Optimizing Collaborative Crowdsensing: A Graph Theoretical Approach to Team Recruitment and Fair Incentive Distribution
Abstract
1. Introduction
2. System Architecture
2.1. System Model
2.2. Blockchain Architecture
2.3. Interaction Diagram
3. Algorithm Design
3.1. Team Recruitment Mechanism Design
3.1.1. Team Recruitment Mechanism Based on IPA-TRM
| Algorithm 1 Team Recruitment |
|
3.1.2. Proof of Algorithm Validity
- When recruiting two users
- 2.
- When recruiting three users
- (1)
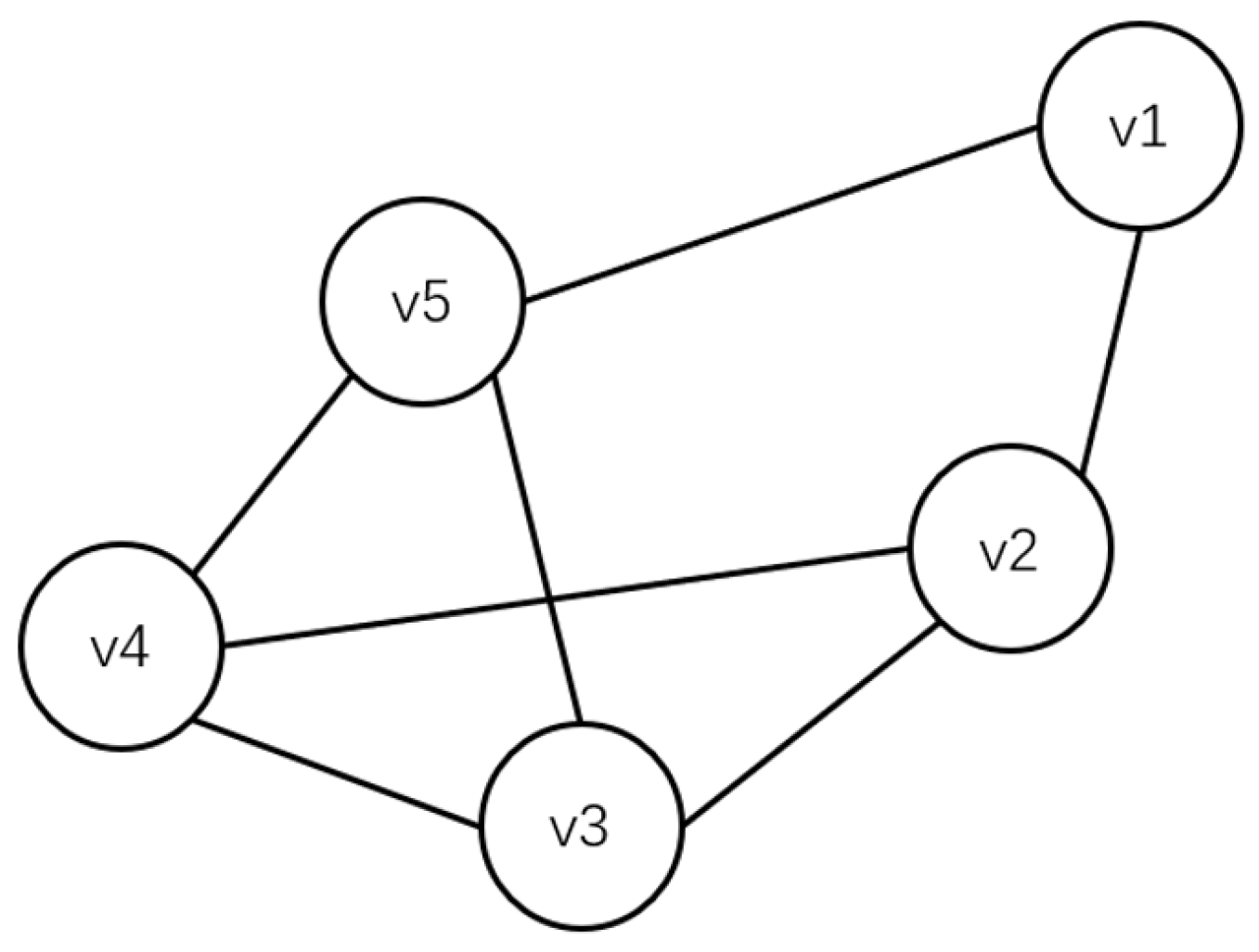
- Assuming as the root of the maximum spanning tree, and the next vertex, any one of , to be added is , then . Let , . Since has the highest utility value, , implying . Also, considering , . Similarly, .
- (2)
- Assuming as the root of the maximum spanning tree, and the next vertex, any one of , to be added is , then . Let , . Since has the highest utility value, , implying . Also, considering , .
- (3)
- Next, take as the root of the maximum spanning tree, that is, . Because and , the next vertex added to the maximum spanning tree must be , which implies . Also, because and , the next vertex added to the maximum spanning tree must be . Therefore, , and we have successfully found the team with the highest utility.
- 3.
- When recruiting more than three users
3.2. Research on Team Incentive Mechanism
3.2.1. Task Quality Assessment
3.2.2. Reputation Calculations
- (1)
- Direct reputation
- (2)
- Indirect reputation
- a.
- Importance
- b.
- Similarity calculation based on Jaccard coefficients
- c.
- Indirect reputation weighting
- (3)
- Comprehensive reputation
3.2.3. Member Earnings Incentives
4. Experiment
4.1. Experimental Data
- Dataset
- 2.
- Basic settings
- (1)
- The perceptual ability () of users is replaced with their degrees in the interactions.
- (2)
- The collaboration matrix, represented as , is initialized based on the interactions among the 250 users. If there is interaction between users and , they will have a higher collaboration ability, setting as a random value between [0.5, 1]; otherwise, it will be a random value between (0, 0.5).
- (3)
- The total number (M) of users on the platform: .
- (4)
- The number (N) of recruited team members: .
- 3.
- Evaluate metrics
- (1)
- Team Utility Value Metric: This refers to the ratio of the actual amount of perceptual data collected by the team to the total cost incurred by the team, representing the quantity of perceptual data acquired per unit cost.
- (2)
- Fairness: Refers to the fairness and equity in income distribution, ensuring each member receives fair and proportional remuneration according to their contributions. Jain’s fairness index is used to measure fairness, and its calculation method is as follows:
4.2. Experimental Results and Analysis
- Comparison of the results of team recruitment
- 2.
- Team member motivation
- (1)
- Dynamic reputation assessment
- (a)
- = 0.2: In this scenario, comprehensive reputation is primarily determined by indirect reputation. With a decrease in the value, the comprehensive reputation is relatively lower. This suggests that when considering comprehensive reputation, it heavily relies on the influence of team members throughout the team interaction, while the weight of direct reputation is lower.
- (b)
- = 0.5: In this case, the weights of direct and indirect reputations are equal. Comprehensive reputation balances direct and indirect reputations, leading to a smoother change in the comprehensive reputation values in the graph.
- (c)
- = 0.8: Here, comprehensive reputation is mainly determined by direct reputation. As seen, with an increase in the value, the comprehensive reputation is relatively higher. This means that when considering comprehensive reputation, it relies more on direct positive feedback received directly from the platform, while the weight of indirect reputation is lower.
- (2)
- Member Earnings Analysis
- Discrepancy in earnings: The bar chart demonstrates variations in the earnings of different members, indicating potential differences in contributions among them. There appears to be a positive correlation among members’ earnings.
- Relationship between contribution and earnings: There is a positive correlation between the contributions made by members and their respective earnings.
- Importance and earnings: Observing the charts, it becomes evident that the member with the highest earnings tends to be the one contributing the most. Hence, differentiating between members based on their contributions further emphasizes the significance of comprehensive reputation values in income distribution.
- (3)
- Comparative Analysis of Member Earnings and Average Returns
- (4)
- Fairness analysis
- (1)
- Equal Distribution Method: A traditional approach that evenly distributes a certain quantity or resource among a specific number of individuals or entities.
- (2)
- VCG Mechanism [21]: An effective resource allocation method among multiple participants that encourages participants to honestly report their true preferences and information.
- (3)
- MTRPM Method: The method, known as the Myersonian Truthful Reporting Payment Mechanism (MTRPM), is based on the Myerson theory. It involves initially ranking the users within the team based on their utility contribution values, removing the user with the lowest utility value, and subsequently selecting another user from the remaining pool who can provide the maximum utility contribution to the team. The payment formula is as follows:
5. Conclusions
Author Contributions
Funding
Institutional Review Board Statement
Informed Consent Statement
Data Availability Statement
Conflicts of Interest
References
- Ganti, R.K.; Ye, F.; Lei, H. Mobile crowdsensing: Current state and future challenges. IEEE Commun. Mag. 2011, 49, 32–39. [Google Scholar] [CrossRef]
- Pan, Z.; Yu, H.; Miao, C.; Leung, C. Efficient collaborative crowdsourcing. In Proceeding of the AAAI Conference on Artificial Intelligence, Phoenix, AZ, USA, 12–17 February 2016; Volume 30. [Google Scholar]
- Xiao, M.; Wu, J.; Huang, H.; Huang, L.; Hu, C. Deadline-sensitive user recruitment for probabilistically collaborative mobile crowdsensing. In Proceeding of the 2016 IEEE 36th International Conference on Distributed Computing Systems (ICDCS), Nara, Japan, 27–30 June 2016; IEEE: Piscataway, NJ, USA, 2016; pp. 721–722. [Google Scholar]
- Yang, S.; Li, J.; Yuan, Q.; Liu, Z. Route-Oriented Participants Recruitment in Collaborative Crowdsensing. In Proceeding of the International Conference on Collaborative Computing: Networking, Applications and Worksharing, Edinburgh, UK, 11–13 December 2017; Springer International Publishing: Cham, Switzerland, 2017; pp. 164–175. [Google Scholar]
- Wang, Z.; Li, Y.; Zhao, K.; Shi, W.; Lin, L.; Zhao, J. Worker collaborative group estimation in spatial crowdsourcing. Neurocomputing 2021, 428, 385–391. [Google Scholar] [CrossRef]
- Yang, G.S.; Jiang, W.C.; He, X.Y. Cohort-based participant recruitment mechanism in mobile crowd sensing. J. Chin. Comput. Syst. 2022, 43, 2226–2233. [Google Scholar]
- Azzam, R.; Mizouni, R.; Otrok, H.; Singh, S.; Ouali, A. A stability-based group recruitment system for continuous mobile crowd sensing. Comput. Commun. 2018, 119, 1–14. [Google Scholar] [CrossRef]
- Chai, C.; Fan, J.; Li, G. Incentive-based entity collection using crowdsourcing. In Proceeding of the 2018 IEEE 34th International Conference on Data Engineering (ICDE), Paris, France, 16–19 April 2018; IEEE: Piscataway, NJ, USA, 2018; pp. 341–352. [Google Scholar]
- Rui, L.; Zhang, P.; Huang, H.; Qiu, X. Reputation-based incentive mechanisms in crowdsourcing. J. Electron. Inf. Technol. 2016, 38, 1808–1815. [Google Scholar]
- Rokicki, M.; Zerr, S.; Siersdorfer, S. Groupsourcing: Team competition designs for crowdsourcing. In Proceeding of the 24th International Conference on World Wide Web, Florence, Italy, 18–22 May 2015; pp. 906–915. [Google Scholar]
- Han, K.; Graham, E.A.; Vassallo, D.; Estrin, D. Enhancing motivation in a mobile participatory sensing project through gaming. In Proceeding of the 2011 IEEE Third International Conference on Privacy, Security, Risk and Trust and 2011 IEEE Third International Conference on Social Computing, Boston, MA, USA, 9–11 October 2011; IEEE: Piscataway, NJ, USA, 2011; pp. 1443–1448. [Google Scholar]
- Zhang, Q.; Zhu, J.; Gao, S.; Xiong, Z.; Ding, Q.; Piao, G. Incentive mechanism for federated learning based on blockchain and Bayesian game. Sci. Sin. 2022, 52, 971–991. [Google Scholar] [CrossRef]
- Zhang, J.; Wu, Y.; Pan, R. Incentive mechanism for horizontal federated learning based on reputation and reverse auction. In Proceeding of the Web Conference 2021, Virtual, 19–23 April 2021; pp. 947–956. [Google Scholar]
- Hamrouni, A.; Alelyani, T.; Ghazzai, H.; Massoud, Y. Toward collaborative mobile crowdsourcing. IEEE Internet Things Mag. 2021, 4, 88–94. [Google Scholar] [CrossRef]
- Zeng, S.Q.; Huo, R.; Huang, T.; Liu, J.; Wang, S.; Feng, W. Survey of blockchain: Principle, progress and application. J. Commun. 2020, 41, 134–151. [Google Scholar]
- Wang, H.; Yang, Y.; Wang, E.; Liu, W.; Xu, Y.; Wu, J. Combinatorial multi-armed bandit based user recruitment in mobile crowdsensing. In Proceeding of the 2020 17th Annual IEEE International Conference on Sensing, Communication, and Networking (SECON), Como, Italy, 22–25 June 2020; IEEE: Piscataway, NJ, USA, 2020; pp. 1–9. [Google Scholar]
- Liu, S.; Zheng, Z.; Wu, F.; Tang, S.; Chen, G. Context-aware data quality estimation in mobile crowdsensing. In Proceeding of the IEEE INFOCOM 2017-IEEE Conference on Computer Communications, Atlanta, GA, USA, 1–4 May 2017; IEEE: Piscataway, NJ, USA, 2017; pp. 1–9. [Google Scholar]
- Fan, M.J.; Niu, Y.; Du, C.-L.; Zhang, Y.S. A community detection method based on clustering coefficient. Comput. Eng. Sci. 2016, 38, 363. [Google Scholar]
- Zhu, D.; Wang, H.; Wang, R.; Duan, J.; Bai, J. Identification of key nodes in a power grid based on modified PageRank algorithm. Energies 2022, 15, 797. [Google Scholar] [CrossRef]
- Sakurai, Y.; Kawahara, J.; Oyama, S. Aggregating Crowd Opinions Using Shapley Value Regression. In Proceeding of the International Conference on Multi-Disciplinary Trends in Artificial Intelligence, Hanoi, Vietnam, 18–20 November 2018; Springer: Cham, Switzerland, 2018. [Google Scholar]
- Liu, H.; Li, J.; Yuan, S.; Cao, W.; Li, B. A smart contract based crowdfunding mechanism for hierarchical federated learning. arXiv 2022, arXiv:2205.06101. [Google Scholar]











| Parameter | Setting |
|---|---|
| The scale of team m | 8 |
| Damping factor | 0.85 |
| Controls the shape of the curve | 1.5 |
| Maximum reputation level R | 10 |
| Number of teams T | 8 |
| Total revenue | 500 |
| Total loss gains | 50 |
Disclaimer/Publisher’s Note: The statements, opinions and data contained in all publications are solely those of the individual author(s) and contributor(s) and not of MDPI and/or the editor(s). MDPI and/or the editor(s) disclaim responsibility for any injury to people or property resulting from any ideas, methods, instructions or products referred to in the content. |
© 2024 by the authors. Licensee MDPI, Basel, Switzerland. This article is an open access article distributed under the terms and conditions of the Creative Commons Attribution (CC BY) license (https://creativecommons.org/licenses/by/4.0/).
Share and Cite
Liu, H.; Zhang, C.; Chen, X.; Tai, W. Optimizing Collaborative Crowdsensing: A Graph Theoretical Approach to Team Recruitment and Fair Incentive Distribution. Sensors 2024, 24, 2983. https://doi.org/10.3390/s24102983
Liu H, Zhang C, Chen X, Tai W. Optimizing Collaborative Crowdsensing: A Graph Theoretical Approach to Team Recruitment and Fair Incentive Distribution. Sensors. 2024; 24(10):2983. https://doi.org/10.3390/s24102983
Chicago/Turabian StyleLiu, Hui, Chuang Zhang, Xiaodong Chen, and Weipeng Tai. 2024. "Optimizing Collaborative Crowdsensing: A Graph Theoretical Approach to Team Recruitment and Fair Incentive Distribution" Sensors 24, no. 10: 2983. https://doi.org/10.3390/s24102983
APA StyleLiu, H., Zhang, C., Chen, X., & Tai, W. (2024). Optimizing Collaborative Crowdsensing: A Graph Theoretical Approach to Team Recruitment and Fair Incentive Distribution. Sensors, 24(10), 2983. https://doi.org/10.3390/s24102983

