Quality Assurance of Point and 2D Shear Wave Elastography through the Establishment of Baseline Data Using Phantoms
Abstract
1. Introduction
2. Materials and Methods
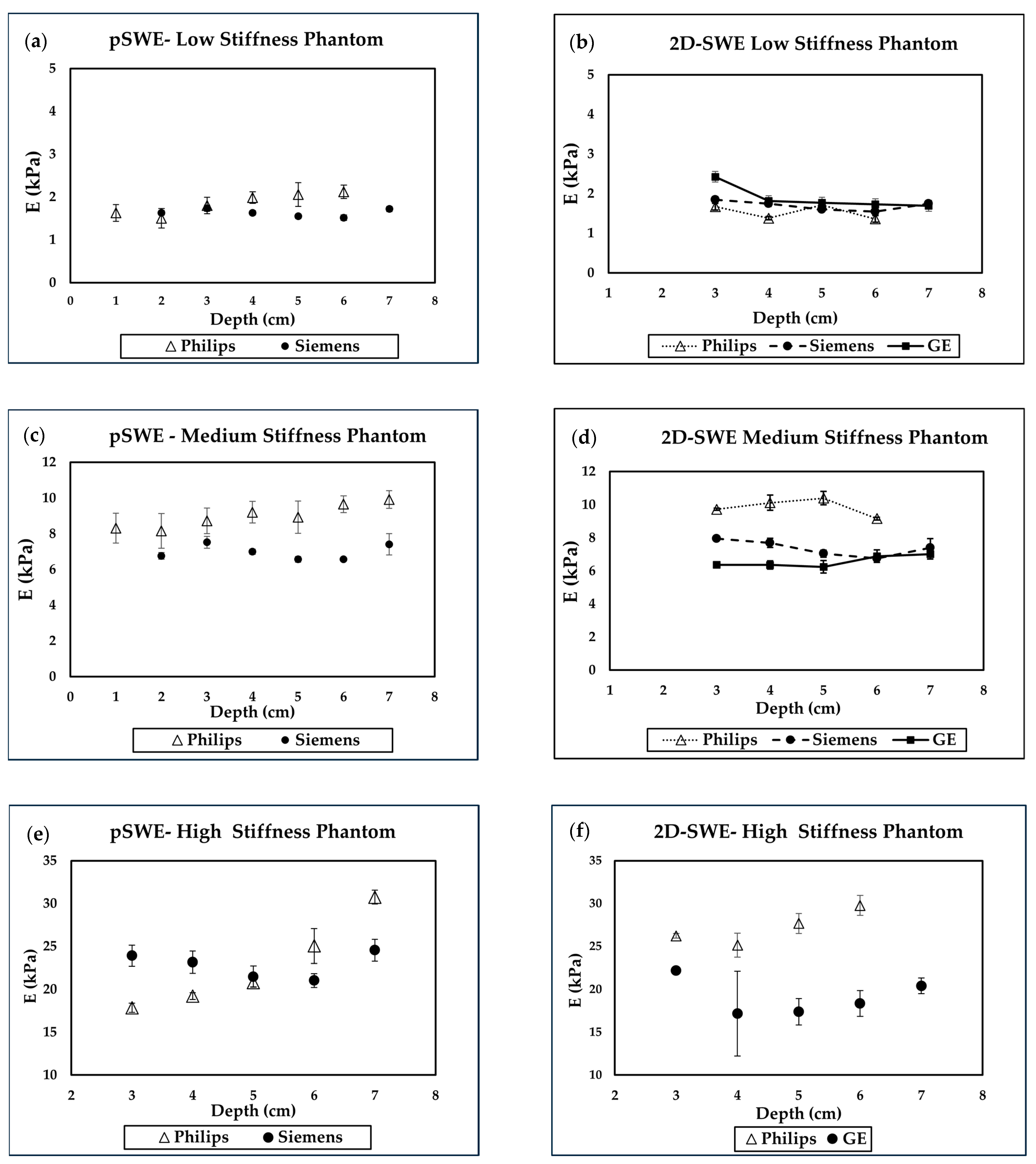
3. Results
4. Discussion
5. Conclusions
Author Contributions
Funding
Institutional Review Board Statement
Informed Consent Statement
Data Availability Statement
Conflicts of Interest
References
- Bamber, J.; Cosgrove, D.; Dietrich, C.F.; Fromageau, J.; Bojunga, J.; Calliada, F.; Cantisani, V.; Correas, J.M.; D’Onofrio, M.; Drakonaki, E.E.; et al. EFSUMB guidelines and recommendations on the clinical use of ultrasound elastography. Part 1: Basic principles and technology. Ultraschall Med. 2013, 34, 169–184. [Google Scholar] [CrossRef] [PubMed]
- Cosgrove, D.; Piscaglia, F.; Bamber, J.; Bojunga, J.; Correas, J.M.; Gilja, O.H.; Klauser, A.S.; Sporea, I.; Calliada, F.; Cantisani, V.; et al. EFSUMB guidelines and recommendations on the clinical use of ultrasound elastography. Part 2: Clinical applications. Ultraschall Med. 2013, 34, 238–253. [Google Scholar] [PubMed]
- Dietrich, C.F.; Bamber, J.; Berzigotti, A.; Bota, S.; Cantisani, V.; Castera, L.; Cosgrove, D.; Ferraioli, G.; Friedrich-Rust, M.; Gilja, O.H.; et al. EFSUMB Guidelines and Recommendations on the Clinical Use of Liver Ultrasound Elastography, Update 2017 (Long Version). Ultraschall Med. 2017, 38, e16–e47. [Google Scholar] [PubMed]
- Barr, R.G.; Nakashima, K.; Amy, D.; Cosgrove, D.; Farrokh, A.; Schafer, F.; Bamber, J.C.; Castera, L.; Choi, B.I.; Chou, Y.H.; et al. WFUMB guidelines and recommendations for clinical use of ultrasound elastography: Part 2: Breast. Ultrasound Med. Biol. 2015, 41, 1148–1160. [Google Scholar] [CrossRef] [PubMed]
- Ophir, J.; Cespedes, I.; Ponnekanti, H.; Yazdi, Y.; Li, X. Elastography: A quantitative method for imaging the elasticity of biological tissues. Ultrason. Imaging 1991, 13, 111–134. [Google Scholar] [CrossRef] [PubMed]
- Itoh, A.; Ueno, E.; Tohno, E.; Kamma, H.; Takahashi, H.; Shiina, T.; Yamakawa, M.; Matsumura, T. Breast disease: Clinical application of US elastography for diagnosis. Radiology 2006, 239, 341–350. [Google Scholar] [CrossRef] [PubMed]
- Nightingale, K.; Soo, M.S.; Nightingale, R.; Trahey, G. Acoustic radiation force impulse imaging: In vivo demonstration of clinical feasibility. Ultrasound Med. Biol. 2002, 28, 227–235. [Google Scholar] [CrossRef] [PubMed]
- Parker, K.J.; Huang, S.R.; Musulin, R.A.; Lerner, R.M. Tissue response to mechanical vibrations for “sonoelasticity imaging”. Ultrasound Med. Biol. 1990, 16, 241–246. [Google Scholar] [CrossRef] [PubMed]
- Sandrin, L.; Fourquet, B.; Hasquenoph, J.M.; Yon, S.; Fournier, C.; Mal, F.; Christidis, C.; Ziol, M.; Poulet, B.; Kazemi, F.; et al. Transient elastography: A new noninvasive method for assessment of hepatic fibrosis. Ultrasound Med. Biol. 2003, 29, 1705–1713. [Google Scholar] [CrossRef]
- Sarvazyan, A.P.; Rudenko, O.V.; Swanson, S.D.; Fowlkes, J.B.; Emelianov, S.Y. Shear wave elasticity imaging: A new ultrasonic technology of medical diagnostics. Ultrasound Med. Biol. 1998, 24, 1419–1435. [Google Scholar] [CrossRef]
- Nightingale, K.; McAleavey, S.; Trahey, G. Shear-wave generation using acoustic radiation force: In vivo and ex vivo results. Ultrasound Med. Biol. 2003, 29, 1715–1723. [Google Scholar] [CrossRef] [PubMed]
- Bercoff, J.; Tanter, M.; Fink, M. Supersonic shear imaging: A new technique for soft tissue elasticity mapping. IEEE Trans. Ultrason. Ferroelectr. Freq. Control 2004, 51, 396–409. [Google Scholar] [CrossRef] [PubMed]
- Song, P.; Zhao, H.; Manduca, A.; Urban, M.W.; Greenleaf, J.F.; Chen, S. Comb-push ultrasound shear elastography (CUSE): A novel method for two-dimensional shear elasticity imaging of soft tissues. IEEE Trans. Med. Imaging 2012, 31, 1821–1832. [Google Scholar] [CrossRef] [PubMed]
- Nitta, N.; Yamakawa, M.; Hachiya, H.; Shiina, T. A review of physical and engineering factors potentially affecting shear wave elastography. J Med. Ultrason. 2021, 48, 403–414. [Google Scholar] [CrossRef] [PubMed]
- Muller, M.; Gennisson, J.L.; Deffieux, T.; Tanter, M.; Fink, M. Quantitative viscoelasticity mapping of human liver using supersonic shear imaging: Preliminary in vivo feasibility study. Ultrasound Med. Biol. 2009, 35, 219–229. [Google Scholar] [CrossRef] [PubMed]
- Chen, S.; Sanchez, W.; Callstrom, M.R.; Gorman, B.; Lewis, J.T.; Sanderson, S.O.; Greenleaf, J.F.; Xie, H.; Shi, Y.; Pashley, M.; et al. Assessment of liver viscoelasticity by using shear waves induced by ultrasound radiation force. Radiology 2013, 266, 964–970. [Google Scholar] [CrossRef] [PubMed]
- Rouze, N.C.; Palmeri, M.L.; Nightingale, K.R. An analytic, Fourier domain description of shear wave propagation in a viscoelastic medium using asymmetric Gaussian sources. J. Acoust. Soc. Am. 2015, 138, 1012–1022. [Google Scholar] [CrossRef] [PubMed]
- Gennisson, J.L.; Renier, M.; Catheline, S.; Barriere, C.; Bercoff, J.; Tanter, M.; Fink, M. Acoustoelasticity in soft solids: Assessment of the nonlinear shear modulus with the acoustic radiation force. J. Acoust. Soc. Am. 2007, 122, 3211–3219. [Google Scholar] [CrossRef]
- Eby, S.F.; Song, P.; Chen, S.; Chen, Q.; Greenleaf, J.F.; An, K.N. Validation of shear wave elastography in skeletal muscle. J. Biomech. 2013, 46, 2381–2387. [Google Scholar] [CrossRef]
- Gennisson, J.L.; Grenier, N.; Combe, C.; Tanter, M. Supersonic shear wave elastography of in vivo pig kidney: Influence of blood pressure, urinary pressure and tissue anisotropy. Ultrasound Med. Biol. 2012, 38, 1559–1567. [Google Scholar] [CrossRef]
- Lee, W.N.; Pernot, M.; Couade, M.; Messas, E.; Bruneval, P.; Bel, A.; Hagege, A.A.; Fink, M.; Tanter, M. Mapping myocardial fiber orientation using echocardiography-based shear wave imaging. IEEE Trans. Med. Imaging 2012, 31, 554–562. [Google Scholar] [PubMed]
- Zhang, Y.; Li, G.-Y.; Zhou, J.; Zheng, Y.; Jiang, Y.-X.; Liu, Y.-L.; Zhang, L.L.; Qian, L.X.; Cao, Y. Size effect in shear wave elastography of small solid tumors—A phantom study. Extrem. Mech. Lett. 2020, 35, 100636. [Google Scholar] [CrossRef]
- Ito, D.; Oguri, T.; Kamiyama, N.; Hirata, S.; Yoshida, K.; Yamaguchi, T. Verification of the influence of liver microstructure on the evaluation of shear wave velocity. Jpn. J. Appl. Phys. 2021, 60, SDDE11. [Google Scholar] [CrossRef]
- Rouze, N.C.; Wang, M.H.; Palmeri, M.L.; Nightingale, K.R. Robust estimation of time-of-flight shear wave speed using a radon sum transformation. IEEE Trans. Ultrason. Ferroelectr. Freq. Control 2010, 57, 2662–2670. [Google Scholar] [CrossRef] [PubMed]
- Rouze, N.C.; Wang, M.H.; Palmeri, M.L.; Nightingale, K.R. Parameters affecting the resolution and accuracy of 2-D quantitative shear wave images. IEEE Trans. Ultrason. Ferroelectr. Freq. Control 2012, 59, 1729–1740. [Google Scholar] [CrossRef] [PubMed]
- Deng, Y.; Rouze, N.C.; Palmeri, M.L.; Nightingale, K.R. On System-Dependent Sources of Uncertainty and Bias in Ultrasonic Quantitative Shear-Wave Imaging. IEEE Trans. Ultrason. Ferroelectr. Freq. Control 2016, 63, 381–393. [Google Scholar] [CrossRef] [PubMed]
- Gilligan, L.A.; Trout, A.T.; Bennett, P.; Dillman, J.R. Repeatability and Agreement of Shear Wave Speed Measurements in Phantoms and Human Livers Across 6 Ultrasound 2-Dimensional Shear Wave Elastography Systems. Investig. Radiol. 2020, 55, 191–199. [Google Scholar] [CrossRef]
- Palmeri, M.L.; Milkowski, A.; Barr, R.; Carson, P.; Couade, M.; Chen, J.; Chen, S.; Dhyani, M.; Ehman, R.; Garra, B.; et al. Radiological Society of North America/Quantitative Imaging Biomarker Alliance Shear Wave Speed Bias Quantification in Elastic and Viscoelastic Phantoms. J. Ultrasound Med. 2021, 40, 569–581. [Google Scholar] [CrossRef] [PubMed]
- Kishimoto, R.; Suga, M.; Usumura, M.; Iijima, H.; Yoshida, M.; Hachiya, H.; Shiina, T.; Yamakawa, M.; Konno, K.; Obata, T.; et al. Shear wave speed measurement bias in a viscoelastic phantom across six ultrasound elastography systems: A comparative study with transient elastography and magnetic resonance elastography. J Med. Ultrason. 2022, 49, 143–152. [Google Scholar] [CrossRef]
- Zhao, H.; Song, P.; Urban, M.W.; Kinnick, R.R.; Yin, M.; Greenleaf, J.F.; Chen, S. Bias observed in time-of-flight shear wave speed measurements using radiation force of a focused ultrasound beam. Ultrasound Med. Biol. 2011, 37, 1884–1892. [Google Scholar] [CrossRef]
- Long, Z.; Tradup, D.J.; Song, P.; Stekel, S.F.; Chen, S.; Glazebrook, K.N.; Hangiandreou, N.J. Clinical acceptance testing and scanner comparison of ultrasound shear wave elastography. J. Appl. Clin. Med. Phys. 2018, 19, 336–342. [Google Scholar] [CrossRef] [PubMed]
- Shin, H.J.; Kim, M.J.; Kim, H.Y.; Roh, Y.H.; Lee, M.J. Comparison of shear wave velocities on ultrasound elastography between different machines, transducers, and acquisition depths: A phantom study. Eur. Radiol. 2016, 26, 3361–3367. [Google Scholar] [CrossRef] [PubMed]
- Dillman, J.R.; Chen, S.; Davenport, M.S.; Zhao, H.; Urban, M.W.; Song, P.; Watcharotone, K.; Carson, P.L. Superficial ultrasound shear wave speed measurements in soft and hard elasticity phantoms: Repeatability and reproducibility using two ultrasound systems. Pediatr. Radiol. 2015, 45, 376–385. [Google Scholar] [CrossRef] [PubMed]
- Imajo, K.; Honda, Y.; Kobayashi, T.; Nagai, K.; Ozaki, A.; Iwaki, M.; Kessoku, T.; Ogawa, Y.; Takahashi, H.; Saigusa, Y.; et al. Direct Comparison of US and MR Elastography for Staging Liver Fibrosis in Patients With Nonalcoholic Fatty Liver Disease. Clin. Gastroenterol. Hepatol. 2022, 20, 908–917.e11. [Google Scholar] [CrossRef]
- Furlan, A.; Tublin, M.E.; Yu, L.; Chopra, K.B.; Lippello, A.; Behari, J. Comparison of 2D Shear Wave Elastography, Transient Elastography, and MR Elastography for the Diagnosis of Fibrosis in Patients With Nonalcoholic Fatty Liver Disease. AJR Am. J. Roentgenol. 2020, 214, W20–W26. [Google Scholar] [CrossRef]
- Yoo, H.W.; Kim, S.G.; Jang, J.Y.; Yoo, J.J.; Jeong, S.W.; Kim, Y.S.; Kim, B.S. Two-dimensional shear wave elastography for assessing liver fibrosis in patients with chronic liver disease: A prospective cohort study. Korean J. Intern. Med. 2022, 37, 285–293. [Google Scholar] [CrossRef]
- Guibal, A.; Renosi, G.; Rode, A.; Scoazec, J.Y.; Guillaud, O.; Chardon, L.; Munteanu, M.; Dumortier, J.; Collin, F.; Lefort, T. Shear wave elastography: An accurate technique to stage liver fibrosis in chronic liver diseases. Diagn. Interv. Imaging 2016, 97, 91–99. [Google Scholar] [CrossRef]
- Quantitative Imaging Biomarkers Alliance. Ultrasound SWS Biomarker Committee, Updated 25 April 2022. Available online: http://qibawiki.rsna.org/index.php?title=Ultrasound_SWS_tech_ctte (accessed on 29 July 2024).
- Cournane, S.; Fagan, A.J.; Browne, J.E. Review of ultrasound elastography quality control and training test phantoms. Ultrasound 2012, 20, 16–23. [Google Scholar] [CrossRef]
- Ferraioli, G.; Wong, V.W.; Castera, L.; Berzigotti, A.; Sporea, I.; Dietrich, C.F.; Choi, B.I.; Wilson, S.R.; Kudo, M.; Barr, R.G. Liver Ultrasound Elastography: An Update to the World Federation for Ultrasound in Medicine and Biology Guidelines and Recommendations. Ultrasound Med. Biol. 2018, 44, 2419–2440. [Google Scholar] [CrossRef]
- Sultan, S.R.; Alghamdi, A.; Abdeen, R.; Almutairi, F. Evaluation of ultrasound point shear wave elastography reliability in an elasticity phantom. Ultrasonography 2022, 41, 291–297. [Google Scholar] [CrossRef]
- Mulabecirovic, A.; Mjelle, A.B.; Gilja, O.H.; Vesterhus, M.; Havre, R.F. Repeatability of shear wave elastography in liver fibrosis phantoms-Evaluation of five different systems. PLoS ONE 2018, 13, e0189671. [Google Scholar] [CrossRef] [PubMed]
- Yin, M.; Ehman, R.L. MR Elastography: Practical Questions, From the AJR Special Series on Imaging of Fibrosis. AJR Am. J. Roentgenol. 2024, 222, e2329437. [Google Scholar] [CrossRef] [PubMed]
- Kim, D.; Kim, W.R.; Talwalkar, J.A.; Kim, H.J.; Ehman, R.L. Advanced Fibrosis in Nonalcoholic Fatty Liver Disease: Noninvasive Assessment with MR Elastography. Radiology 2013, 268, 411–419. [Google Scholar] [CrossRef] [PubMed]
- Sigrist, R.M.S.; El Kaffas, A.; Jeffrey, R.B.; Rosenberg, J.; Willmann, J.K. Intra-Individual Comparison between 2-D Shear Wave Elastography (GE System) and Virtual Touch Tissue Quantification (Siemens System) in Grading Liver Fibrosis. Ultrasound Med. Biol. 2017, 43, 2774–2782. [Google Scholar] [CrossRef]
- ACR–AAPM–SIIM; Technical Standard for Electronic Practice of Medical Imaging. The American Association of Physicists in Medicine AAPM: Alexandria, VA, USA, 2022.
- Hangiandreou, N.J.; Stekel, S.F.; Tradup, D.J.; Gorny, K.R.; King, D.M. Four-year experience with a clinical ultrasound quality control program. Ultrasound Med. Biol. 2011, 37, 1350–1357. [Google Scholar] [CrossRef]
- ACR–AAPM; Technical Standard for Diagnostic Medical Physics Performance Monitoring of Real Time Ultrasound Equipment. The American Association of Physicists in Medicine AAPM: Alexandria, VA, USA, 2021. Available online: https://www.aapm.org/pubs/ACRAAPMCollaboration.asp (accessed on 29 July 2024).





| Equipment (Model) | Software Version | Probe | Acquisition | Anthropomorphic Abdominal Phantom | Shear Wave Liver Phantoms |
|---|---|---|---|---|---|
| GE (Logiq E10) | R3 | C1-6 | 2D shear wave | x | x |
| Philips (Epic 5G) | 9.0 | C5-1 | Point and 2D shear wave | x | x |
| Siemens (Sequoia) | VA40A | 5C1 | Point and 2D shear wave | x | x |
| Philips 1.5 T (Ingenia MRE) | 5.1.7.3 | x |
| Image Modality | Young’s Modulus (kPa) | Shear Modulus (kPa) | Scaling Factor |
|---|---|---|---|
| MRE | |||
| Philips Insignia 1.5 T | 4.54 ± 0.01 | ||
| Ultrasound | |||
| Philips Epic 5G | |||
| pSWE | 18.43 ± 0.31 | 4.06 | |
| 2D-SWE | 15.35 ± 0.33 | 3.38 | |
| Siemens (Sequoia) | |||
| pSWE | 13.61 ± 0.61 | 3 | |
| 2D-SWE | 13.58 ± 0.62 | 3 | |
| GE (Logiq E10) | |||
| 2D-SWE | 11.90 ± 1.53 | 2.62 |
| Equipment | Left (kPa) | Center (kPa) | Right (kPa) | Mean (kPa) | %Deviation (Mean-Center)/Center |
|---|---|---|---|---|---|
| GE | 14.5 | 13.3 | 14.3 | 14.1 | 4% |
| Philips | 16.6 | 14.7 | 18.5 | 16.6 | 13% |
| Siemens | 13.5 | 14.1 | 12.8 | 13.5 | 4% |
Disclaimer/Publisher’s Note: The statements, opinions and data contained in all publications are solely those of the individual author(s) and contributor(s) and not of MDPI and/or the editor(s). MDPI and/or the editor(s) disclaim responsibility for any injury to people or property resulting from any ideas, methods, instructions or products referred to in the content. |
© 2024 by the authors. Licensee MDPI, Basel, Switzerland. This article is an open access article distributed under the terms and conditions of the Creative Commons Attribution (CC BY) license (https://creativecommons.org/licenses/by/4.0/).
Share and Cite
Gallet, J.; Sassaroli, E.; Yuan, Q.; Aljabal, A.; Park, M.-A. Quality Assurance of Point and 2D Shear Wave Elastography through the Establishment of Baseline Data Using Phantoms. Sensors 2024, 24, 4961. https://doi.org/10.3390/s24154961
Gallet J, Sassaroli E, Yuan Q, Aljabal A, Park M-A. Quality Assurance of Point and 2D Shear Wave Elastography through the Establishment of Baseline Data Using Phantoms. Sensors. 2024; 24(15):4961. https://doi.org/10.3390/s24154961
Chicago/Turabian StyleGallet, Jacqueline, Elisabetta Sassaroli, Qing Yuan, Areej Aljabal, and Mi-Ae Park. 2024. "Quality Assurance of Point and 2D Shear Wave Elastography through the Establishment of Baseline Data Using Phantoms" Sensors 24, no. 15: 4961. https://doi.org/10.3390/s24154961
APA StyleGallet, J., Sassaroli, E., Yuan, Q., Aljabal, A., & Park, M.-A. (2024). Quality Assurance of Point and 2D Shear Wave Elastography through the Establishment of Baseline Data Using Phantoms. Sensors, 24(15), 4961. https://doi.org/10.3390/s24154961

