compact VHF/UHF Ultrawideband Discone Antenna with Consistent Pattern. Sensors, 24(18), 6147. https://doi.org/10.3390/s24186147

