Cooperative Communication Based Protocols for Underwater Wireless Sensors Networks: A Review
Abstract
1. Introduction
1.1. Motivation and Contribution
- The signal combining techniques based on network nodes cooperation to mitigate the channel impairments;
- The ARQ protocols and medium access control (MAC) strategies recast in the context of cooperative UWSNs and employed for error control and channel resources management;
- The clustering and routing protocols tailored to cooperative UWSNs and aimed to traffic optimization and energy saving.
1.2. Paper Organization and Terminology
2. Physical Layer Cooperative Mechanisms
3. Link Layer Protocols
| Authors | Year | Protocol/Strategy Type |
|---|---|---|
| Lee et al. [29] | 2010 | Cooperative SW-ARQ (relay location aware) |
| Kim et al. [30] | 2016 | Cooperative SW-ARQ (relay location aware) |
| Kim et al. [31] | 2018 | Cooperative SW-ARQ (relay location aware) |
| Jamshidi [32] | 2019 | Cooperative SW-ARQ (relay location unaware) |
| Gao and Jiang [33] | 2012 | Cooperative JSW-ARQ |
| Ghosh et al. [34] | 2013 | Cooperative HARQ |
| Goutham and Harigovindan [35] | 2021 | Adaptive Cooperative HARQ |
| Goutham and Harigovindan [36] | 2023 | Cooperative HARQ |
| Chen et al. [37] | 2019 | Multi-hop DCC |
| Khan et al. [38] | 2019 | AF-based TDMA |
| Cerqueira et al. [39] | 2018 | Cooperative SR-ARQ-based TDMA |
| Rahmati et al. [40] | 2019 | Cooperative HARQ-based CDMA |
| Goutham and Harigovindan [41] | 2021 | DF-based NOMA |
| Yun [42] | 2022 | Cooperative-Cognitive channel resource management |
4. Network Layer Protocols
5. Numerical Results
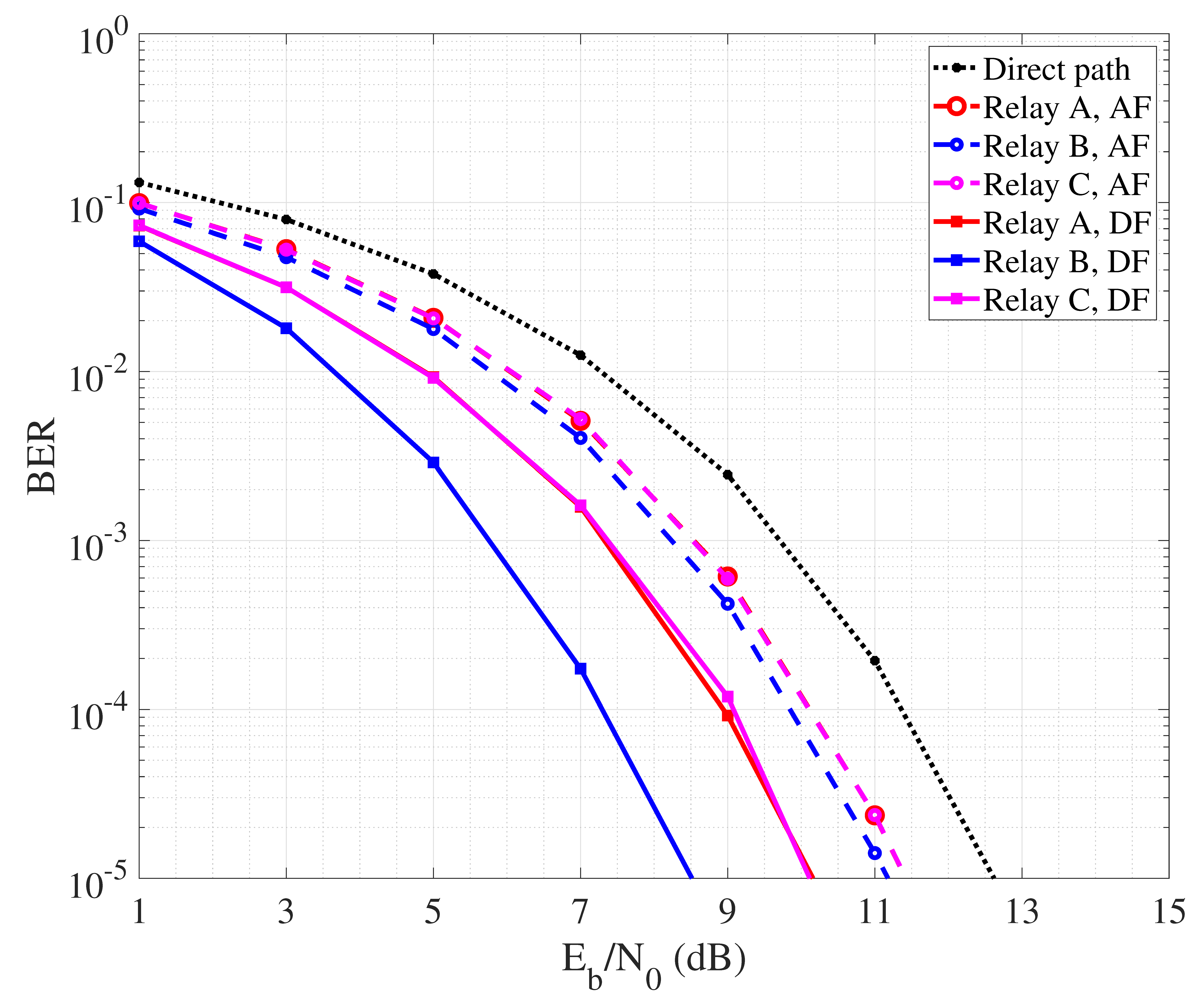
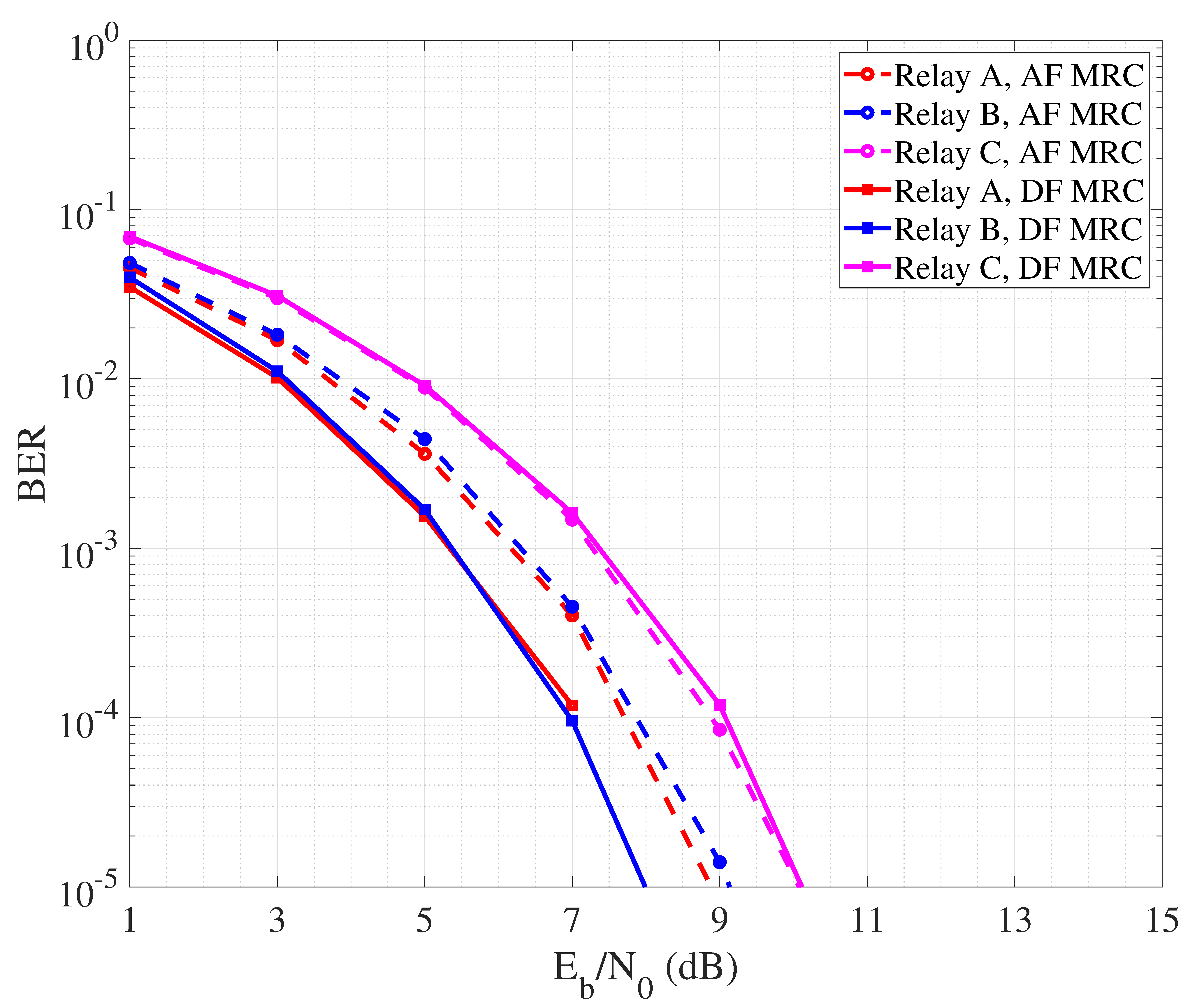
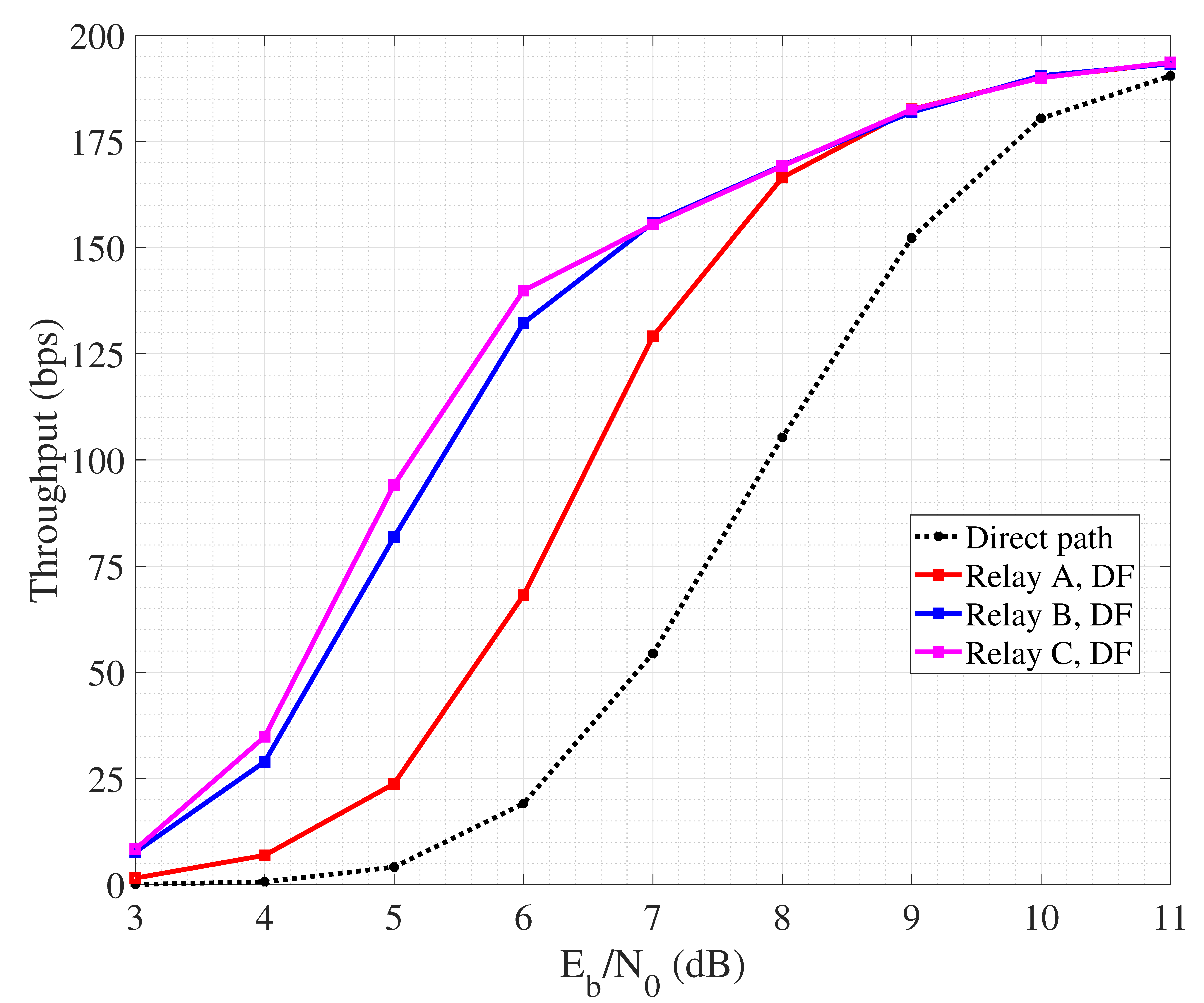
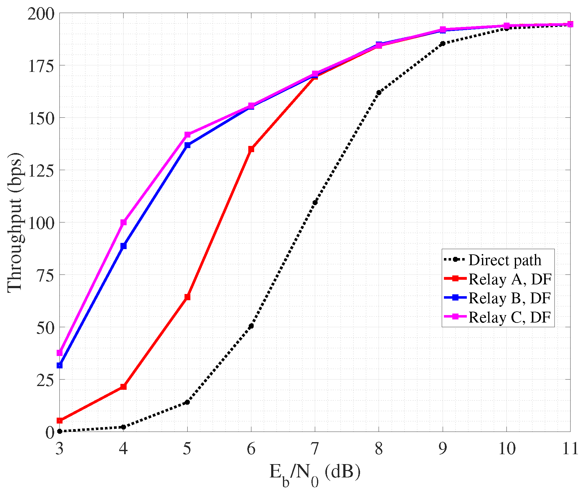
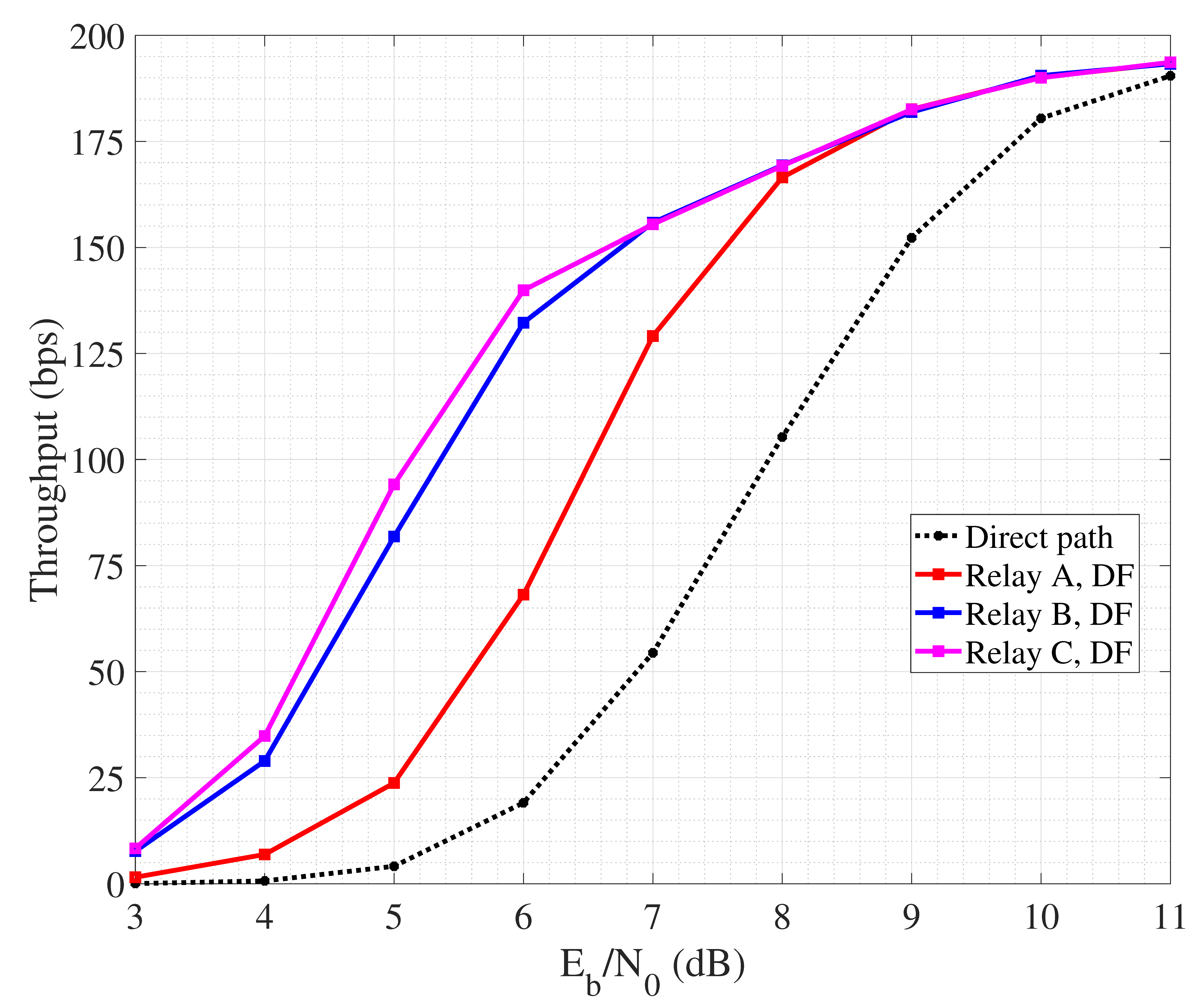
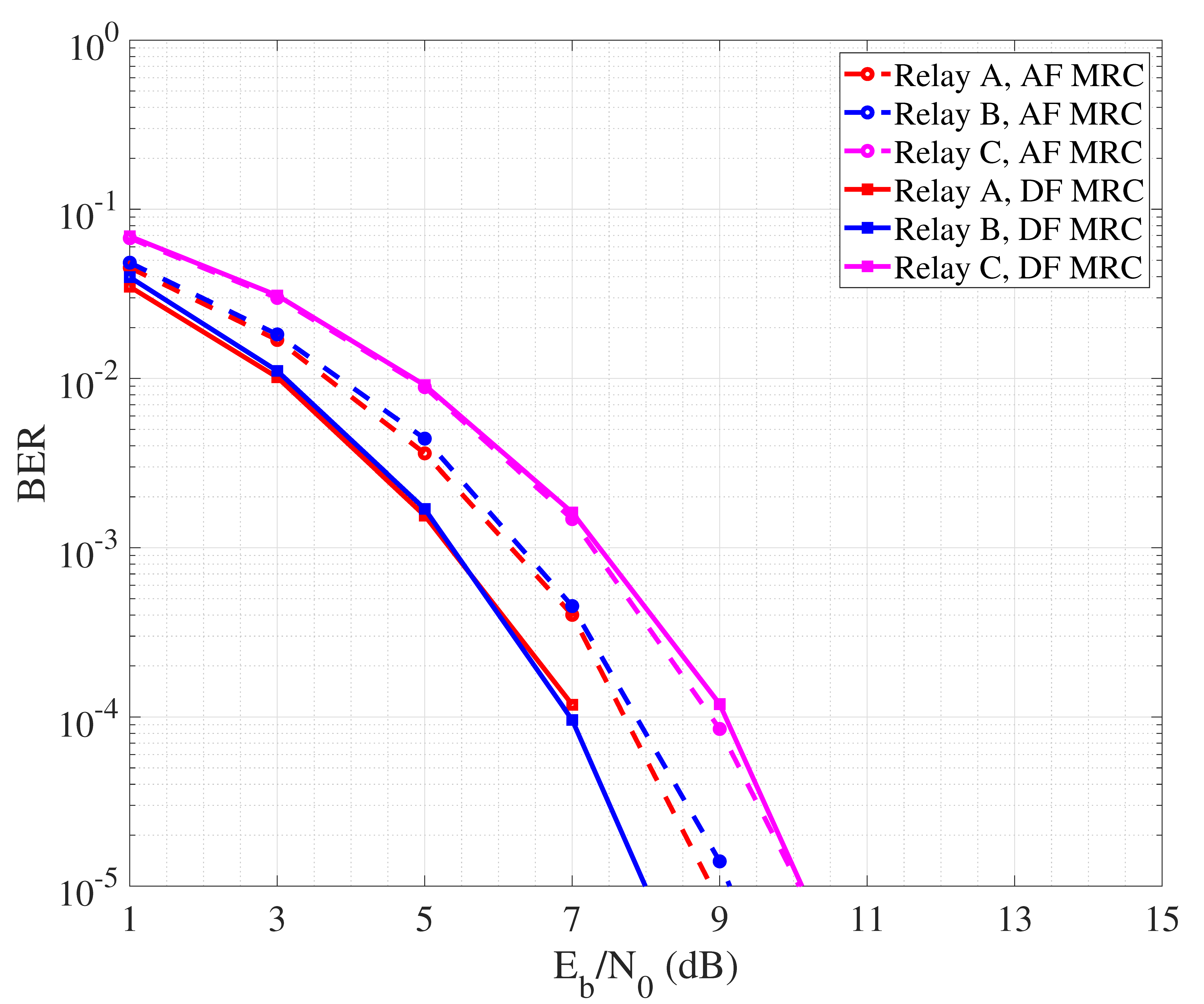
5.1. Physical Layer Cooperative Communication Performance
- Case A: relay located 100 m from the source and 200 m from the destination;
- Case B: relay located at half way, that is 150 m from the source and 150 m from the destination;
- Case C: relay located 200 m from the source and 100 m from the destination.
5.2. Link Layer Cooperative ARQ Performance
5.3. Network Layer Routing Performance
6. Challenges and Future Trends in Cooperative UWSNs
6.1. Designing Cooperative UWSNs for Real-World Applications
6.2. The Role of Machine Learning in Future Cooperative UWSNs Management
7. Conclusions
Author Contributions
Funding
Acknowledgments
Conflicts of Interest
Abbreviations
| AF | Amplify and Forward |
| AUVs | Autonomous Underwater Vehicle |
| ARQ | Automatic Repeat Request |
| BER | Bit Error Rate |
| BPSK | Binary Phase Shift Keying |
| CDMA | Code Division Multiple Access |
| COPPER | COoperative Protocol for PERvasive |
| CSI | Channel State Information |
| DCC | Dynamic Coding Cooperation |
| DF | Decode and Forward |
| DIF | Decode Interleave Forward |
| FEC | Forward Error Correction |
| GBm-ARQ | Go-Back-m ARQ |
| HARQ | Hybrid Automatic Repeat Request |
| ISI | Intersymbol Interference |
| JSW-ARQ | Juggling Stop and Wait ARQ |
| MAC | Medium Access Control |
| MRC | Maximum Ratio Combining |
| NOMA | Non-Orthogonal Multiple Access |
| OFDM | Orthogonal Frequency Division Multiplexing |
| RF | Radiofrequency |
| ROV | Remotely Operated Vehicle |
| SIC | Successive Interference Cancellation |
| SNR | Signal-to-Noise Ratio |
| SR-ARQ | Selective Repeat ARQ |
| STCBC | Space–Time Cooperative Block Coding |
| SW-ARQ | Stop and Wait ARQ |
| TDMA | Time Division Multiple Access |
| UWAC | Underwater Acoustic Communication |
| UWSN | Underwater Wireless Sensor Network |
References
- Jouhari, M.; Ibrahimi, K.; Tembine, H.; Ben-Othman, J. Underwater Wireless Sensor Networks: A Survey on Enabling Technologies, Localization Protocols, and Internet of Underwater Things. IEEE Access 2019, 7, 96879–96899. [Google Scholar] [CrossRef]
- Zhang, C.; Liu, Y.; Shang, D.; Khan, I.U. A method for predicting radiated acoustic field in shallow sea based on wave superposition and ray. Appl. Sci. 2020, 10, 917. [Google Scholar] [CrossRef]
- Li, Y.; Wang, S.; Jin, C.; Zhang, Y.; Jiang, T. A Survey of Underwater Magnetic Induction Communications: Fundamental Issues, Recent Advances, and Challenges. IEEE Commun. Surv. Tutor. 2019, 21, 2466–2487. [Google Scholar] [CrossRef]
- Guo, Y.; Kong, M.; Alkhazragi, O.; Sait, M.A.; Kang, C.H.; Ashry, I.; Yang, Q.; Ng, T.K.; Ooi, B.S. Current Trend in Optical Internet of Underwater Things. IEEE Photonics J. 2022, 14, 7350414. [Google Scholar] [CrossRef]
- Qarabaqi, P.; Stojanovic, M. Statistical Characterization and Computationally Efficient Modeling of a Class of Underwater Acoustic Communication Channels. IEEE J. Ocean. Eng. 2013, 38, 701–717. [Google Scholar] [CrossRef]
- Xie, K.; Wang, X.; Wen, J.; Cao, J. Cooperative Routing with Relay Assignment in Multiradio Multihop Wireless Networks. IEEE/ACM Trans. Netw. 2016, 24, 859–872. [Google Scholar] [CrossRef]
- Sana, M.S.; Khan, M.Y.A.; Saleem, N.; Khan, I.U.; Ahmed, A.W. Improved cooperation in underwater wireless sensor networks. Mehran Univ. Res. J. Eng. Technol. 2019, 38, 1009–1020. [Google Scholar] [CrossRef]
- Muhammed, D.; Anisi, M.H.; Zareei, M.; Vargas-Rosales, C.; Khan, A. Game Theory-Based Cooperation for Underwater Acoustic Sensor Networks: Taxonomy, Review, Research Challenges and Directions. Sensors 2018, 18, 425. [Google Scholar] [CrossRef] [PubMed]
- Rawat, M.; Lall, B.; Srirangarajan, S. Statistical Modeling and Performance Analysis of Cooperative Communication in Frequency-Selective Underwater Acoustic Channel Using Vector Sensor. IEEE Sens. J. 2021, 21, 7367–7379. [Google Scholar] [CrossRef]
- Ma, R.; Wang, R.; Liu, G.; Meng, W.; Liu, X. UAV-Aided Cooperative Data Collection Scheme for Ocean Monitoring Networks. IEEE Internet Things J. 2021, 8, 13222–13236. [Google Scholar] [CrossRef]
- Babić, A.; Lončar, I.; Arbanas, B.; Vasiljević, G.; Petrović, T.; Bogdan, S.; Mišković, N. A Novel Paradigm for Underwater Monitoring Using Mobile Sensor Networks. Sensors 2020, 20, 4615. [Google Scholar] [CrossRef] [PubMed]
- Zhang, L.; Tang, C.; Chen, P.; Zhang, Y. Gaussian Parameterized Information Aided Distributed Cooperative Underwater Positioning Algorithm. IEEE Access 2020, 8, 64634–64645. [Google Scholar] [CrossRef]
- Li, Y.; Wang, Y.; Yu, W.; Guan, X. Multiple Autonomous Underwater Vehicle Cooperative Localization in Anchor-Free Environments. IEEE J. Ocean. Eng. 2019, 44, 895–911. [Google Scholar] [CrossRef]
- Diamant, R.; Casari, P.; Tomasin, S. Cooperative Authentication in Underwater Acoustic Sensor Networks. IEEE Trans. Wirel. Commun. 2019, 18, 954–968. [Google Scholar] [CrossRef]
- Su, Y.; Li, L.; Fan, R.; Liu, Y.; Jin, Z. A Secure Transmission Scheme with Energy-Efficient Cooperative Jamming for Underwater Acoustic Sensor Networks. IEEE Sens. J. 2022, 22, 21287–21298. [Google Scholar] [CrossRef]
- Han, Z.; Sun, Y.L.; Shi, H. Cooperative transmission for underwater acoustic communications. In Proceedings of the IEEE International Conference on Communications, Beijing, China, 19–23 May 2008; pp. 2028–2032. [Google Scholar] [CrossRef]
- Vajapeyam, M.; Vedantam, S.; Mitra, U.; Preisig, J.C.; Stojanovic, M. Distributed Space–Time Cooperative Schemes for Underwater Acoustic Communications. IEEE J. Ocean. Eng. 2008, 33, 489–501. [Google Scholar] [CrossRef]
- Doosti-Aref, A.; Ebrahimzadeh, A. Adaptive Relay Selection and Power Allocation for OFDM Cooperative Underwater Acoustic Systems. IEEE Trans. Mob. Comput. 2018, 17, 1–15. [Google Scholar] [CrossRef]
- Nouri, H.; Uysal, M.; Panayirci, E. Information theoretical performance analysis and optimisation of cooperative underwater acoustic communication systems. IET Commun. 2016, 10, 812–823. [Google Scholar] [CrossRef]
- Huang, X.; Liu, Y. Capacity criterion-based power allocation for OFDM cooperative underwater acoustic communications with limited feedback. In Proceedings of the 2012 Oceans, Hampton Roads, VA, USA, 14–19 October 2012; pp. 1–4. [Google Scholar] [CrossRef]
- Liu, Z.; Bai, F.; Song, L. Underwater Decode-Interleave-Forward Cooperative Strategy for Underwater Acoustic Communication. IEEE Access 2019, 7, 19698–19708. [Google Scholar] [CrossRef]
- Al-Dharrab, S.; Uysal, M.; Duman, T.M. Cooperative underwater acoustic communications. IEEE Commun. Mag. 2013, 51, 146–153. [Google Scholar] [CrossRef]
- Al-Dharrab, S.; Muqaibel, A.; Uysal, M. Performance of multicarrier cooperative communication systems over underwater acoustic channels. IET Commun. 2017, 11, 1941–1951. [Google Scholar] [CrossRef]
- Wang, P.; Feng, W.; Zhang, L.; Li, V.O.K. Asynchronous cooperative transmission in Underwater Acoustic Networks. In Proceedings of the 2011 IEEE Symposium on Underwater Technology and Workshop on Scientific Use of Submarine Cables and Related Technologies, Tokyo, Japan, 5–8 April 2011; pp. 1–8. [Google Scholar] [CrossRef]
- Liu, Z.Y.; Ding, B.Q.; Wu, B.Q.; Wang, Y.H. Adaptive combining multi-branch frequency-domain detector for underwater acoustic cooperative communication. In Proceedings of the 2015 12th International Computer Conference on Wavelet Active Media Technology and Information Processing (ICCWAMTIP), Chengdu, China, 18–20 December 2015; pp. 26–29. [Google Scholar] [CrossRef]
- Salim, A.; Duman, T.M. An asynchronous two-way relay system with full delay diversity in time-varying multipath environments. In Proceedings of the 2015 International Conference on Computing, Networking and Communications (ICNC), Anaheim, CA, USA, 16–19 February 2015; pp. 900–904. [Google Scholar] [CrossRef]
- Rahmati, M.; Duman, T.M. Achieving Delay Diversity in Asynchronous Underwater Acoustic (UWA) Cooperative Communication Systems. IEEE Trans. Wirel. Commun. 2014, 13, 1367–1379. [Google Scholar] [CrossRef]
- Petroni, A.; Ko, H.L.; Im, T.; Cho, Y.H.; Pergoloni, S.; Scarano, G.; Cusani, R.; Biagi, M. A Simple Frequency-Domain Negative Acknowledgment Feedback for Automatic Repeat on reQuest Underwater Acoustic Networks. IEEE J. Ocean. Eng. 2019, 44, 269–281. [Google Scholar] [CrossRef]
- Lee, J.W.; Cheon, J.Y.; Cho, H.S. A cooperative ARQ scheme in underwater acoustic sensor networks. In Proceedings of the OCEANS’10 IEEE Sydney, Sydney, Australia, 24–27 May 2010; pp. 1–5. [Google Scholar] [CrossRef]
- Kim, H.w.; Cho, H.S. A cooperative ARQ-based MAC protocol for underwater wireless sensor networks. In Proceedings of the 11th International Conference on Underwater Networks & Systems, New York, NY, USA, 24–26 October 2016. WUWNet ’16. [Google Scholar] [CrossRef]
- Kim, H.w.; Im, T.H.; Cho, H.S. UCMAC: A Cooperative MAC Protocol for Underwater Wireless Sensor Networks. Sensors 2018, 18, 1969. [Google Scholar] [CrossRef] [PubMed]
- Jamshidi, A. Efficient cooperative ARQ protocols based on relay selection in underwater acoustic communication sensor networks. Wirel. Netw. 2019, 25, 4815–4827. [Google Scholar] [CrossRef]
- Gao, M.; Jiang, H. A JSW-based cooperative transmission scheme for underwater acoustic networks. In Proceedings of the 7th International Conference on Underwater Networks & Systems, New York, NY, USA, 5–6 November 2012. WUWNet ’12. [Google Scholar] [CrossRef]
- Ghosh, A.; Lee, J.W.; Cho, H.S. Throughput and Energy Efficiency of a Cooperative Hybrid ARQ Protocol for Underwater Acoustic Sensor Networks. Sensors 2013, 13, 15385–15408. [Google Scholar] [CrossRef]
- Goutham, V.; Harigovindan, V.P. Modeling and Analysis of Hybrid ARQ Scheme for Incremental Cooperative Communication in Underwater Acoustic Sensor Networks. Iran. J. Sci. Technol. Trans. Electr. Eng. 2021, 45, 279–294. [Google Scholar] [CrossRef]
- Goutham, V.; Harigovindan, V. Energy efficient hybrid ARQ scheme for cooperative communication in underwater acoustic sensor networks. Int. J. Adv. Intell. Paradig. 2023, 26, 211–230. [Google Scholar] [CrossRef]
- Chen, Y.; Jin, X.; Wan, L.; Zhang, X.; Xu, X. Selective Dynamic Coded Cooperative Communications for Multi-Hop Underwater Acoustic Sensor Networks. IEEE Access 2019, 7, 70552–70563. [Google Scholar] [CrossRef]
- Khan, I.; Tan, C.; Baig, I. The Improved Amplify-and-Forward (IAF) Three Time Periods TDMA Fashioned Protocol with Inter-Relay Communication. Indian J. Sci. Technol. 2015, 8, 1–8. [Google Scholar] [CrossRef]
- Cerqueira, L.S.; Vieira, A.B.; Vieira, L.F.; Vieira, M.A.; Nacif, J.A. COPPER: Increasing underwater sensor network performance through nodes cooperation. In Proceedings of the 2018 IEEE Symposium on Computers and Communications (ISCC), Natal, Brazil, 25–28 June 2018; IEEE: Piscataway, NJ, USA, 2018; pp. 322–327. [Google Scholar]
- Rahmati, M.; Petroccia, R.; Pompili, D. In-Network Collaboration for CDMA-Based Reliable Underwater Acoustic Communications. IEEE J. Ocean. Eng. 2019, 44, 881–894. [Google Scholar] [CrossRef]
- Goutham, V.; Harigovindan, V.P. NOMA Based Cooperative Relaying Strategy for Underwater Acoustic Sensor Networks under Imperfect SIC and Imperfect CSI: A Comprehensive Analysis. IEEE Access 2021, 9, 32857–32872. [Google Scholar] [CrossRef]
- Yun, C. An Underwater Cooperative Spectrum Sharing Protocol for a Centralized Underwater Cognitive Acoustic Network. Sensors 2022, 22, 5754. [Google Scholar] [CrossRef] [PubMed]
- Yu, J.; Chen, H.; Xie, L.; Cui, J.H. Performance analysis of hybrid ARQ schemes in underwater acoustic networks. In Proceedings of the 2014 Oceans—St. John’s, St. John’s, NL, Canada, 14–19 September 2014; pp. 1–6. [Google Scholar] [CrossRef]
- Petroni, A.; Ko, H.L.; Im, T.H.; Cho, Y.H.; Cusani, R.; Scarano, G.; Biagi, M. On the Underwater Acoustic Channel Effects on Uplink Multiple Access Techniques. In Proceedings of the OCEANS 2021: San Diego—Porto, San Diego, CA, USA, 20–23 September 2021; pp. 1–6. [Google Scholar] [CrossRef]
- Kim, H.w.; Cho, H.S. SOUNET: Self-Organized Underwater Wireless Sensor Network. Sensors 2017, 17, 283. [Google Scholar] [CrossRef] [PubMed]
- Chen, L.; Hu, Y.; Sun, Y.; Liu, H.; Lv, B.; Chen, J. An underwater layered protocol based on cooperative communication for underwater sensor network. In Proceedings of the 2020 Chinese Control And Decision Conference (CCDC), Hefei, China, 22–24 August 2020; IEEE: Piscataway, NJ, USA, 2020; pp. 2014–2019. [Google Scholar]
- Yu, W.; Chen, Y.; Wan, L.; Zhang, X.; Zhu, P.; Xu, X. An Energy Optimization Clustering Scheme for Multi-Hop Underwater Acoustic Cooperative Sensor Networks. IEEE Access 2020, 8, 89171–89184. [Google Scholar] [CrossRef]
- Ahmed, S.; Javaid, N.; Khan, F.A.; Durrani, M.Y.; Ali, A.; Shaukat, A.; Sandhu, M.M.; Khan, Z.A.; Qasim, U. Co-UWSN: Cooperative energy-efficient protocol for underwater WSNs. Int. J. Distrib. Sens. Netw. 2015, 11, 891410. [Google Scholar] [CrossRef]
- Ahmad, I.; Rahman, T.; Zeb, A.; Khan, I.; Othman, M.T.B.; Hamam, H. Cooperative Energy-Efficient Routing Protocol for Underwater Wireless Sensor Networks. Sensors 2022, 22, 6945. [Google Scholar] [CrossRef]
- Tran-Dang, H.; Kim, D.S. Channel-aware cooperative routing in underwater acoustic sensor networks. J. Commun. Netw. 2019, 21, 33–44. [Google Scholar] [CrossRef]
- Tran-Dang, H.; Kim, D.S. Channel-Aware Energy-Efficient Two-Hop Cooperative Routing Protocol for Underwater Acoustic Sensor Networks. IEEE Access 2019, 7, 63181–63194. [Google Scholar] [CrossRef]
- Ali, M.; Khan, A.; Aurangzeb, K.; Ali, I.; Mahmood, H.; Haider, S.I.; Bhatti, N. CoSiM-RPO: Cooperative Routing with Sink Mobility for Reliable and Persistent Operation in Underwater Acoustic Wireless Sensor Networks. Sensors 2019, 19, 1101. [Google Scholar] [CrossRef]
- Shah, S.; Khan, A.; Ali, I.; Ko, K.M.; Mahmood, H. Localization Free Energy Efficient and Cooperative Routing Protocols for Underwater Wireless Sensor Networks. Symmetry 2018, 10, 498. [Google Scholar] [CrossRef]
- Khan, A.; Ali, I.; Rahman, A.U.; Imran, M.; Fazal-E-Amin; Mahmood, H. Co-EEORS: Cooperative Energy Efficient Optimal Relay Selection Protocol for Underwater Wireless Sensor Networks. IEEE Access 2018, 6, 28777–28789. [Google Scholar] [CrossRef]
- Yahya, A.; Islam, S.U.; Zahid, M.; Ahmed, G.; Raza, M.; Pervaiz, H.; Yang, F. Cooperative Routing for Energy Efficient Underwater Wireless Sensor Networks. IEEE Access 2019, 7, 141888–141899. [Google Scholar] [CrossRef]
- Javaid, N.; Muhammad; Sher, A.; Abdul, W.; Niaz, I.A.; Almogren, A.; Alamri, A. Cooperative Opportunistic Pressure Based Routing for Underwater Wireless Sensor Networks. Sensors 2017, 17, 629. [Google Scholar] [CrossRef] [PubMed]
- Karim, S.; Shaikh, F.K.; Chowdhry, B.S.; Mehmood, Z.; Tariq, U.; Naqvi, R.A.; Ahmed, A. GCORP: Geographic and Cooperative Opportunistic Routing Protocol for Underwater Sensor Networks. IEEE Access 2021, 9, 27650–27667. [Google Scholar] [CrossRef]
- Rahman, M.A.; Lee, Y.; Koo, I. EECOR: An Energy-Efficient Cooperative Opportunistic Routing Protocol for Underwater Acoustic Sensor Networks. IEEE Access 2017, 5, 14119–14132. [Google Scholar] [CrossRef]
- Chen, Y.; Tang, Y.; Fang, X.; Wan, L.; Tao, Y.; Xu, X. PB-ACR: Node Payload Balanced Ant Colony Optimal Cooperative Routing for Multi-Hop Underwater Acoustic Sensor Networks. IEEE Access 2021, 9, 57165–57178. [Google Scholar] [CrossRef]
- Petroni, A.; Ko, H.L.; Im, T.; Cho, Y.H.; Cusani, R.; Scarano, G.; Biagi, M. Hybrid Space-Frequency Access for Underwater Acoustic Networks. IEEE Access 2022, 10, 23885–23901. [Google Scholar] [CrossRef]
- Petroni, A.; Ko, H.L.; Im, T.H.; Cho, Y.H.; Cusani, R.; Scarano, G.; Biagi, M. Frequency Domain Signal Combining for Acoustic Modem Non-Linearities. In Proceedings of the OCEANS 2019—Marseille, Marseille, France, 17–20 June 2019; pp. 1–4. [Google Scholar] [CrossRef]
- Zhu, J.; Chen, Y.; Sun, X.; Wu, J.; Liu, Z.; Xu, X. ECRKQ: Machine Learning-Based Energy-Efficient Clustering and Cooperative Routing for Mobile Underwater Acoustic Sensor Networks. IEEE Access 2021, 9, 70843–70855. [Google Scholar] [CrossRef]
- Ahmad, I.; Narmeen, R.; Kaleem, Z.; Almadhor, A.; Alkhrijah, Y.; Ho, P.H.; Yuen, C. Machine Learning-Based Optimal Cooperating Node Selection for Internet of Underwater Things. IEEE Internet Things J. 2024, 11, 22471–22482. [Google Scholar] [CrossRef]
- Li, X.; Liu, J.; Yan, L.; Han, S.; Guan, X. Relay Selection in Underwater Acoustic Cooperative Networks: A Contextual Bandit Approach. IEEE Commun. Lett. 2017, 21, 382–385. [Google Scholar] [CrossRef]
- Zhao, H.; Li, X.; Han, S.; Yan, L.; Yu, J. Collaboration-Aware Relay Selection for AUV in Internet of Underwater Network: Evolving Contextual Bandit Learning Approach. IEEE Internet Things J. 2023, 10, 2430–2443. [Google Scholar] [CrossRef]
- Gou, Y.; Zhang, T.; Liu, J.; Yang, T.; Song, S.; Cui, J.H. Achieving Fair-Effective Communications and Robustness in Underwater Acoustic Sensor Networks: A Semi-Cooperative Approach. IEEE Trans. Mob. Comput. 2024, 23, 5722–5739. [Google Scholar] [CrossRef]
- Han, S.; Zhao, H.; Li, X.; Yu, J.; Liu, Z.; Yan, L.; Zhang, T. Joint Multiple Resources Allocation for Underwater Acoustic Cooperative Communication in Time-Varying IoUT Systems: A Double Closed-Loop Adversarial Bandit Approach. IEEE Internet Things J. 2024, 11, 2573–2587. [Google Scholar] [CrossRef]
- Han, S.; Li, L.; Li, X. Deep Q-Network-Based Cooperative Transmission Joint Strategy Optimization Algorithm for Energy Harvesting-Powered Underwater Acoustic Sensor Networks. Sensors 2020, 20, 6519. [Google Scholar] [CrossRef]









| Authors | Year | Protocol/Strategy Type |
|---|---|---|
| Han et al. [16] | 2008 | Cooperative AF (single-relay) |
| Vajapeyam et al. [17] | 2008 | Cooperative AF-STCBC (multi-relay) |
| Doosti-Aref et al. [18] | 2018 | Cooperative AF-based OFDM (multi-relay) |
| Nouri et al. [19] | 2016 | Cooperative DF (single-carrier) |
| Huang et al. [20] | 2012 | Cooperative DF (OFDM) |
| Liu et al. [21] | 2019 | Cooperative DIF (single-carrier) |
| Al-Dharrab [22] | 2013 | Cooperative AF and DF (OFDM) |
| Al-Dharrab [23] | 2017 | Cooperative AF and DF (OFDM) |
| Wang et al. [24] | 2011 | Cooperative hybrid AF-DF |
| Liu et al. [25] | 2015 | Cooperative AF-based diversity combining |
| Authors | Year | Protocol/Strategy Type |
|---|---|---|
| Kim and Cho [45] | 2017 | Network nodes self-organization |
| Chen et al. [46] | 2020 | Clustering and AF-based nodes cooperation |
| Yu et al. [47] | 2020 | Energy optimization oriented clustering |
| Ahmed et al. [48] | 2015 | Clustering and AF-based nodes cooperation |
| Ahmad et al. [49] | 2022 | AF-aided sink mobility based routing |
| Tran-Dang and Kim [50,51] | 2019 | DF-TDMA-based channel-aware cooperative routing |
| Ali et al. [52] | 2019 | Sink mobility based routing |
| Shah et al. [53] | 2018 | AF-aided energy efficient routing (nodes location unaware) |
| Khan et al. [54] | 2018 | Depth-based vertical routing (nodes location unaware) |
| Yahya et al. [55] | 2019 | Sink mobility based vertical incremental cooperative routing |
| Javaid et al. [56] | 2017 | Cooperative opportunistic routing |
| Karim et al. [57] | 2021 | Vertical cooperative opportunistic routing |
| Rahman et al. [58] | 2017 | Fuzzy logic-based cooperative opportunistic routing |
| Chen et al. [59] | 2021 | Data priority and energy efficiency oriented cooperative routing |
Disclaimer/Publisher’s Note: The statements, opinions and data contained in all publications are solely those of the individual author(s) and contributor(s) and not of MDPI and/or the editor(s). MDPI and/or the editor(s) disclaim responsibility for any injury to people or property resulting from any ideas, methods, instructions or products referred to in the content. |
© 2024 by the authors. Licensee MDPI, Basel, Switzerland. This article is an open access article distributed under the terms and conditions of the Creative Commons Attribution (CC BY) license (https://creativecommons.org/licenses/by/4.0/).
Share and Cite
Khan, M.S.; Petroni, A.; Biagi, M. Cooperative Communication Based Protocols for Underwater Wireless Sensors Networks: A Review. Sensors 2024, 24, 4248. https://doi.org/10.3390/s24134248
Khan MS, Petroni A, Biagi M. Cooperative Communication Based Protocols for Underwater Wireless Sensors Networks: A Review. Sensors. 2024; 24(13):4248. https://doi.org/10.3390/s24134248
Chicago/Turabian StyleKhan, Muhammad Shoaib, Andrea Petroni, and Mauro Biagi. 2024. "Cooperative Communication Based Protocols for Underwater Wireless Sensors Networks: A Review" Sensors 24, no. 13: 4248. https://doi.org/10.3390/s24134248
APA StyleKhan, M. S., Petroni, A., & Biagi, M. (2024). Cooperative Communication Based Protocols for Underwater Wireless Sensors Networks: A Review. Sensors, 24(13), 4248. https://doi.org/10.3390/s24134248

