Optical Sensing of Tissue Freezing Depth by Sapphire Cryo-Applicator and Steady-State Diffuse Reflectance Analysis
Abstract
1. Introduction
2. Materials and Methods
2.1. Multi-Channeled Sapphire Applicator
2.2. Reconstruction of a Freezing Depth
3. Results
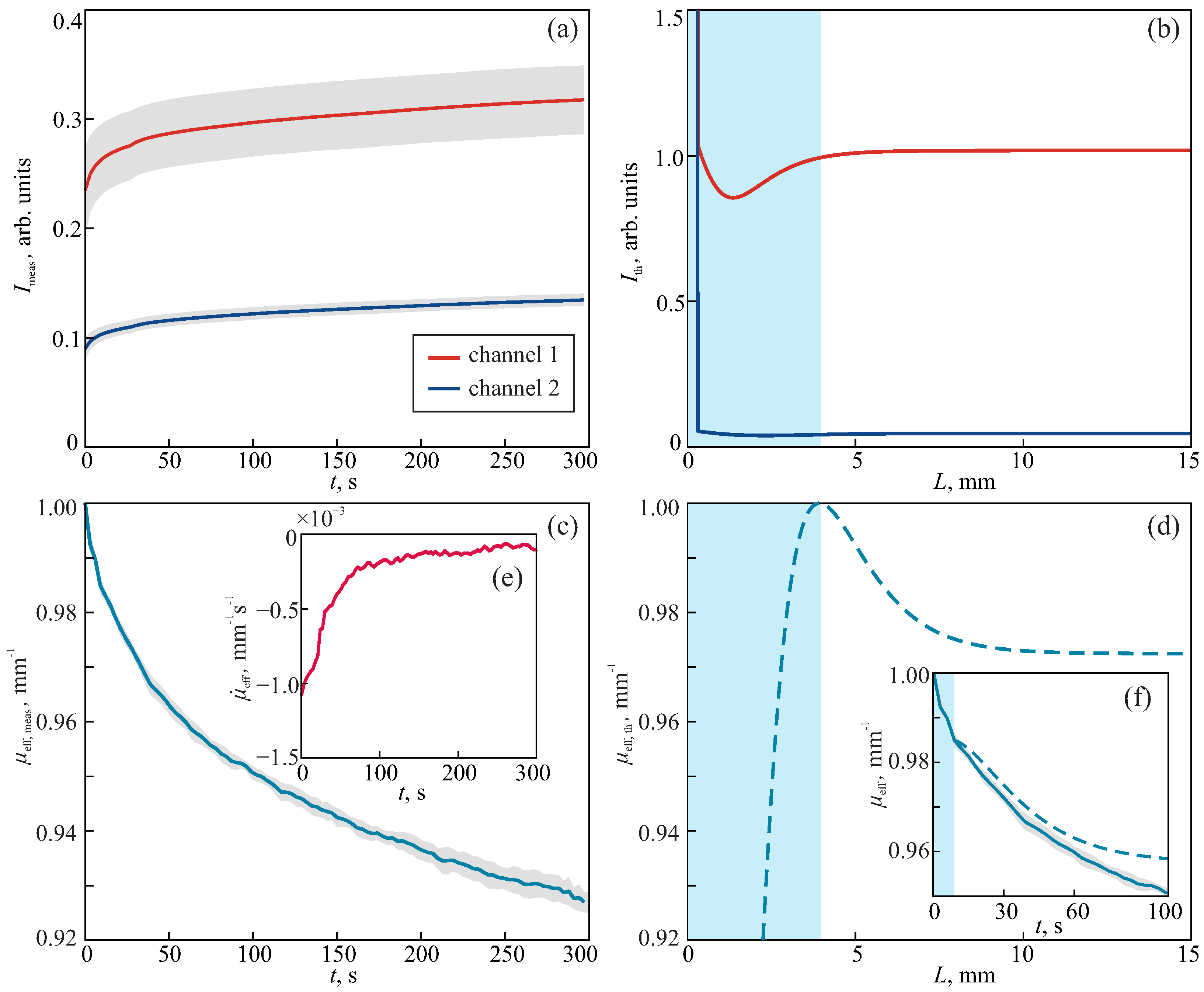
3.1. Calibration
3.2. Sensing of Tissue Phantom Freezing
3.3. Sensing of In Vivo Rat Liver Freezing
4. Discussion
5. Conclusions
Author Contributions
Funding
Institutional Review Board Statement
Informed Consent Statement
Data Availability Statement
Conflicts of Interest
References
- Baust, J.G.; Gage, A.A. The molecular basis of cryosurgery. BJU Int. 2005, 95, 1187–1191. [Google Scholar] [CrossRef]
- Gage, A.A.; Baust, J. Mechanisms of Tissue Injury in Cryosurgery. Cryobiology 1998, 37, 171–186. [Google Scholar] [CrossRef]
- Gage, A.; Baust, J.; Baust, J. Experimental cryosurgery investigations in vivo. Cryobiology 2009, 59, 229–243. [Google Scholar] [CrossRef]
- Korpan, N.N. (Ed.) Basics of Cryosurgery; Springer: Vienna, Austria, 2001. [Google Scholar]
- Mokbel, K.; Kodresko, A.; Ghazal, H.; Mokbel, R.; Trembley, J.; Jouhara, H. The Evolving Role of Cryosurgery in Breast Cancer Management: A Comprehensive Review. Cancers 2023, 15, 4272. [Google Scholar] [CrossRef]
- Backman, E.; Polesie, S.; Berglund, S.; Gillstedt, M.; Sjöholm, A.; Modin, M.; Paoli, J. Curettage vs. cryosurgery for superficial basal cell carcinoma: A prospective, randomised and controlled trial. J. Eur. Acad. Dermatol. Venereol. 2022, 36, 1758–1765. [Google Scholar] [CrossRef]
- Pustinsky, I.; Dvornikov, A.; Kiva, E.; Chulkova, S.; Egorova, A.; Gladilina, I.; Peterson, S.; Lepkova, N.; Grishchenko, N.; Galaeva, Z.; et al. Cryosurgery for Basal Cell Skin Cancer of the Head: 15 Years of Experience. Life 2023, 13, 2231. [Google Scholar] [CrossRef]
- Kwong, A.; Co, M.; Fukuma, E. Prospective Clinical Trial on Expanding Indications for Cryosurgery for Early Breast Cancers. Clin. Breast Cancer 2023, 23, 363–368. [Google Scholar] [CrossRef]
- Zheng, W.; Liu, Y.; Tseng, Y.; Zhang, J.; Li, W.; Wang, B.; Pan, Y.; Zhu, J.; Luo, Z.; Luo, F.; et al. A novel endoscopic visible full-thickness cryoablation device on stomach. Sci. Rep. 2020, 10, 5203. [Google Scholar] [CrossRef]
- Tan, W.P.; Chang, A.; Sze, C.; Polascik, T.J. Oncological and Functional Outcomes of Patients Undergoing Individualized Partial Gland Cryoablation of the Prostate: A Single-Institution Experience. J. Endourol. 2021, 35, 1290–1299. [Google Scholar] [CrossRef]
- Cohen, J.K.; Miller, R.J.; Ahmed, S.; Lotz, M.J.; Baust, J. Ten-Year Biochemical Disease Control for Patients with Prostate Cancer Treated with Cryosurgery as Primary Therapy. Urology 2008, 71, 515–518. [Google Scholar] [CrossRef]
- Vansonnenberg, E.; McMullen, W.; Solbiati, L.; Livraghi, T.; Müeller, P.; Silverman, S. Tumor Ablation: Principles and Practice; Springer: New York, NY, USA, 2005. [Google Scholar] [CrossRef]
- Chu, K.F.; Dupuy, D.E. Thermal ablation of tumours: Biological mechanisms and advances in therapy. Nat. Rev. Cancer 2014, 14, 199–208. [Google Scholar] [CrossRef]
- Shurrab, M.; Wang, H.; Kubo, N.; Fukunaga, T.; Kurata, K.; Takamatsu, H. The cooling performance of a cryoprobe: Establishing guidelines for the safety margins in cryosurgery. Int. J. Refrig. 2016, 67, 308–318. [Google Scholar] [CrossRef]
- Burkov, I.; Pushkarev, A.; Ryabikin, S.; Shakurov, A.; Tsiganov, D.; Zherdev, A. Numerical simulation of controlled precision cryosurgery using argon Joule–Thomson and liquid nitrogen evaporation cryoprobes. Int. J. Refrig. 2022, 133, 30–40. [Google Scholar] [CrossRef]
- Burkov, I.; Pushkarev, A.; Shakurov, A.; Tsiganov, D.; Zherdev, A. Numerical simulation of multiprobe cryoablation synergy using heat source boundary. Int. J. Heat Mass Transf. 2020, 147, 118946. [Google Scholar] [CrossRef]
- Pushkarev, A.; Ryabikin, S.; Saakyan, N.; Tsiganov, D.; Burkov, I.; Vasilev, A. A study of prostate multiprobe cryoablation near urethra for precision treatment planning. Cryobiology 2022, 109, 10–19. [Google Scholar] [CrossRef]
- Hossain, S.; Hossain, S.M.C.; Ferdows, M.; Bangalee, M.Z.I.; Alam, M.S. Computer simulation based analysis of transient two-phase thermal evolutions during multiprobe cryosurgery of hepatic tissues embedded without or with blood vessels. Int. J. Thermofluids 2024, 21, 100587. [Google Scholar] [CrossRef]
- Ahmed, M.; Weinstein, J.; Hussain, J.; Sarwar, A.; Anderson, M.; Dillon, B. Percutaneous Ultrasound-Guided Cryoablation for Symptomatic Plantar Fibromas. CardioVascular Interv. Radiol. 2018, 41, 298–304. [Google Scholar] [CrossRef]
- Ward, R.C.; Lourenco, A.P.; Mainiero, M.B. Ultrasound-Guided Breast Cancer Cryoablation. Am. J. Roentgenol. 2019, 213, 716–722. [Google Scholar] [CrossRef]
- de Jager, N.S.; van Oostenbrugge, T.J.; Pätz, T.; Jenniskens, S.F.M.; Fütterer, J.J.; Langenhuijsen, J.F.; Overduin, C.G. Intraoperative MRI-derived volumetric ablation margins and initial correlation with local outcome after MRI-guided cryoablation of renal tumors. Cancer Imaging 2023, 23, 31. [Google Scholar] [CrossRef]
- Tokuda, J.; Chauvin, L.; Ninni, B.; Kato, T.; King, F.; Tuncali, K.; Hata, N. Motion compensation for MRI-compatible patient-mounted needle guide device: Estimation of targeting accuracy in MRI-guided kidney cryoablations. Phys. Med. Biol. 2018, 63, 085010. [Google Scholar] [CrossRef]
- Zhou, K.; Zhang, Z.; Figini, M.; Shangguan, J.; Wang, Y.; Shi, H.; Li, Y.; Jin, Z.; Pan, J. Combined magnetic resonance imaging and optical surgical navigation system guidance of percutaneous liver cryoablation in a porcine model. Am. J. Transl. Res. 2018, 10, 1531–1538. [Google Scholar]
- Yang, Y.; Li, Y.; Wu, Y.; Qiu, S.; Liu, C.; Wang, Q.; Hong, Y.; Lyu, J.; Zhang, Y.; Du, D. Retrospective analysis of CT-guided percutaneous cryoablation for treatment of painful osteolytic bone metastasis. Cryobiology 2020, 92, 203–207. [Google Scholar] [CrossRef]
- Jankovic, I.; Poulsen, F.R.; Pedersen, C.B.; Kristensen, B.W.; Schytte, T.; Andersen, T.L.; Langhorn, L.; Graumann, O.; Krone, W.; Høilund-Carlsen, P.F.; et al. Preclinical cerebral cryoablation in non-tumor bearing pigs. Sci. Rep. 2022, 12, 1977. [Google Scholar] [CrossRef]
- Tokiwa, T.; Zimin, L.; Ishiguro, H.; Inoue, T.; Kajigaya, H.; Nomura, S.; Suzuki, M.; Yamakawa, T. A Palm-Sized Cryoprobe System With a Built-In Thermocouple and Its Application in an Animal Model of Epilepsy. IEEE Trans. Biomed. Eng. 2019, 66, 3168–3175. [Google Scholar] [CrossRef]
- Ranjbartehrani, P.; Ramirez, D.A.; Schmidlin, F.; Etheridge, M.; Iaizzo, P.A.; Shao, Q.; Bischof, J.C. Nerve Protection During Prostate Cryosurgery. Ann. Biomed. Eng. 2023, 51, 538–549. [Google Scholar] [CrossRef]
- Larin, K.; Larina, I.; Motamedi, M.; Esenaliev, R. Optoacoustic laser monitoring of cooling and freezing of tissues. Quantum Electron. 2002, 32, 953–958. [Google Scholar] [CrossRef]
- Esenaliev, R.O. Optoacoustic diagnostic modality: From idea to clinical studies with highly compact laser diode-based systems. J. Biomed. Opt. 2017, 22, 091512. [Google Scholar] [CrossRef]
- Petrova, E.V.; Brecht, H.P.; Motamedi, M.; Oraevsky, A.A.; Ermilov, S.A. In vivo optoacoustic temperature imaging for image-guided cryotherapy of prostate cancer. Phys. Med. Biol. 2018, 63, 064002. [Google Scholar] [CrossRef]
- Zotov, A.K.; Gavdush, A.A.; Katyba, G.M.; Safonova, L.P.; Chernomyrdin, N.V.; Dolganova, I.N. In situ terahertz monitoring of an ice ball formation during tissue cryosurgery: A feasibility test. J. Biomed. Opt. 2021, 26, 043003. [Google Scholar] [CrossRef]
- Ikiades, A.; Bassukas, I.D.; Kourkoumelis, N. A Fiber Optic Sensor for Monitoring the Spectral Alterations and Depth in Ex Vivo and In Vivo Cryosurgery. Sensors 2023, 23, 2690. [Google Scholar] [CrossRef]
- Spasopoulos, D.; Rattas, G.; Kaisas, A.; Dalagiannis, T.; Bassukas, I.D.; Kourkoumelis, N.; Ikiades, A. Fiber Optic Sensor for Real-time Monitoring of Freezing–Thawing Cycle in Cryosurgery. Appl. Sci. 2020, 10, 1053. [Google Scholar] [CrossRef]
- Dolganova, I.N.; Zotov, A.K.; Safonova, L.P.; Aleksandrova, P.V.; Reshetov, I.V.; Zaytsev, K.I.; Tuchin, V.V.; Kurlov, V.N. Feasibility test of a sapphire cryoprobe with optical monitoring of tissue freezing. J. Biophotonics 2023, 16, e202200288. [Google Scholar] [CrossRef]
- Katyba, G.; Zaytsev, K.; Dolganova, I.; Shikunova, I.; Chernomyrdin, N.; Yurchenko, S.; Komandin, G.; Reshetov, I.; Nesvizhevsky, V.; Kurlov, V. Sapphire shaped crystals for waveguiding, sensing and exposure applications. Prog. Cryst. Growth Charact. Mater. 2018, 64, 133–151. [Google Scholar] [CrossRef]
- Kurlov, V. Sapphire: Properties, Growth, and Applications. In Encyclopedia of Materials: Science and Technology; Buschow, K.J., Cahn, R.W., Flemings, M.C., Ilschner, B., Kramer, E.J., Mahajan, S., Veyssière, P., Eds.; Elsevier: Oxford, UK, 2001; pp. 8259–8264. [Google Scholar] [CrossRef]
- Pushkarev, A.V.; Ryabikin, S.S.; Tsiganov, D.I.; Zotov, A.K.; Kurlov, V.N.; Dolganova, I.N. Comparison of Probe Materials for Tissue Cryoablation: Operational Properties of Metal and Sapphire Cryoprobes. J. Biomed. Photonics Eng. 2022, 8, 040501. [Google Scholar] [CrossRef]
- LaBelle, H. EFG, the invention and application to sapphire growth. J. Cryst. Growth 1980, 50, 8–17. [Google Scholar] [CrossRef]
- Kurlov, V.N.; Rossolenko, S.N.; Abrosimov, N.V.; Lebbou, K. Shaped Crystal Growth. In Crystal Growth Processes Based on Capillarity; John Wiley & Sons, Ltd.: Hoboken, NJ, USA, 2010; Chapter 5; pp. 277–354. [Google Scholar] [CrossRef]
- Kurlov, V.; Rossolenko, S. Growth of shaped sapphire crystals using automated weight control. J. Cryst. Growth 1997, 173, 417–426. [Google Scholar] [CrossRef]
- Fantini, S.; Franceschini, M.A.; Gratton, E. Semi-infinite-geometry boundary problem for light migration in highly scattering media: A frequency-domain study in the diffusion approximation. J. Opt. Soc. Am. B 1994, 11, 2128–2138. [Google Scholar] [CrossRef]
- Liemert, A.; Kienle, A. Light diffusion in a turbid cylinder. I. Homogeneous case. Opt. Express 2010, 18, 9456–9473. [Google Scholar] [CrossRef]
- Franceschini, M.A.; Fantini, S.; Paunescu, L.A.; Maier, J.S.; Gratton, E. Influence of a superficial layer in the quantitative spectroscopic study of strongly scattering media. Appl. Opt. 1998, 37, 7447–7458. [Google Scholar] [CrossRef]
- Liemert, A.; Kienle, A. Light diffusion in a turbid cylinder. II. Layered case. Opt. Express 2010, 18, 9266–9279. [Google Scholar] [CrossRef]
- Hallacoglu, B.; Sassaroli, A.; Fantini, S. Optical Characterization of Two-Layered Turbid Media for Non-Invasive, Absolute Oximetry in Cerebral and Extracerebral Tissue. PLoS ONE 2013, 8, e64095. [Google Scholar] [CrossRef]
- Ishimaru, A. Diffusion of light in turbid material. Appl. Opt. 1989, 28, 2210–2215. [Google Scholar] [CrossRef]
- Farrell, T.J.; Patterson, M.S.; Wilson, B. A diffusion theory model of spatially resolved, steady-state diffuse reflectance for the noninvasive determination of tissue optical properties in vivo. Med. Phys. 1992, 19, 879–888. [Google Scholar] [CrossRef]
- Agafonkina, I.V.; Belozerov, A.G.; Berezovsky, Y.M.; Korolev, I.A.; Pushkarev, A.V.; Tsiganov, D.I.; Shakurov, A.V.; Zherdev, A.A. Thermal Properties of Biological Tissue Gel-Phantoms in a Wide Low-Temperature Range. J. Eng. Phys. Thermophys. 2021, 94, 790–803. [Google Scholar] [CrossRef]
- Agafonkina, I.V.; Belozerov, A.G.; Vasilyev, A.O.; Pushkarev, A.V.; Tsiganov, D.I.; Shakurov, A.V.; Zherdev, A.A. Thermal Properties of Human Soft Tissue and Its Equivalents in a Wide Low-Temperature Range. J. Eng. Phys. Thermophys. 2021, 94, 233–246. [Google Scholar] [CrossRef]
- Wagnières, G.; Cheng, S.; Zellweger, M.; Utke, N.; Braichotte, D.; Ballini, J.P.; van den Bergh, H. An optical phantom with tissue-like properties in the visible for use in PDT and fluorescence spectroscopy. Phys. Med. Biol. 1997, 42, 1415. [Google Scholar] [CrossRef]
- Tuchin, V.V. Tissue Optics: Light Scattering Methods and Instruments for Medical Diagnostics, 3rd ed.; SPIE Press: Bellingham, WA, USA, 2015. [Google Scholar]
- Lai, P.; Xu, X.; Wang, L.V. Dependence of optical scattering from Intralipid in gelatin-gel based tissue-mimicking phantoms on mixing temperature and time. J. Biomed. Opt. 2014, 19, 035002. [Google Scholar] [CrossRef]
- Assadi, H.; Karshafian, R.; Douplik, A. Optical Scattering Properties of Intralipid Phantom in Presence of Encapsulated Microbubbles. Int. J. Photoenergy 2014, 2014, 471764. [Google Scholar] [CrossRef]
- Aernouts, B.; Beers, R.V.; Watté, R.; Lammertyn, J.; Saeys, W. Dependent scattering in Intralipid® phantoms in the 600–1850 nm range. Opt. Express 2014, 22, 6086–6098. [Google Scholar] [CrossRef]






Disclaimer/Publisher’s Note: The statements, opinions and data contained in all publications are solely those of the individual author(s) and contributor(s) and not of MDPI and/or the editor(s). MDPI and/or the editor(s) disclaim responsibility for any injury to people or property resulting from any ideas, methods, instructions or products referred to in the content. |
© 2024 by the authors. Licensee MDPI, Basel, Switzerland. This article is an open access article distributed under the terms and conditions of the Creative Commons Attribution (CC BY) license (https://creativecommons.org/licenses/by/4.0/).
Share and Cite
Zotov, A.K.; Pushkarev, A.V.; Alekseeva, A.I.; Zaytsev, K.I.; Ryabikin, S.S.; Tsiganov, D.I.; Zhidkov, D.A.; Burkov, I.A.; Kurlov, V.N.; Dolganova, I.N. Optical Sensing of Tissue Freezing Depth by Sapphire Cryo-Applicator and Steady-State Diffuse Reflectance Analysis. Sensors 2024, 24, 3655. https://doi.org/10.3390/s24113655
Zotov AK, Pushkarev AV, Alekseeva AI, Zaytsev KI, Ryabikin SS, Tsiganov DI, Zhidkov DA, Burkov IA, Kurlov VN, Dolganova IN. Optical Sensing of Tissue Freezing Depth by Sapphire Cryo-Applicator and Steady-State Diffuse Reflectance Analysis. Sensors. 2024; 24(11):3655. https://doi.org/10.3390/s24113655
Chicago/Turabian StyleZotov, Arsen K., Aleksandr V. Pushkarev, Anna I. Alekseeva, Kirill I. Zaytsev, Sergey S. Ryabikin, Dmitry I. Tsiganov, Dmitriy A. Zhidkov, Ivan A. Burkov, Vladimir N. Kurlov, and Irina N. Dolganova. 2024. "Optical Sensing of Tissue Freezing Depth by Sapphire Cryo-Applicator and Steady-State Diffuse Reflectance Analysis" Sensors 24, no. 11: 3655. https://doi.org/10.3390/s24113655
APA StyleZotov, A. K., Pushkarev, A. V., Alekseeva, A. I., Zaytsev, K. I., Ryabikin, S. S., Tsiganov, D. I., Zhidkov, D. A., Burkov, I. A., Kurlov, V. N., & Dolganova, I. N. (2024). Optical Sensing of Tissue Freezing Depth by Sapphire Cryo-Applicator and Steady-State Diffuse Reflectance Analysis. Sensors, 24(11), 3655. https://doi.org/10.3390/s24113655

