SAR Image Simulations of Ocean Scenes Based on the Improved Facet TSM
Abstract
1. Introduction
2. Simplified Form of Cutoff Invariant TSM
2.1. Cutoff Invariant TSM
2.2. Simplification of CITSM
3. Facet-based Scattering Model
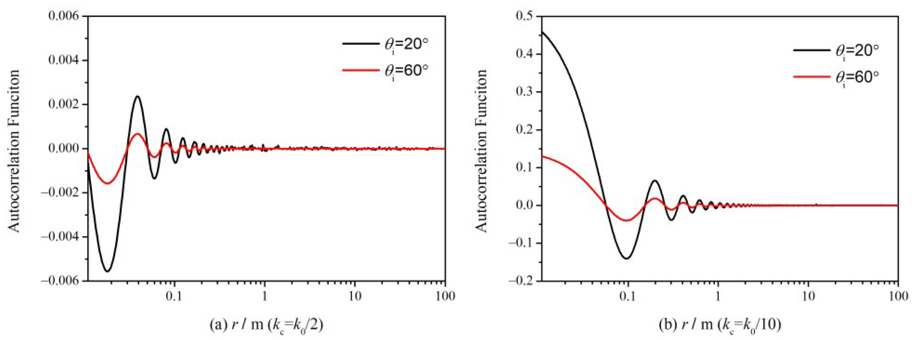
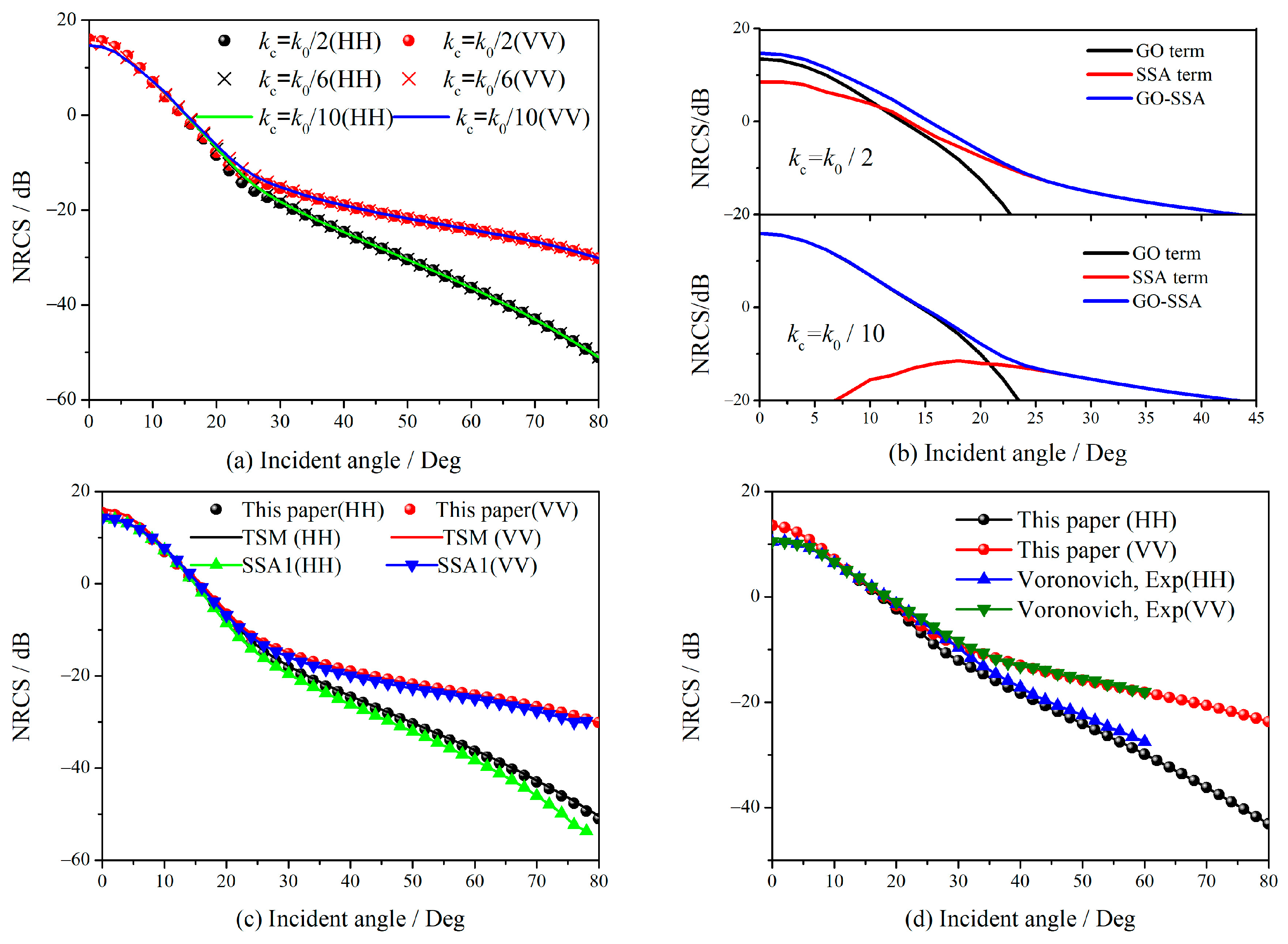
3.1. Discussion of the Facet Size
3.2. Facet-Based TSM
4. SAR Image Simulations of Ocean Scenes
5. Conclusions
Author Contributions
Funding
Institutional Review Board Statement
Informed Consent Statement
Data Availability Statement
Acknowledgments
Conflicts of Interest
References
- Graziano, M.D.; Grasso, M.; Errico, M.D’. Performance analysis of ship wake detection on Sentinel-1 SAR images. Remote Sens. 2017, 9, 1107. [Google Scholar] [CrossRef]
- Fuks, I.M.; Voronovich, A.G. Wave diffraction by rough interfaces in an arbitrary plane-layered medium. Waves Random Media 2000, 10, 253–272. [Google Scholar] [CrossRef]
- Barrick, D. Rough surface scattering based on the specular point theory. IEEE Trans. Antennas Propag. 1968, 16, 449–454. [Google Scholar] [CrossRef]
- Voronovich, A. Small-slope approximation for electromagnetic wave scattering at a rough interface of two dielectric half-spaces. Waves Random Media 1994, 4, 337–368. [Google Scholar] [CrossRef]
- Fung, A.K.; Liu, W.Y.; Chen, K.S.; Tsay, M.K. An improved IEM model for bistatic scattering from rough surfaces. J. Electromagn. Waves Appl. 2002, 16, 689–702. [Google Scholar] [CrossRef]
- Qiao, T.; Tsang, L.; Vandemark, D.; Yueh, S.H.; Chapron, B. Sea surface radar scattering at L-band based on numerical solution of Maxwell’s equations in 3-D (NMM3D). IEEE Trans. Geosci. Remote Sens. 2018, 56, 3137–3147. [Google Scholar] [CrossRef]
- Lai, Z.H.; Kiang, J.F.; Mittra, R. A domain decomposition finite difference time domain (FDTD) method for scattering problem from very large rough surfaces. IEEE Trans. Antennas Propag. 2015, 63, 4468–4476. [Google Scholar] [CrossRef]
- Wang, R.; Guo, L.; Zhang, Z. Scattering from contaminated rough sea surface by iterative physical optics model. IEEE Geosci. Remote Sens. Lett. 2016, 13, 500–504. [Google Scholar] [CrossRef]
- Xu, F.; Jin, Y.Q. Bidirectional analytic ray tracing for fast computation of composite scattering from electric-large target over a randomly rough surface. IEEE Trans. Antennas Propag. 2009, 57, 1495–1505. [Google Scholar] [CrossRef]
- Du, Y.; Yin, J.; Tan, S.; Wang, J.; Yang, J.Y. A numerical study of roughness scale effects on ocean radar scattering using the second-order SSA and the moment method. IEEE Trans. Geosci. Remote Sens. 2020, 58, 6874–6887. [Google Scholar] [CrossRef]
- Franceschetti, G.; Migliaccio, M.; Riccio, D. On ocean SAR raw signal simulation. IEEE Trans. Geosci. Remote Sens. 1998, 36, 84–100. [Google Scholar] [CrossRef]
- Franceschetti, G.; Iodice, A.; Riccio, D.; Ruello, G.; Siviero, R. SAR raw signal simulation of oil slicks in ocean environments. IEEE Trans. Geosci. Remote Sens. 2002, 40, 1935–1949. [Google Scholar] [CrossRef]
- Arnold-Bos, A.; Khenchaf, A.; Martin, A. Bistatic radar imaging of the marine environment—Part I: Theoretical background. IEEE Trans. Geosci. Remote Sens. 2007, 45, 3372–3383. [Google Scholar] [CrossRef]
- Arnold-Bos, A.; Khenchaf, A.; Martin, A. Bistatic radar imaging of the marine environment—Part II: Simulation and results analysis. IEEE Trans. Geosci. Remote Sens. 2007, 45, 3384–3396. [Google Scholar] [CrossRef]
- Hui, C.; Min, Z.; Zhao, Y.W.; Luo, W. An efficient slope-deterministic facet model for SAR imagery simulation of marine scene. IEEE Trans. Antennas Propag. 2010, 58, 3751–3756. [Google Scholar] [CrossRef]
- Zhang, X.; Wu, Z.S.; Su, X. Electromagnetic scattering from deterministic sea surface with oceanic internal waves via the variable-coefficient gardener model. IEEE J. Sel. Top Appl. Earth Obs. Remote Sens. 2017, 11, 355–366. [Google Scholar] [CrossRef]
- Zhang, M.; Chen, H.; Yin, H.C. Facet-based investigation on EM scattering from electrically large sea surface with two-scale profiles: Theoretical model. IEEE Trans. Geosci. Remote Sens. 2011, 49, 1967–1975. [Google Scholar] [CrossRef]
- Li, J.; Zhang, M.; Fan, W.; Nie, D. Facet-based investigation on microwave backscattering from sea surface with breaking waves: Sea spikes and SAR imaging. IEEE Trans. Geosci. Remote Sens. 2017, 55, 2313–2325. [Google Scholar] [CrossRef]
- Wei, Y.; Guo, L.; Li, J. Numerical simulation and analysis of the spiky sea clutter from the sea surface with breaking waves. IEEE Trans. Antennas Propag. 2015, 63, 4983–4994. [Google Scholar] [CrossRef]
- Linghu, L.; Wu, J.; Wu, Z.; Jeon, G.; Wang, X.L. GPU-accelerated computation of time-evolving electromagnetic backscattering field from large dynamic sea surfaces. IEEE Trans. Industr. Inform. 2019, 16, 3187–3197. [Google Scholar] [CrossRef]
- Li, J.; Zhang, M.; Wei, P.; Jiang, W. An improvement on SSA method for EM scattering from electrically large rough sea surface. IEEE Trans. Geosci. Remote Sens. Lett. 2016, 13, 1144–1148. [Google Scholar] [CrossRef]
- Li, J.; Zhang, M.; Zhao, Y.; Jiang, W. Efficient numerical full-polarized facet-based model for EM scattering from rough sea surface within a wide frequency range. Remote Sens. 2019, 11, 75. [Google Scholar] [CrossRef]
- Li, D.; Zhao, Z.; Zhao, Y.; Huang, Y.; Nie, Z. A Modified model for electromagnetic scattering of sea surface covered with crest foam and static foam. Remote Sens. 2020, 12, 788. [Google Scholar] [CrossRef]
- Soriano, G.; Guérin, C.A. A cutoff invariant two-scale model in electromagnetic scattering from sea surfaces. IEEE Geosci. Remote Sens. Lett. 2008, 5, 199–203. [Google Scholar] [CrossRef]
- Awada, A.; Ayari, M.; Khenchaf, A.; Coatanhay, A. Bistatic scattering from an anisotropic sea surface: Numerical comparison between the first-order SSA and the TSM models. Waves Random Complex Media 2006, 16, 383–394. [Google Scholar] [CrossRef]
- Wang, T.; Tong, C. An improved facet-based TSM for electromagnetic scattering from ocean surface. IEEE Geosci. Remote Sens. 2018, 15, 644–648. [Google Scholar] [CrossRef]
- Voronovich, A.G.; Zavorotny, V.U. Theoretical model for scattering of radar signals in Ku- and C- bands from a rough sea surface with breaking waves. Waves Random Complex Media 2001, 11, 247–269. [Google Scholar] [CrossRef]
- Elfouhaily, T.; Chapron, B.; Katsaros, K. A unified directional spectrum for long and short wind-driven waves. J. Geophys. Res. 1997, 102, 15781–15796. [Google Scholar] [CrossRef]
- Thompson, D.R.; Elfouhaily, T.; Garrison, J.L. An improved geometrical optics model for bistatic GPS scattering from the ocean surface. IEEE Trans. Geosci. Remote Sens. 2005, 43, 2810–2821. [Google Scholar] [CrossRef]
- Tsang, L.; Kong, J.A. Scattering of Electromagnetic Waves: Advanced Topics; Wiley: New York, NY, USA, 2001; pp. 83–90. [Google Scholar]
- Cox, C.; Munk, W.H. Statistics of the sea surface derived from sun glitter. J. Mar. Res. 1954, 13, 198–227. [Google Scholar]
- Boisot, O.; Nouguier, F.; Chapron, B.; Guerin, C.A. The GO4 model in near-nadir microwave scattering from the sea surface. IEEE Trans. Geosci. Remote Sens. 2015, 53, 5889–5900. [Google Scholar] [CrossRef]
- Martino, G.D.; Iodice, A.; Riccio, D.; Ruello, G. Physical models for SAR speckle simulation. In Proceedings of the International Geoscience and Remote Sensing Symposium (IGARSS), Munich, Germany, 22–27 July 2012; pp. 5782–5785. [Google Scholar] [CrossRef]
- Martino, G.D.; Iodice, A.; Riccio, D.; Ruello, G. Equivalent number of scatterers for SAR speckle modeling. IEEE Trans. Geosci. Remote Sens. 2013, 52, 2555–2564. [Google Scholar] [CrossRef]
- Yue, D.X.; Xu, F.; Frery, A.C.; Jin, Y.Q. A generalized gaussian coherent scatterer model for correlated SAR texture. IEEE Trans. Geosci. Remote Sens. 2019, 58, 2947–2964. [Google Scholar] [CrossRef]
- Oumansour, K.; Wang, Y.; Saillard, J. Multifrequency SAR observation of a ship wake. IET Radar Sonar Navig. 1996, 143, 275–280. [Google Scholar] [CrossRef]
- Tings, B.; Velotto, D. Comparison of ship wake detectability on C-band and X-band SAR. Int. J. Remote Sens. 2018, 39, 4451–4468. [Google Scholar] [CrossRef]











| Parameter | Value |
|---|---|
| Carrier frequency f (GHz) | 14 |
| Pulsed duration (us) | 2 |
| Bandwidth (MHz) | 200 |
| Radar velocity v (m/s) | 300 |
| Azimuth antenna dimension L (m) | 3 |
Disclaimer/Publisher’s Note: The statements, opinions and data contained in all publications are solely those of the individual author(s) and contributor(s) and not of MDPI and/or the editor(s). MDPI and/or the editor(s) disclaim responsibility for any injury to people or property resulting from any ideas, methods, instructions or products referred to in the content. |
© 2023 by the authors. Licensee MDPI, Basel, Switzerland. This article is an open access article distributed under the terms and conditions of the Creative Commons Attribution (CC BY) license (https://creativecommons.org/licenses/by/4.0/).
Share and Cite
Wang, T.; Li, X.; Wang, Y. SAR Image Simulations of Ocean Scenes Based on the Improved Facet TSM. Sensors 2023, 23, 2564. https://doi.org/10.3390/s23052564
Wang T, Li X, Wang Y. SAR Image Simulations of Ocean Scenes Based on the Improved Facet TSM. Sensors. 2023; 23(5):2564. https://doi.org/10.3390/s23052564
Chicago/Turabian StyleWang, Tong, Ximin Li, and Yijin Wang. 2023. "SAR Image Simulations of Ocean Scenes Based on the Improved Facet TSM" Sensors 23, no. 5: 2564. https://doi.org/10.3390/s23052564
APA StyleWang, T., Li, X., & Wang, Y. (2023). SAR Image Simulations of Ocean Scenes Based on the Improved Facet TSM. Sensors, 23(5), 2564. https://doi.org/10.3390/s23052564
