A New Design to Rayleigh Wave EMAT Based on Spatial Pulse Compression
Abstract
1. Introduction
2. Theory
2.1. RW-EMAT with UES
2.2. Temporal Pulse Compression
2.3. Spatial Pulse Compression
3. Method and Design
3.1. Wavelength Modulated Method
3.2. Wavelength Modulation Parameters
4. FE Simulation
4.1. Finite Element Model for RW-EMAT with UES
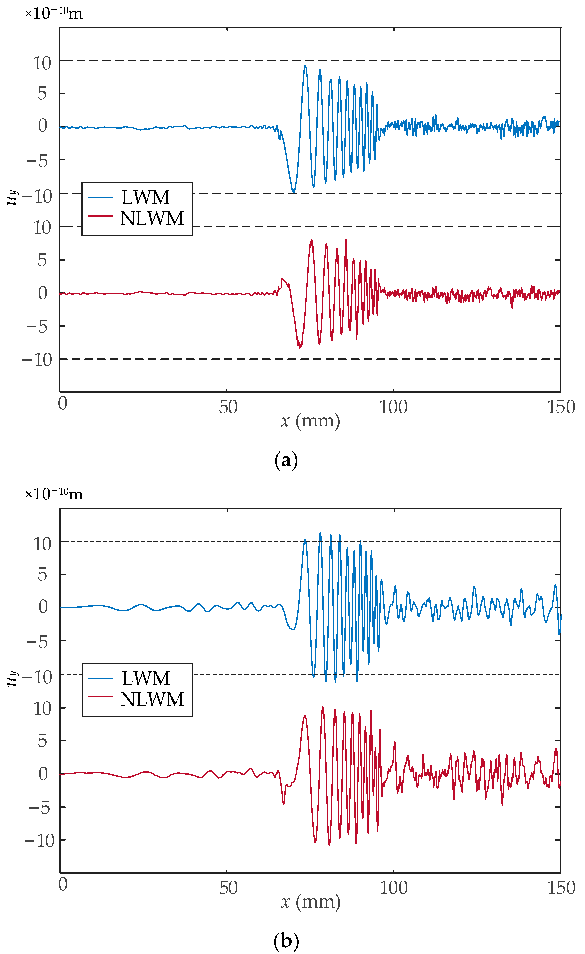
4.2. Simulation Results
- Case 1: Coil A and B are the same structure (LWM or NLWM), and a rectangular current pulse with a peak value of 10A and a width of 0.5 μs is applied to transmitter A;
- Case 2: Coil A is a linear coil, while coil B has an LWM or NLWM structure. An LFM or NLFM current pulse corresponding to coil B’s structure is supplied to transmitter A.
5. Experimental Validation
6. Conclusions
Author Contributions
Funding
Institutional Review Board Statement
Informed Consent Statement
Data Availability Statement
Conflicts of Interest
References
- Sun, H.; Uchimoto, T.; Takagi, T. New Combination of Magnet and Coil of Electromagnetic Acoustic Transducer for Generating and Detecting Rayleigh Wave. IEEE Trans. Ultrason. Ferroelectr. Freq. Control 2020, 67, 832–839. [Google Scholar] [CrossRef]
- Edwards, R.S.; Dixon, S.; Jian, X. Characterisation of Defects in the Railhead Using Ultrasonic Surface Waves. NDT E Int. 2006, 39, 468–475. [Google Scholar] [CrossRef]
- Petcher, P.A.; Potter, M.D.G.; Dixon, S. A New Electromagnetic Acoustic Transducer (EMAT) Design for Operation on Rail. NDT E Int. 2014, 65, 1–7. [Google Scholar] [CrossRef]
- Shi, W.; Chen, W.; Lu, C.; Cheng, J.; Chen, Y. Application of Chirp Pulse Compression Technique to a High-Temperature EMAT with a Large Lift-Off. Int. J. Appl. Electromagn. Mech. 2021, 65, 181–196. [Google Scholar] [CrossRef]
- Zhai, G.; Liang, B.; Li, X.; Ge, Y.; Wang, S. High-Temperature EMAT with Double-Coil Configuration Generates Shear and Longitudinal Wave Modes in Paramagnetic Steel. NDT E Int. 2022, 125, 102572. [Google Scholar] [CrossRef]
- Hu, S.; Shi, W.; Lu, C.; Chen, Y.; Chen, G.; Shen, G. Rapid Detection of Cracks in the Rail Foot by Ultrasonic B-Scan Imaging Using a Shear Horizontal Guided Wave Electromagnetic Acoustic Transducer. NDT E Int. 2021, 120, 102437. [Google Scholar] [CrossRef]
- Han, S.-W.; Cho, S.-H.; Jang, G.-W.; Park, J.-H. Non-Contact Inspection of Rail Surface and Internal Defects Based on Electromagnetic Ultrasonic Transducers. J. Intell. Mater. Syst. Struct. 2016, 27, 427–434. [Google Scholar] [CrossRef]
- Kang, L.; Zhang, C.; Dixon, S.; Zhao, H.; Hill, S.; Liu, M. Enhancement of Ultrasonic Signal Using a New Design of Rayleigh-Wave Electromagnetic Acoustic Transducer. NDT E Int. 2017, 86, 36–43. [Google Scholar] [CrossRef]
- Thring, C.B.; Hill, S.J.; Dixon, S.; Edwards, R.S. The Effect of EMAT Coil Geometry on the Rayleigh Wave Frequency Behaviour. Ultrasonics 2019, 99, 105945. [Google Scholar] [CrossRef]
- Tkocz, J.; Dixon, S. Electromagnetic Acoustic Transducer Optimisation for Surface Wave Applications. NDT E Int. 2019, 107, 102142. [Google Scholar] [CrossRef]
- Ren, W.; He, J.; Dixon, S.; Xu, K. Enhancement of EMAT’s Efficiency by Using Silicon Steel Laminations Back-Plate. Sens. Actuators Phys. 2018, 274, 189–198. [Google Scholar] [CrossRef]
- Zhou, J.; Zheng, Y. Broadband Linear High-Power Amplifier Based on the Parallel Amplification Architecture for Electromagnetic Ultrasonic Guided Wave. Sensors 2019, 19, 2924. [Google Scholar] [CrossRef]
- Nishimura, Y.; Akimoto, N.; Fukuda, K.; Hayashi, T.; Ikeda, E.; Uchibe, G. Electromagnetic Nondestructive Evaluation (XX). In Impedance Matching Using Variable Capacitors in Electromagnetic Ultrasonic Flaw Detection; IOS Press: Amsterdam, The Netherlands, 2017; Volume 42, pp. 165–172. [Google Scholar] [CrossRef]
- Zao, Y.; Ouyang, Q.; Chen, J.; Zhang, X.; Hou, S. Design and Implementation of Improved LsCpLp Resonant Circuit for Power Supply for High-Power Electromagnetic Acoustic Transducer Excitation. Rev. Sci. Instrum. 2017, 88, 084707. [Google Scholar] [CrossRef]
- Ogi, H.; Hirao, M.; Ohtani, T. Flaw Detection by Line-Focusing Electromagnetic Acoustic Transducers. In Proceedings of the 1997 IEEE Ultrasonics Symposium Proceedings, Toronto, ON, Canada, 5–8 October 1997; Volums 1–2, pp. 653–656. [Google Scholar]
- Jia, X.; Ouyang, Q. Optimal Design of Point-Focusing Shear Vertical Wave Electromagnetic Ultrasonic Transducers Based on Orthogonal Test Method. IEEE Sens. J. 2018, 18, 8064–8073. [Google Scholar] [CrossRef]
- Huang, S.; Sun, H.; Wang, S.; Wang, Q.; Zhao, W. Numerical Evaluation of Focal Position Selection by Line-Focusing Electromagnetic Acoustic Transducer with Experimental Validation. Int. J. Appl. Electromagn. Mech. 2019, 61, 341–355. [Google Scholar] [CrossRef]
- Lunden, J.; Koivunen, V. Automatic Radar Waveform Recognition. IEEE J. Sel. Top. Signal Process. 2007, 1, 124–136. [Google Scholar] [CrossRef]
- Blunt, S.D.; Mokole, E.L. Overview of Radar Waveform Diversity. IEEE Aerosp. Electron. Syst. Mag. 2016, 31, 2–41. [Google Scholar] [CrossRef]
- Ermolov, V.; StorPellinen, J.; Luukkala, M. Analog Pulse Compression System for Real-Time Ultrasonic Non-Destructive Testing. Ultrasonics 1996, 34, 655–660. [Google Scholar] [CrossRef]
- Li, H.; Zhou, Z. Application of P4 Polyphase Codes Pulse Compression Method to Air-Coupled Ultrasonic Testing Systems. Ultrasonics 2017, 78, 57–69. [Google Scholar] [CrossRef]
- Mitsuta, H.; Sakai, K. High Sensitivity Detection of Ultrasonic Signal for Nondestructive Inspection Using Pulse Compression Method. Microelectron. Reliab. 2019, 92, 172–178. [Google Scholar] [CrossRef]
- Zhang, J.; Gang, T.; Ye, C.; Cong, S. Low Sidelobe Level and High Time Resolution for Metallic Ultrasonic Testing with Linear-Chirp-Golay Coded Excitation. Nondestruct. Test. Eval. 2018, 33, 213–228. [Google Scholar] [CrossRef]
- Hua, J.; Zeng, L.; Lin, J.; Huang, L. Excitation Series Design and Pulse Compression Synthesis for High-Resolution Lamb Wave Inspection. Struct. Health Monit. 2019, 18, 1464–1478. [Google Scholar] [CrossRef]
- Hirata, S.; Hagihara, Y.; Yoshida, K.; Yamaguchi, T.; Toulemonde, M.E.G.; Tang, M.-X. Evaluation of Contrast Enhancement Ultrasound Images of Sonazoid Microbubbles in Tissue-Mimicking Phantom Obtained by Optimal Golay Pulse Compression. Jpn. J. Appl. Phys. 2022, 61, SG1015. [Google Scholar] [CrossRef]
- Maeda, T.; Tanaka, N. Sensitivity Time Control for Chirp Transmission. Acoust. Sci. Technol. 2018, 39, 256–258. [Google Scholar] [CrossRef]
- Burrascano, P.; Laureti, S.; Hutchins, D.; Ricci, M.; Senni, L. A Pulse Compression Procedure for the Measurement and Characterization of Non-Linear Systems Based on Exponential Chirp Signals. In Proceedings of the 2015 Ieee International Ultrasonics Symposium (IUS), Taipei, Taiwan, 21–24 October 2015. [Google Scholar]
- Isla, J.; Cegla, F. Coded Excitation for Pulse-Echo Systems. IEEE Trans. Ultrason. Ferroelectr. Freq. Control 2017, 64, 736–748. [Google Scholar] [CrossRef]
- Benes, E.; Groschl, M.; Burger, W.; Schmid, M. Sensors Based on Piezoelectric Resonators. Sens. Actuators-Phys. 1995, 48, 1–21. [Google Scholar] [CrossRef]
- Zhai, G.; Jiang, T.; Kang, L. Analysis of Multiple Wavelengths of Lamb Waves Generated by Meander-Line Coil EMATs. Ultrasonics 2014, 54, 632–636. [Google Scholar] [CrossRef]
- Matthaei, G. Acoustic Surface-Wave Transversal Filters. IEEE Trans. Circuit Theory 1973, 20, 459–470. [Google Scholar] [CrossRef]
- Tancrell, R.H.; Holland, M.G. Acoustic Surface Wave Filters. Proc. IEEE 1971, 59, 17. [Google Scholar] [CrossRef]
- Arthur, J.W. Modern SAW-Based Pulse Compression Systems for Radar Applications. Part 2: Practical Systems. Electron. Commun. Eng. J. 1996, 8, 57–78. [Google Scholar] [CrossRef]
- Edmonson, P.J.; Hunt, W.D. Surface Acoustic Wave Sensors: Attributes and Advantages. In Proceedings of the Rawcon: 2004 IEEE Radio and Wireless Conference, Atlanta, GA, USA, 22 September 2004; pp. 47–50. [Google Scholar]
- Ogi, H.; Hirao, M.; Ohtani, T. Line-Focusing of Ultrasonic SV Wave by Electromagnetic Acoustic Transducer. J. Acoust. Soc. Am. 1998, 103, 2411–2415. [Google Scholar] [CrossRef]
- Hirao, M.; Ogi, H. Electromagnetic Acoustic Transducers: Noncontacting Ultrasonic Measurements Using EMATs; Springer Series in Measurement Science and Technology; Springer: Tokyo, Japan, 2017; ISBN 978-4-431-56034-0. [Google Scholar]
- Feng, J.; Li, Q.; Xiao, Q.; Wang, G. A Method of Rayleigh Wave Combined with Coil Spatial Pulse Compression Technique for Crack Defects Detection. IEEE Trans. Instrum. Meas. 2023, 72, 1–11. [Google Scholar] [CrossRef]
- Jiang, C.-L.; Li, Z.-P.; Wang, S.-J.; Wang, S.-B.; Yang, R. Meander Line Coil EMAT Based on Spatial Pulse Compression for Rayleigh Waves. In Proceedings of the 2020 IEEE Far East NDT New Technology Application Forum (FENDT), Kunming, China, 20–22 November 2020; pp. 41–45. [Google Scholar]
- Lin, J.; Hua, J.; Zeng, L.; Luo, Z. Excitation Waveform Design for Lamb Wave Pulse Compression. IEEE Trans. Ultrason. Ferroelectr. Freq. Control 2016, 63, 165–177. [Google Scholar] [CrossRef]
- Thomas, S.; Muazu, H.; Zarma, T.A.; Galadima, A. Finite Element Analysis of EMAT Using Comsol Multiphysics. In Proceedings of the 2017 13th International Conference on Electronics, Computer and Computation (ICECCO), Abuja, Nigeria, 28–29 November 2017. [Google Scholar] [CrossRef]
- Zhang, K.; Yi, P.; Li, Y.; Zhang, X.; Guan, Z. Numerical Investigation of the Lift-Off Effect on the Cut-Off Frequency in the Rayleigh Wave. In Proceedings of the 16th International Conference on Mechatronics-Mechatronika 2014, Brno, Czech Republic, 3–5 December 2014; pp. 411–415. [Google Scholar]














| Case | MLW | SNR |
|---|---|---|
| LWM for case 1 | 0.18 μs | 14.8 dB |
| NLWM for case 1 | 0.20 μs | 17.3 dB |
| LWM for case 2 | 0.21 μs | 16.8 dB |
| NLWM for case 2 | 0.22 μs | 17.6 dB |
| ES for case 1 | - | 7.7 dB |
| ES for case 2 | - | 7.5 dB |
| Case | LWM/ES | NLWM/ES |
|---|---|---|
| case 1 | 2.59 | 2.52 |
| case 2 | 2.33 | 2.42 |
Disclaimer/Publisher’s Note: The statements, opinions and data contained in all publications are solely those of the individual author(s) and contributor(s) and not of MDPI and/or the editor(s). MDPI and/or the editor(s) disclaim responsibility for any injury to people or property resulting from any ideas, methods, instructions or products referred to in the content. |
© 2023 by the authors. Licensee MDPI, Basel, Switzerland. This article is an open access article distributed under the terms and conditions of the Creative Commons Attribution (CC BY) license (https://creativecommons.org/licenses/by/4.0/).
Share and Cite
Jiang, C.; Li, Z.; Zhang, Z.; Wang, S. A New Design to Rayleigh Wave EMAT Based on Spatial Pulse Compression. Sensors 2023, 23, 3943. https://doi.org/10.3390/s23083943
Jiang C, Li Z, Zhang Z, Wang S. A New Design to Rayleigh Wave EMAT Based on Spatial Pulse Compression. Sensors. 2023; 23(8):3943. https://doi.org/10.3390/s23083943
Chicago/Turabian StyleJiang, Chuanliu, Zhichao Li, Zeyang Zhang, and Shujuan Wang. 2023. "A New Design to Rayleigh Wave EMAT Based on Spatial Pulse Compression" Sensors 23, no. 8: 3943. https://doi.org/10.3390/s23083943
APA StyleJiang, C., Li, Z., Zhang, Z., & Wang, S. (2023). A New Design to Rayleigh Wave EMAT Based on Spatial Pulse Compression. Sensors, 23(8), 3943. https://doi.org/10.3390/s23083943

