Implementing Dual Base Stations within an IoT Network for Sustaining the Fault Tolerance of an IoT Network through an Efficient Path Finding Algorithm
Abstract
1. Introduction
- How will the longevity of the IoT network be affected due to the use of a single base station in the IoT network?
- How to determine fault-free and fast responsive paths in a given IoT network
- What parameters must be considered to decide the path to effect the fastest communication through the 2nd base station?
- How many base stations are required to guarantee a 100% fault tolerant system
- A method to determine the shortest and fastest fault-free path for data transmission from cluster heads to microcontrollers en route to the redundant base station.
- A method to facilitate communication between the base stations and the microcontrollers.
- A method to convert a networking diagram to a Fault tree Analysis diagram considering different networking topologies used to connect both the device layer and the controller layer.
2. Related Work
3. Methodology
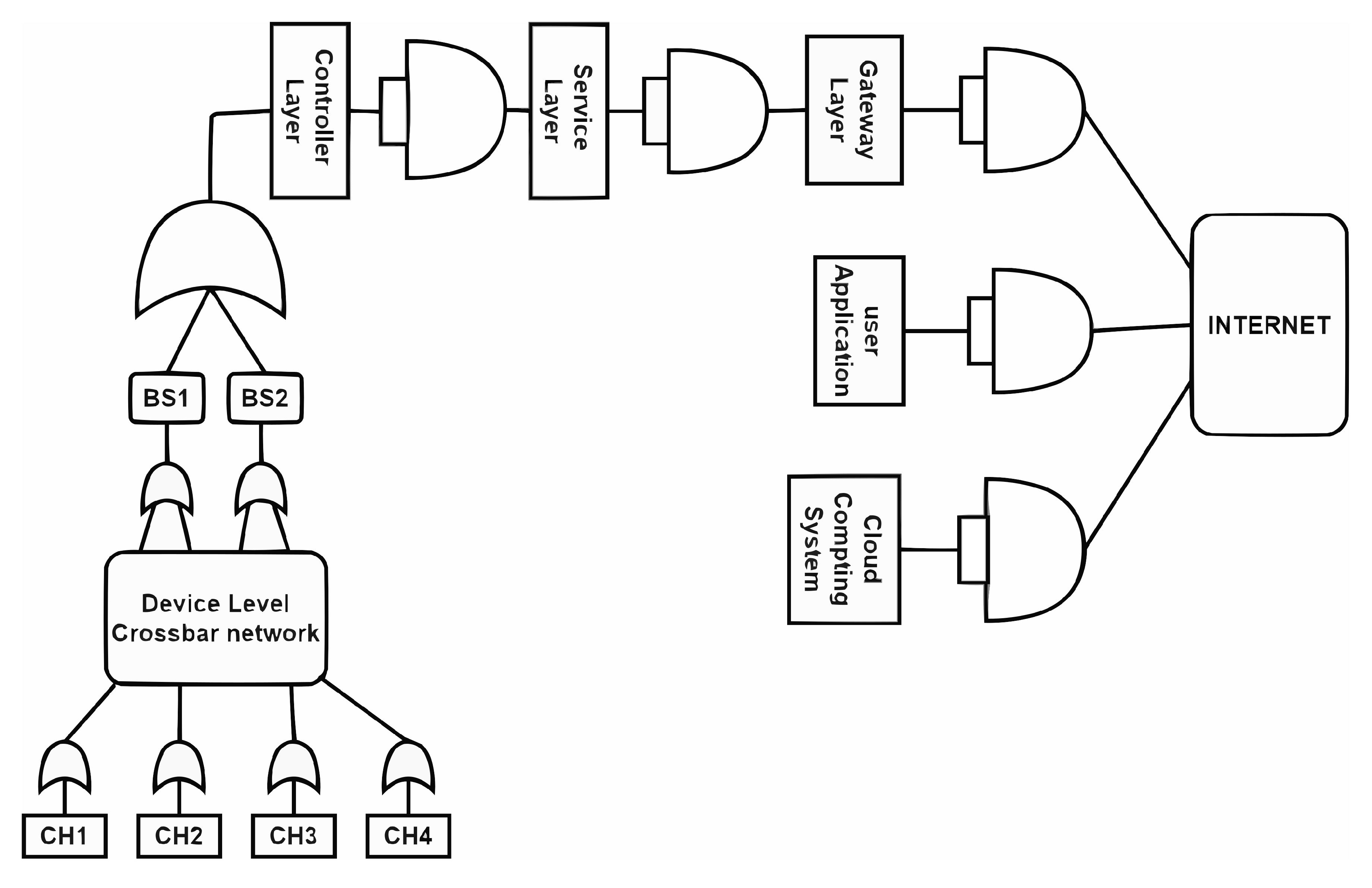
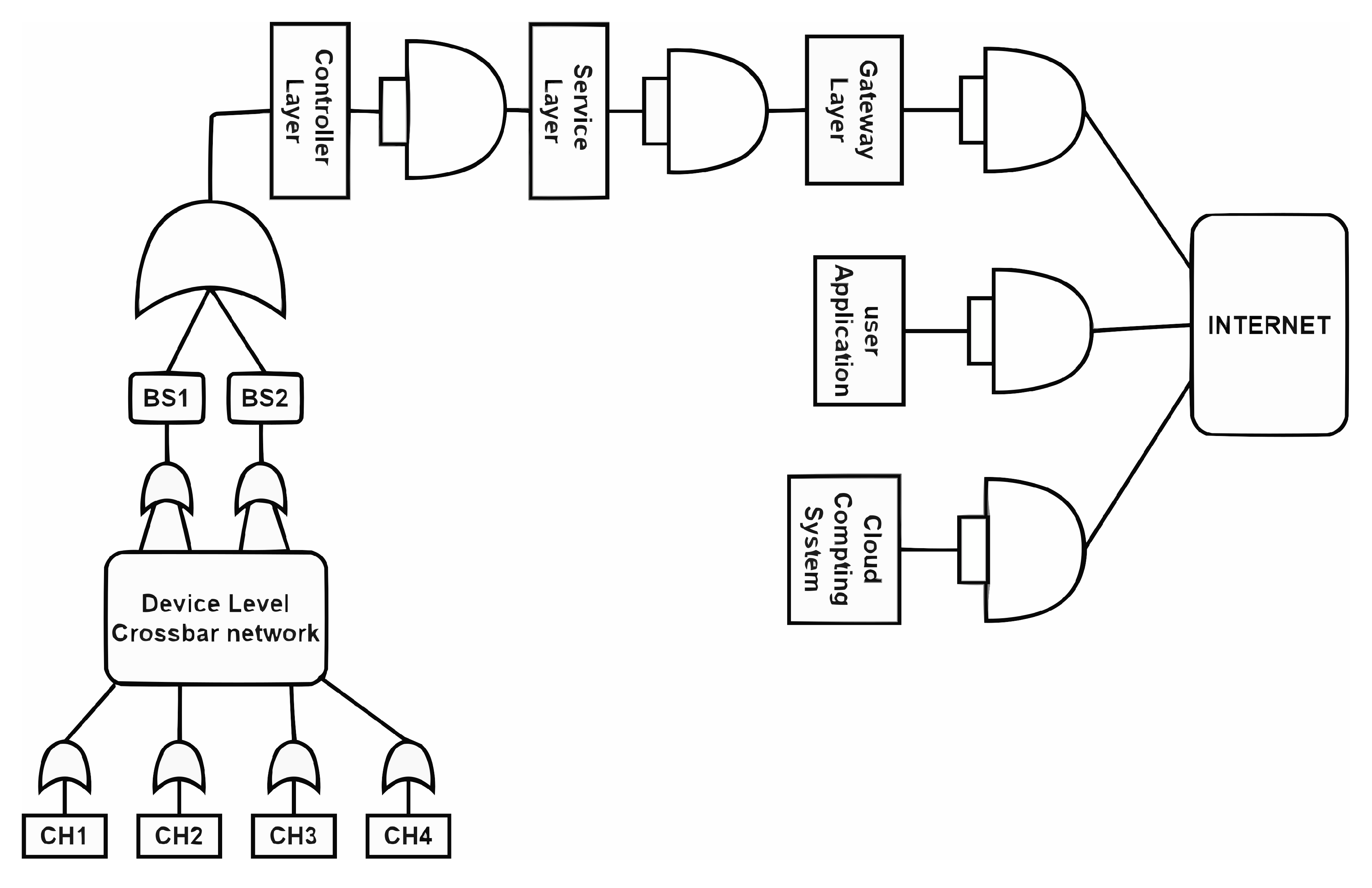
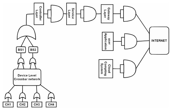
4. The Updated IoT Network
- Implement a fault detection system in the device layer that detects possible power-related faults and then isolates the faulty devices.
- Establishing a crossbar network between the cluster heads and the device clusters to provide alternative redundant communication paths.
- Develop redundant networks using different topologies connecting base stations and cluster heads.
- Connecting the base stations to the microcontrollers in peer-to-peer mode.
- A method to compute fault tolerance considering linear and probability models.
- Connecting several controllers to a single services server
- Connecting a services server to a gateway en route to the internet connecting the cloud.
5. Revised IoT Network
- A second base station, which is remotely situated due to spectrum reasons, has been added. The second base station is connected to cluster heads using a separate network established by relays/switches placed strategically because of the distant locations. Two layers of relays have been considered keeping in view the maximum connectivity distance to be 100 km.
- An algorithm is implemented that finds the shortest distance from a source node to a sink node and ensures that the traffic is minimum in that path. The number of bytes to be transmitted over a path is considered as the decision to select the path.
- Parallel communication is implemented to establish communication between the first base station and the cluster heads and between the base station.
- A relay-driven network with built-in redundancy establishes communication between the second base station and cluster heads. Parallel communication affects the communication between the 2nd base station and the controller.
6. The Network between the Cluster Heads and the 2nd Base Station
7. Pathfinding through the Algebraic Method
8. Results
Success Rate Computations
9. Discussion
10. Conclusions and Future Work
10.1. Conclusions
- The fault-tolerance capability of an IoT network is critical, especially when mission-critical systems are built using IoT technologies.
- The fault-tolerance capability of an IoT network can be enhanced by making suitable changes in each of the layers of the IoT. This paper focuses on enhancing the fault-tolerance capability considering the controller layer.
- A single base station-based IoT is risky and unsuitable for implementing mission-critical systems.
- The fault-tolerance capability of the IoT network improves when a redundant base station is added, and the same is connected via an intelligent-relay-based network. The success rate of the revised IoT network increased from 0.827 to 0.948, which is a 14.23% improvement.
- Considering both parts of the network, the combined success rate, which includes the path from cluster heads to the base station and the path from the base station to the controller, improved from 0.45 to 0.64, a 42% improvement. The latency of communication using such a network is minimum.
- The path-finding algorithm implemented in the intelligent relays requires fewer operations than any other algorithm presented in the literature.
10.2. Future Work
Author Contributions
Funding
Institutional Review Board Statement
Informed Consent Statement
Data Availability Statement
Conflicts of Interest
References
- Ciccozzi, F. Model-Driven Engineering for Mission-Critical IoT Systems. IEEE Softw. 2017, 34, 46–53. [Google Scholar] [CrossRef]
- Mardiyah, N.; Setyawan, N.; Retno, B.; Has, Z. Active Fault Tolerance Control for Sensor Fault Problem in Wind Turbine Using SMO with LMI Approach. In Proceedings of the International Conference on Electrical Engineering, Computer Science, and Informatics (EECSI), Malang, Indonesia, 16–18 October 2018; pp. 336–340. [Google Scholar]
- Sowmya, K.V.; Sastry, J.K.R. Performance optimization within the device layer of IoT networks. J. Eng. Sci. Technol. 2021, 16, 5087–5109. [Google Scholar]
- Sowmya, K.V.; Sastry, J.K.R. Improving the Performance of Heterogeneous IoT Networks through Multi-Stage and Parallel Computing Systems. Iran. Sci. 2022. [Google Scholar] [CrossRef]
- Sowmya, K.V.; Sastry, J.K.R. Implementing load-balanced concurrent service layer to improve an IoT network’s response time. J. Eng. Sci. Technol. 2022, 17, 4487–4504. [Google Scholar]
- Sastry, J.K.R.; Ramya Sri, G.; Niharika, V.M.; Sowmya, K.V. Performance Optimization of IoT Networks Within the Gateway Layer. Recent Adv. Comput. Sci. Commun. 2020, 13, 1338–1346. [Google Scholar] [CrossRef]
- Sowmya, K.; Sastry, J.K.R. Enhancing Performance of IoT Networks through High-Performance Computing. Int. J. Adv. Trends Comput. Sci. Eng. 2019, 8, 432–442. [Google Scholar]
- Mohsin, A.; Naqvi, S.I.R.; Khan, A.U.; Naeem, T.; AsadUllah, M.A. A comprehensive framework to quantify fault tolerance metrics of web centric mobile applications. In Proceedings of the International Conference on Communication Technologies (ComTech), Rawalpindi, Pakistan, 19–21 April 2017. [Google Scholar]
- Dugan, J.B.; Bavuso, S.J. Dynamic Fault-Tree Models for Fault-Tolerant Computer Systems. IEEE Trans. Reliab. 1992, 41, 3–9. [Google Scholar] [CrossRef]
- Yazdi, M.; Nikfar, F.; Nasrabadi, M. Failure probability analysis by employing fuzzy fault tree analysis. Int. J. Syst. Assur. Eng. Manag. 2017, 8, 1177–1193. [Google Scholar] [CrossRef]
- Chokara, B.; Jammalamadaka, S.K.R. Hybrid models for computing fault tolerance of IoT networks. Telkomnika Telecommun. Comput. Electron. Control. 2023, 21, 333–345. [Google Scholar] [CrossRef]
- Rathore, S.S.; Kumar, S. An empirical study of some software fault prediction techniques for the number of faults prediction. Soft Comput. 2017, 21, 7417–7434. [Google Scholar] [CrossRef]
- Lin, J.; Chelliah, P.R.; Hsu, M.; Hou, J. Efficient Fault-Tolerant Routing in IoT Wireless Sensor Networks Based on Bipartite-Flow Graph Modeling. IEEE Access 2019, 7, 14022–14034. [Google Scholar] [CrossRef]
- Biabani, M.; Yazdani, N.; Fotouhi, H. REFIT: Robustness Enhancement Against Cascading Failure in IoT Networks. IEEE Access 2021, 9, 40768–40782. [Google Scholar] [CrossRef]
- Xing, L. Cascading Failures in Internet of Things: Review and Perspectives on Reliability and Resilience. IEEE Internet Things J. 2021, 8, 44–64. [Google Scholar] [CrossRef]
- Power Kotonya, G. BoboCEP: Distributed Complex Event Processing for Resilient Fault-Tolerance Support in IoT. In Proceedings of the IEEE Sixth International Conference on Big Data Computing Service and Applications (Bigdata Service), Oxford, UK, 3–6 August 2020; pp. 109–112. [Google Scholar]
- Malarski, K.M.; Ballal, K.D.; Ruepp, S. D2D-enabled Failure-tolerance in Cellular IoT. In Proceedings of the 12th International Conference on Network of the Future (NoF), Coimbra, Portugal, 6–8 October 2021; pp. 1–5. [Google Scholar]
- Safari, S.; Ansari, M.; Khdr, H.; Gohari-Nazari, P.; Yari-Karin, S.; Yeganeh-Khaksar, A.; Henkel, J. A Survey of Fault-Tolerance Techniques for Embedded Systems From the Perspective of Power, Energy, and Thermal Issues. IEEE Access 2022, 10, 12229–12251. [Google Scholar] [CrossRef]
- Norris, M.; Celik, B.; Venkatesh, P.; Zhao, S.; McDaniel, P.; Sivasubramaniam, A.; Tan, G. IoTRepair: Systematically Addressing Device Faults in Commodity IoT. In Proceedings of the IEEE/ACM Fifth International Conference on Internet-of-Things Design and Implementation (IoTDI), Sydney, Australia, 21–24 April 2020; pp. 142–148. [Google Scholar]
- Power, G.K. Complex Patterns of Failure: Fault Tolerance via Complex Event Processing for IoT Systems. In Proceedings of the International Conference on Internet of Things (iThings) and IEEE Green Computing and Communications (GreenCom) and IEEE Cyber, Physical and Social Computing (CPSCom) and IEEE Smart Data (SmartData), Atlanta, GA, USA, 14–17 July 2019; pp. 986–993. [Google Scholar]
- Zhao, X.; Lucani, D.E.; Shen, X.; Wang, H. Minimizing Bandwidth Use in IoT Storage with Random Device Failures. In Proceedings of the EuropeanWireless 2019, 25th EuropeanWireless Conference, Aarhus, Denmark, 2–4 May 2019; pp. 1–5. [Google Scholar]
- Sastry, J.K.R.; Bhupathi, S. Enhancing Fault Tolerance of IoT Networks within Device Layer. Int. J. Emerg. Trends Eng. Res. 2020, 8, 491–509. [Google Scholar]
- Geethika Reddy, A.; Upendra, Y.; Sastry, J.K.R.; Bhupathi, S. An Approach to Compute Fault Tolerance of an IoT Network Having Clustered Devices Using Cross Bar Networks. Int. J. Emerg. Trends Eng. Res. 2020, 8, 987–1004. [Google Scholar]
- Samanta, F.E.; Nguyen, T.G. Fault-Tolerant Mechanism for Edge-Based IoT Networks with Demand Uncertainty. IEEE Internet Things J. 2021, 8, 16963–16971. [Google Scholar] [CrossRef]
- Kumar, S.; Ranjan, P.; Singh, P.; Tripathy, M.R. Design and Implementation of Fault Tolerance Technique for Internet of Things (IoT). In Proceedings of the 12th International Conference on Computational Intelligence and Communication Networks (CICN), Bhimtal, India, 25–26 September 2020; pp. 154–159. [Google Scholar]
- Introducing 5G Technology and Networks (Speed, Use Cases and Rollout). Available online: https://www.thalesgroup.com/en/markets/digital-identity-and-security/mobile/inspired/5G (accessed on 20 December 2020).
- Isolani, P.H.; Kulenkamp, D.J.; Marquez-Barja, J.M.; Granville, L.Z.; Latr’e, S.; Syrotiuk, V.R. Support for 5g mission-critical applications in software-defined ieee 802.11 networks. Sensors 2021, 21, 693. [Google Scholar] [CrossRef] [PubMed]
- Skorin-Kapov, L.; Matijasevic, M. Analysis of QoS Requirements for e-Health Services and Mapping to Evolved Packet System QoS Classes. Int. J. Telemed. Appl. 2010, 2010, 1–18. [Google Scholar] [CrossRef]
- Min, C.; Yiming, M.; Hao, Y. Narrow Band Internet of Things. IEEE Access 2017, 5, 20557–20577. [Google Scholar]
- Nokia LTE Evolution for IoT Connectivity White Paper. Available online: https://onestore.nokia.com/asset/200178 (accessed on 21 February 2020).
- Schwarz, R. Narrowband Internet of Things Whitepaper. Available online: https://cdn.rohde-schwarz.com/pws/dl_downloads/dl_application/application_notes/1ma266/1MA266_0e_NB_IoT.pdf (accessed on 21 February 2020).
- Liberg, O.; Sundberg, M.; Wan, E.; Bergman, J.; Sachs, J. Cellular Internet of Things: Technologies, Standards, and Performance; Academic Press: Boston, MA, USA, 2018. [Google Scholar]
- Pedhadiya, M.K.; Jha, R.K.; Bhatt, H.G. Device to device communication: A survey. J. Netw. Comput. Appl. 2019, 129, 71–89. [Google Scholar] [CrossRef]
- Li, Y.; Liang, Y.; Liu, Q.; Wang, H. Resources Allocation in Multicell D2D Communications for Internet of Things. IEEE Internet Things J. 2019, 5, 4100–4108. [Google Scholar] [CrossRef]
- Li, M.; Tsai, H. Design and Evaluation of a Hybrid D2D Discovery Mechanism in 5G Cellular Networks. In Proceedings of the Tenth International Conference on Ubiquitous and Future Networks (ICUFN), Prague, Czech Republic, 3–6 July 2018; pp. 641–643. [Google Scholar]
- Koziol, D.; Moya, F.S.; Phan, L.Y.V.V.; Xu, S. QoS and service continuity in 3GPP D2D for IoT and wearables. IEEE Conf. Stand. Commun. Netw. 2017, 2017, 8088627. [Google Scholar]
- 3GPP. Study on Further Enhancements to LTE Device to Device (D2D), User Equipment (UE) to Network Relays for Internet of Things (IoT) and Wearables; Technical Report (TR) 36.746; 3rd Generation Partnership Project (3GPP), 04; 3GPP: Tokyo, Japan, 2018; Version 15.1.1. [Google Scholar]
- 3GPP. Study on NR Sidelink Relay 3GPP Draft (RP) 192118; 3rd Generation Partnership Project (3GPP), 12; 3GPP: Tokyo, Japan, 2019; TSG RAN Meeting No. 86. [Google Scholar]
- Hunukumbure, M.; Moulsley, T.; Oyawoye, A.; Vadgama, S.; Wilson, M. D2D for energy efficient communications in disaster and emergency situations. In Proceedings of the 21st International Conference on Software, Telecommunications and Computer Networks, Softcomputing, Split, Croatia, 18–20 September 2013; p. 6671863. [Google Scholar]
- Lianghai, J.; Han, B.; Liu, M.; Schotten, H.D. Applying device-to-device communication to enhance IoT services. IEEE Commun. Stand. Mag. 2017, 1, 7992937. [Google Scholar] [CrossRef]
- Al-Salihi, N.K. Improvement of the Fault Tolerance in IoT Based Positioning Systems by Applying for Redundancy in the Controller Layer. Baghdad Sci. J. 2021, 18, 1303. [Google Scholar]
- Bhupati, C.; Sastry, J.K.R. Improving the fault tolerance of an IoT Network through power detection and Isolation. JIFS 2023, in press.
- Foead, D.; Ghifari, A.; Budi Kusuma, M.; Hanafiah, N.; Gunawan, E. A Systematic Literature Review of A* Pathfinding. Procedia Comput. Sci. 2021, 179, 507–514. [Google Scholar] [CrossRef]
- Xia, F.; Liu, J.; Nie, H.; Fu, Y.; Wan, L.; Kong, X. Random Walks: A Review of Algorithms and Applications. IEEE Trans. Emerg. Top. Comput. Intell. 2020, 4, 95–107. [Google Scholar] [CrossRef]
- Niranjane, P.B.; Amdanin, S.Y. Comparison of Variants of Yen’s Algorithm for Finding K-Simple Shortest Paths. In Proceedings of the 2nd International Conference on Intelligent Technologies (CONIT), Karnataka, India, 24–26 June 2022. [Google Scholar]
- Niemeyer, K.E.; Sung, C.-J. On the importance of graph search algorithms for DRGEP-based mechanism reduction methods. Combust. Flame 2011, 158, 1439–1443. [Google Scholar] [CrossRef]
- Mohanta, K.; Poddar, B.P. Comprehensive Study on Computational Methods for K-Shortest Paths Problem. Int. J. Comput. Appl. 2012, 40, 975–8887. [Google Scholar] [CrossRef]
- Brodnik, A.; Grgurovič, M. Solving all-pairs shortest path by single-source computations: Theory and practice. Discret. Appl. Math. 2017, 231, 119–130. [Google Scholar] [CrossRef]
- Alshammari, M.; Rezgui, A. A single-source shortest path algorithm for dynamic graphs. AKCE Int. J. Graphs Comb. 2020, 17, 1063–1068. [Google Scholar] [CrossRef]






| Node | Type of Node | Number of Bytes to Be Transmitted | Transmission Speed on Mbps | Latency in ms | Preceding Node | Distance in km |
|---|---|---|---|---|---|---|
| 1 | Cluster Head-1 | 3,000,000 | 11 | 0.273 | 0 | 0 |
| 2 | Cluster Head-2 | 3,000,000 | 11 | 0.273 | 0 | 0 |
| 3 | Cluster Head-3 | 3,000,000 | 11 | 0.273 | 0 | 0 |
| 4 | Cluster Head-4 | 3,000,000 | 11 | 0.273 | 0 | 0 |
| 5 | SWITCH-5 | 1,500,000 | 11 | 0.136 | 1 | 3 |
| 5 | SWITCH-5 | 1,500,000 | 11 | 0.136 | 2 | 2 |
| 6 | SWITCH-6 | 1,500,000 | 11 | 0.136 | 3 | 1 |
| 6 | SWITCH-6 | 1,500,000 | 11 | 0.136 | 2 | 2 |
| 6 | SWITCH-6 | 1,500,000 | 11 | 0.136 | 3 | 2 |
| 6 | SWITCH-6 | 1,500,000 | 11 | 0.136 | 4 | 1 |
| 7 | SWITCH-7 | 1,500,000 | 11 | 0.136 | 3 | 4 |
| 7 | SWITCH-7 | 1,500,000 | 11 | 0.136 | 4 | 1 |
| 8 | SWITCH-8 | 750,000 | 11 | 0.068 | 5 | 2 |
| 8 | SWITCH-8 | 750,000 | 11 | 0.068 | 6 | 1 |
| 8 | SWITCH-8 | 750,000 | 11 | 0.068 | 7 | 1 |
| 9 | SWITCH-9 | 750,000 | 11 | 0.068 | 5 | 4 |
| 9 | SWITCH-9 | 750,000 | 11 | 0.068 | 6 | 3 |
| 9 | SWITCH-9 | 750,000 | 11 | 0.068 | 7 | 2 |
| 10 | SWITCH-10 | 2,250,000 | 11 | 0.205 | 8 | 3 |
| 10 | SWITCH-10 | 2,250,000 | 11 | 0.205 | 9 | 2 |
| Source Node and Equation | Path Number | Path | Pruned Status Due to Failure of Node 6 |
|---|---|---|---|
| 1 | Path-1 | 1 + 5 + 8 + 10 | |
| 1 | Path-2 | 1 + 5 + 9 + 10 | |
| 1 | Path-3 | 1 + 6 + 8 + 10 | Pruned |
| 1 | Path-4 | 1 + 6 + 9 + 10 | Pruned |
| 2 | Path-5 | 2 + 5 + 8 + 10 | |
| 2 | Path-6 | 2 + 5 + 9 + 10 | |
| 2 | Path-7 | 2 + 6 + 8 + 10 | Pruned |
| 2 | Path-8 | 2 + 6 + 9 + 10 | Pruned |
| 3 | Path-9 | 3 + 6 + 8 + 10 | Pruned |
| 3 | Path-10 | 3 + 6 + 9 + 10 | Pruned |
| 3 | Path-11 | 3 + 7 + 8 + 10 | |
| 3 | Path-12 | 3 + 7 + 9 + 10 | |
| 4 | Path-13 | 4 + 6 + 8 + 10 | Pruned |
| 4 | Path-14 | 4 + 6 + 9 + 10 | Pruned |
| 4 | Path-15 | 4 + 7 + 8 + 10 | |
| 4 | Path-16 | 4 + 7 + 9 + 10 |
| Path | Distance in km | The Extent of Data to Be Transmitted in Bytes | The Extent of Data in Bytes to Be Transmitted/km |
|---|---|---|---|
| Path-1 = 1 + 5 + 8 + 10 | 2 + 2 + 3 = 7 | 1,500,000 + 750,000 + 2,250,000 = 4,500,000 | 642,857 |
| Path-2 = 1 + 5 + 9 + 10 | 2 + 4 + 2 = 8 | 500,000 + 750,000 + 2,250,000 = 4,500,000 | 562,500 |
| Path-5 = 2 + 5 + 8 + 10 | 2 + 2 + 3 = 7 | 500,000 + 750,000 + 2,250,000 = 4,500,000 | 642,857 |
| Path-6 = 2 + 5 + 9 + 10 | 2 + 4 + 2 = 8 | 500,000 + 750,000 + 2,250,000 = 4,500,000 | 562,500 |
| Path-11 = 3 + 7 + 8 + 10 | 4 + 1 + 3 = 8 | 500,000 + 750,000 + 2,250,000 = 4,500,000 | 562,500 |
| Path-12 = 3 + 7 + 9 + 10 | 4 + 1 + 2 = 7 | 500,000 + 750,000 + 2,250,000 = 4,500,000 | 642,857 |
| Path-15 = 4 + 7 + 8 + 10 | 1 + 1 + 5 = 7 | 500,000 + 750,000 + 2,250,000 = 4,500,000 | 642,857 |
| Path-16 = 4 + 7 + 9 + 10 | 1 + 1 + 2 = 4 | 500,000 + 750,000 + 2,250,000 = 4,500,000 | 112,500 |
| Sl. No | Device | Success Rate | Gates Used For Connection | Preceding Devices | Combined Success Rate | |||
|---|---|---|---|---|---|---|---|---|
| Device Name D1 | Device Name D2 | Device Name D3 | Device Name D4 | |||||
| Success Rate S1 | Success Rate S2 | Success Rate S3 | Success Rate S4 | |||||
| 1 | Cluster Head1 | 0.950 | 0.950 | |||||
| 2 | Cluster Head2 | 0.950 | 0.950 | |||||
| 3 | Cluster Head3 | 0.950 | 0.950 | |||||
| 4 | Cluster Head4 | 0.950 | 0.950 | |||||
| 5 | D1 | 0.950 | OR | Cluster Head1 0.950 | 0.950 | |||
| 6 | D2 | 0.950 | OR | Cluster Head2 0.950 | 0.950 | |||
| 7 | D3 | 0.950 | OR | Cluster Head3 0.950 | 0.950 | |||
| 8 | D4 | 0.950 | OR | Cluster Head4 0.950 | 0.950 | |||
| 9 | Device Level CrossBar NW | 0.987 | OR | D1 0.950 | 0.987 | |||
| 10 | Device Level CrossBar NW | Level | OR | D2 0.950 | 0.987 | |||
| 11 | Device Level CrossBar NW | 0.987 | OR | D3 0.950 | 0.987 | |||
| 12 | Device Level CrossBar NW | 0.987 | OR | D4 0.950 | 0.987 | |||
| 13 | D5 | 0.950 | OR | DLCB 0.987 | 0.987 | |||
| 14 | D6 | 0.950 | OR | DLCB 0.987 | 0.987 | |||
| 15 | D7 | 0.950 | OR | DLCB 0.987 | 0.987 | |||
| 16 | D8 | 0.950 | OR | DLCB 0.987 | 0.987 | |||
| 17 | BS1 | 0.950 | OR | D5 0.987 | D6 0.987 | D7 0.987 | D8 0.987 | 0.987 |
| 18 | RL1 | 0.950 | OR | CH1 0.950 | CH2 0.950 | 0.950 | ||
| 19 | RL2 | 0.950 | OR | CH2 0.950 | CH3 0.950 | 0.950 | ||
| 20 | RL3 | 0.950 | OR | CH3 0.950 | CH4 0.950 | 0.950 | ||
| 21 | RL4 | 0.950 | OR | RL1 0.950 | RL2 0.950 | 0.950 | ||
| 22 | RL5 | 0.950 | OR | RL1 0.950 | RL2 0.950 | 0.950 | ||
| 23 | BS2 | 0.950 | OR | RL4 0.950 | RL5 0.950 | 0.950 | ||
| 24 | Controller1 | 0.979 | OR | BS1 0.987 | BS2 0.950 | 0.987 | ||
| 25 | Controller2 | 0.979 | OR | BS1 0.987 | BS2 0.950 | 0.987 | ||
| 26 | Controller3 | 0.979 | OR | BS1 0.987 | BS2 0.950 | 0.987 | ||
| 27 | SERVER | 0.980 | OR | Controller1 0.987 | Controller2 0.987 | Controller3 0.987 | 0.987 | |
| 28 | GATEWAY | 0.980 | AND | SERVER 0.987 | 0.967 | |||
| 29 | INTERNET | 0.980 | AND | GATEWAY 0.967 | 0.948 | |||
| Serial Number | Type of Method | Complexity | Number of Operations |
|---|---|---|---|
| 1 | A* [43] | (ne/2) | 6400 |
| 2 | Graph Search Algorithms [46] | (ne) | 128,000 |
| 3 | Yen shortest paths citeref-journal45 | kn + m × log m | 170 |
| 4 | All Pair’s shortest paths [48] | m × n + m × log n | 110 |
| 5 | Random walk [44] | n × e | 160 |
| 6 | Single Source shortest path [49] | f + f × log(f) | 62 |
| 7 | Algebraic method | n × Max(e) form a Node | 20 |
| Serial Number | Type of Method | Fault Tree Value |
|---|---|---|
| 1 | Prototype network [11] | 0.780 |
| 2 | Prototype with Changes Made in the device Levels—Proposed method [42] | 0.827 |
| 3 | Prototype with Changes Made in the device Level and controller Layer | 0.948 |
| Parameter | Sample IoT Network | Revised Network |
|---|---|---|
| Number of controllers | 3 | 3 |
| Number of base stations | 1 | 2 |
| Number of paths connecting the controllers and the base stations | 3 | 6 |
| Number of paths connecting the cluster heads and base stations | 4 | 16 |
| Fault tolerance in the event of failure of connectivity of a controller with a base station | 0.67 | 0.670 |
| Fault tolerance in the event of failure of connectivity of a cluster head to a base station | 0.67 | 0.948 |
| Fault tolerance considering independent failures in the controller layer | 0.45 | 0.640 |
Disclaimer/Publisher’s Note: The statements, opinions and data contained in all publications are solely those of the individual author(s) and contributor(s) and not of MDPI and/or the editor(s). MDPI and/or the editor(s) disclaim responsibility for any injury to people or property resulting from any ideas, methods, instructions or products referred to in the content. |
© 2023 by the authors. Licensee MDPI, Basel, Switzerland. This article is an open access article distributed under the terms and conditions of the Creative Commons Attribution (CC BY) license (https://creativecommons.org/licenses/by/4.0/).
Share and Cite
Sastry, J.K.R.; Ch, B.; Budaraju, R.R. Implementing Dual Base Stations within an IoT Network for Sustaining the Fault Tolerance of an IoT Network through an Efficient Path Finding Algorithm. Sensors 2023, 23, 4032. https://doi.org/10.3390/s23084032
Sastry JKR, Ch B, Budaraju RR. Implementing Dual Base Stations within an IoT Network for Sustaining the Fault Tolerance of an IoT Network through an Efficient Path Finding Algorithm. Sensors. 2023; 23(8):4032. https://doi.org/10.3390/s23084032
Chicago/Turabian StyleSastry, J. K. R., Bhupati Ch, and Raja Rao Budaraju. 2023. "Implementing Dual Base Stations within an IoT Network for Sustaining the Fault Tolerance of an IoT Network through an Efficient Path Finding Algorithm" Sensors 23, no. 8: 4032. https://doi.org/10.3390/s23084032
APA StyleSastry, J. K. R., Ch, B., & Budaraju, R. R. (2023). Implementing Dual Base Stations within an IoT Network for Sustaining the Fault Tolerance of an IoT Network through an Efficient Path Finding Algorithm. Sensors, 23(8), 4032. https://doi.org/10.3390/s23084032

