H-Shaped Radial Phononic Crystal for High-Quality Factor on Lamb Wave Resonators
Abstract
1. Introduction
2. Materials and Methods
2.1. Radial Phonon Crystal Model
2.2. Theoretical Method
3. Ultra-Wideband Gap Characteristics of H-RPC
3.1. Ultra-Wideband Gap Structure
3.2. Frequency Response
3.3. The Influence of Geometric Parameters on Ultra-Wideband Band Gap
4. LWR Design and Analysis Results
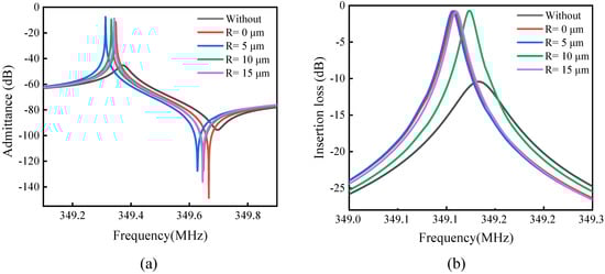
4.1. LWR Design
4.2. Analysis Results
5. Conclusions
Author Contributions
Funding
Institutional Review Board Statement
Informed Consent Statement
Data Availability Statement
Conflicts of Interest
References
- Liu, Y.; Cai, Y.; Zhang, Y.; Tovstopyat, A.; Liu, S.; Sun, C. Materials, Design, and Characteristics of Bulk Acoustic Wave Resonator: A Review. Micromachines 2020, 11, 630. [Google Scholar] [CrossRef]
- Zou, J.; Lin, C.-M.; Pisano, A.P. Quality factor enhancement in lamb wave resonators utilizing butterfly-shaped AlN plates. In Proceedings of the 2014 IEEE International Ultrasonics Symposium, Chicago, IL, USA, 3–6 September 2014; pp. 81–84. [Google Scholar]
- Tong, Y.; Han, T. Anchor Loss Reduction of Lamb Wave Resonator by Pillar-Based Phononic Crystal. Micromachines 2021, 12, 62. [Google Scholar] [CrossRef] [PubMed]
- Qian, J.; Begum, H.; Lee, J.E.-Y. Acoustofluidic Localization of Sparse Particles on a Piezoelectric Resonant Sensor for Nanogram-Scale Mass Measurements. Microsyst. Nanoeng. 2021, 7, 61. [Google Scholar] [CrossRef] [PubMed]
- Zou, J.; Liu, J.; Tang, G. Transverse Spurious Mode Compensation for AlN Lamb Wave Resonators. IEEE Access 2019, 7, 67059–67067. [Google Scholar] [CrossRef]
- Lin, C.; Yen, T.; Lai, Y.; Felmetsger, V.V.; Hopcroft, M.A.; Kuypers, J.H.; Pisano, A.P. Temperature-Compensated Aluminum Nitride Lamb Wave Resonators. IEEE Trans. Ultrason. Ferroelect. Freq. Contr. 2010, 57, 524–532. [Google Scholar] [CrossRef] [PubMed]
- Lin, C.-M.; Yantchev, V.; Zou, J.; Chen, Y.-Y.; Pisano, A.P. Micromachined One-Port Aluminum Nitride Lamb Wave Resonators Utilizing the Lowest-Order Symmetric Mode. J. Microelectromech. Syst. 2014, 23, 78–91. [Google Scholar] [CrossRef]
- Wu, G.; Zhu, Y.; Merugu, S.; Wang, N.; Sun, C.; Gu, Y. GHz Spurious Mode Free AlN Lamb Wave Resonator with High Figure of Merit Using One Dimensional Phononic Crystal substrates. Appl. Phys. Lett. 2016, 109, 13506. [Google Scholar] [CrossRef]
- Harrington, B.P.; Abdolvand, R. In-Plane Acoustic Reflectors for Reducing Effective Anchor Loss in Lateral–Extensional MEMS Resonators. J. Micromech. Microeng. 2011, 21, 85021. [Google Scholar] [CrossRef]
- Di, X.; Lee, J.E.-Y. Reducing anchor loss in piezoelectric-on-silicon laterally vibrating resonators by combination of etched-slots and convex edges. In Proceedings of the 2015 Transducers—2015 18th International Conference on Solid-State Sensors, Actuators and Microsystems (TRANSDUCERS), Anchorage, AK, USA, 21–25 June 2015; pp. 2033–2036. [Google Scholar]
- Zhu, H.; Lee, J.E.-Y. AlN piezoelectric on silicon MEMS resonator with boosted Q using planar patterned phononic crystals on anchors. In Proceedings of the 2015 28th IEEE International Conference on Micro Electro Mechanical Systems (MEMS), Estoril, Portugal, 18–22 January 2015; pp. 797–800. [Google Scholar]
- Tu, C.; Lee, J.E.-Y.; Zhang, X.-S. Dissipation Analysis Methods and Q-Enhancement Strategies in Piezoelectric MEMS Laterally Vibrating Resonators: A Review. Sensors 2020, 20, 4978. [Google Scholar] [CrossRef]
- Lu, R.; Manzaneque, T.; Yang, Y.; Gong, S. Lithium Niobate Phononic Crystals for Tailoring Performance of RF Laterally Vibrating Devices. IEEE Trans. Ultrason. Ferroelect. Freq. Contr. 2018, 65, 934–944. [Google Scholar] [CrossRef]
- Kuo, N.K.; Piazza, G. Ultra high frequency air/aluminum nitride fractal phononic crystals. In Proceedings of the 2011 Joint Conference of the IEEE International Frequency Control and the European Frequency and Time Forum (FCS), San Francisco, CA, USA, 2–5 May 2011; pp. 1–4. [Google Scholar]
- Bao, F.-H.; Wu, X.-Q.; Zhou, X.; Zhang, X.-S. Spider Web-Like Phononic Crystals for Piezoelectric Mems Resonators to Reduce Acoustic Energy Dissipation. Micromachines 2019, 10, 626. [Google Scholar] [CrossRef]
- Lin, C.M.; Hsu, J.C.; Senesky, D.G.; Pisano, A.P. Anchor Loss Reduction in ALN Lamb Wave Resonators Using Phononic Crystal Strip Tethers. In Proceedings of the 2014 IEEE International Frequency Control Symposium (FCS), Taipei, Taiwan, 19–22 May 2014; pp. 1–5. [Google Scholar]
- Zou, J.; Lin, C.-M.; Tang, G.; Pisano, A.P. High- ${Q}$ Butterfly-Shaped AlN Lamb Wave Resonators. IEEE Electron Device Lett. 2017, 38, 1739–1742. [Google Scholar] [CrossRef]
- Pandey, M.; Reichenbach, R.B.; Zehnder, A.T.; Lal, A.; Craighead, H.G. Reducing Anchor Loss in MEMS Resonators Using Mesa Isolation. J. Microelectromech. Syst. 2009, 18, 836–844. [Google Scholar] [CrossRef]
- Siddiqi, M.W.U.; Lee, J.E.-Y. Wide Acoustic Bandgap Solid Disk-Shaped Phononic Crystal Anchoring Boundaries for Enhancing Quality Factor in AlN-on-Si MEMS Resonators. Micromachines 2018, 9, 413. [Google Scholar] [CrossRef] [PubMed]
- Ha, T.D.; Bao, J. A Phononic Crystal Strip Based on Silicon for Support Tether Applications in Silicon-Based MEMS Resonators and Effects of Temperature and Dopant on Its Band Gap Characteristics. AIP Adv. 2016, 6, 45211. [Google Scholar] [CrossRef]
- Zafar, L.R.; Huang, J.; Khan, M.A. Ultra Wide Acoustic Bandgap Detection in Novel Octagonal Phononic Crystal of MEMS Materials. In Proceedings of the 2020 IEEE 3rd International Conference on Electronics Technology (ICET), Chengdu, China, 8–12 May 2020; pp. 30–33. [Google Scholar]
- Zafar, L.R.; Huang, J.; Khan, M.A. Quality Enhancement and Insertion Loss Reduction of a Rectangular Resonator by Employing an Ultra-Wide Band Gap Diamond Phononic Crystal. Chin. J. Phys. 2020, 65, 481–490. [Google Scholar] [CrossRef]
- Liu, J.; Workie, T.B.; Wu, T.; Wu, Z.; Gong, K.; Bao, J.; Hashimoto, K.-Y. Q-Factor Enhancement of Thin-Film Piezoelectric-on-Silicon MEMS Resonator by Phononic Crystal-Reflector Composite Structure. Micromachines 2020, 11, 1130. [Google Scholar] [CrossRef]
- Ardito, R.; Cremonesi, M.; D’Alessandro, L.; Frangi, A. Application of Optimally-Shaped Phononic Crystals to Reduce Anchor Losses of MEMS Resonators. In Proceedings of the 2016 IEEE International Ultrasonics Symposium (IUS), Tours, France, 18–21 September 2016; pp. 1–3. [Google Scholar]
- Li, L.; Zhu, C.; Liu, H.; Li, Y.; Wang, Q.; Su, K. Quality Factor Enhancement of Piezoelectric MEMS Resonator Using a Small Cross-Section Connection Phononic Crystal. Sensors 2022, 22, 7751. [Google Scholar] [CrossRef]
- Li, L.; He, W.; Tong, Z.; Liu, H.; Xie, M. Q-Factor Enhancement of Coupling Bragg and Local Resonance Band Gaps in Single-Phase Phononic Crystals for TPOS MEMS Resonator. Micromachines 2022, 13, 1217. [Google Scholar] [CrossRef]
- Binci, L.; Tu, C.; Zhu, H.; Lee, J.E.-Y. Planar Ring-Shaped Phononic Crystal Anchoring Boundaries for Enhancing the Quality Factor of Lamb Mode Resonators. Appl. Phys. Lett. 2016, 109, 203501. [Google Scholar] [CrossRef]
- Baboly, M.G.; Reinke, C.M.; Griffin, B.A.; El-Kady, I.; Leseman, Z.C. Acoustic Waveguiding in a Silicon Carbide Phononic Crystals at Microwave Frequencies. Appl. Phys. Lett. 2018, 112, 103504. [Google Scholar] [CrossRef]
- Torrent, D.; Sánchez-Dehesa, J. Radial Wave Crystals: Radially Periodic Structures from Anisotropic Metamaterials for Engineering Acoustic or Electromagnetic Waves. Phys. Rev. Lett. 2009, 103, 64301. [Google Scholar] [CrossRef] [PubMed]
- Zhu, X.; Liang, B.; Kan, W.; Zou, X.; Cheng, J. Acoustic Cloaking by a Superlens with Single-Negative Materials. Phys. Rev. Lett. 2011, 106, 14301. [Google Scholar] [CrossRef]
- Torrent, D.; Sánchez-Dehesa, J. Acoustic Resonances in Two-Dimensional Radial Sonic Crystal Shells. New J. Phys. 2010, 12, 73034. [Google Scholar] [CrossRef]
- Ma, T.; Chen, T.; Wang, X.; Li, Y.; Wang, P. Band Structures of Bilayer Radial Phononic Crystal Plate with Crystal Gliding. J. Appl. Phys. 2014, 116, 104505. [Google Scholar] [CrossRef]
- Li, Y.; Chen, T.; Wang, X.; Yu, K.; Chen, W. Propagation of Lamb Waves in One-Dimensional Radial Phononic Crystal Plates with Periodic Corrugations. J. Appl. Phys. 2014, 115, 54907. [Google Scholar] [CrossRef]
- Shu, H.; Liu, W.; Li, S.; Dong, L.; Wang, W.; Liu, S.; Zhao, D. Research on Flexural Wave Band Gap of a Thin Circular Plate of Piezoelectric Radial Phononic Crystals. J. Vib. Control. 2016, 22, 1777–1789. [Google Scholar] [CrossRef]
- Workie, T.B.; Wu, T.; Bao, J.-F.; Hashimoto, K.-Y. Design for High-Quality Factor of Piezoelectric-on-Silicon MEMS Resonators Using Resonant Plate Shape and Phononic Crystals. Jpn. J. Appl. Phys. 2021, 60, SDDA03. [Google Scholar] [CrossRef]
- Bao, F.-H.; Bao, L.-L.; Li, X.-Y.; Khan, M.A.; Wu, H.-Y.; Qin, F.; Zhang, T.; Zhang, Y.; Bao, J.-F.; Zhang, X.-S. Multi-Stage Phononic Crystal Structure for Anchor-Loss Reduction of Thin-Film Piezoelectric-on-Silicon Microelectromechanical-System Resonator. Appl. Phys. Express 2018, 11, 67201. [Google Scholar] [CrossRef]
- Rawat, U.; Nair, D.R.; DasGupta, A. Piezoelectric-on-Silicon Array Resonators with Asymmetric Phononic Crystal Tethering. J. Microelectromech. Syst. 2017, 26, 773–781. [Google Scholar] [CrossRef]
- Khan, M.A.; Bao, J.-F.; Bao, F.-H.; Zhou, X. Concentric Split Aluminum with Silicon-Aluminum Nitride Annular Rings Resonators. Micromachines 2019, 10, 296. [Google Scholar] [CrossRef] [PubMed]
- Sorenson, L.; Fu, J.L.; Ayazi, F. One-Dimensional Linear Acoustic Bandgap Structures for Performance Enhancement of AlN-on-Silicon Micromechanical Resonators. In Proceedings of the 2011 16th International Solid-State Sensors, Actuators and Microsystems Conference, Beijing, China, 5–9 June 2011; pp. 918–921. [Google Scholar]
- Ho, G.K.; Abdolvand, R.; Sivapurapu, A.; Humad, S.; Ayazi, F. Piezoelectric-on-Silicon Lateral Bulk Acoustic Wave Micromechanical Resonators. J. Microelectromech. Syst. 2008, 17, 512–520. [Google Scholar] [CrossRef]
- Bindel, D.S.; Govindjee, S. Elastic PMLs for Resonator Anchor Loss Simulation. Int. J. Numer. Methods Eng. 2005, 64, 789–818. [Google Scholar] [CrossRef]
- Abdolvand, R.; Bahreyni, B.; Lee, J.E.-Y.; Nabki, F. Micromachined Resonators: A Review. Micromachines 2016, 7, 160. [Google Scholar] [CrossRef]
- Chen, Q.; Wang, Q.-M. The Effective Electromechanical Coupling Coefficient of Piezoelectric Thin-Film Resonators. Appl. Phys. Lett. 2005, 86, 22904. [Google Scholar] [CrossRef]
- ANSI/IEEE Standard 176-1987; IEEE Standard on Piezoelectricity. IEEE: Piscataway, NJ, USA, 1998. [CrossRef]









| Elastic Modulus | Shear Modulus | Poisson’s Ratio |
|---|---|---|
| Reference | Lattice Constant (μm) | Band Gap Range (MHz) | Center Frequency (MHz) | Bandwith (MHz) | BG |
|---|---|---|---|---|---|
| [3] | 4 | 472–601 | 536 | 129 | 24.0% |
| [13] | 10 | 180–340 | 260 | 160 | 61.5% |
| [16] | 8 | 562–624 | 593 | 62 | 10.5% |
| This work | 8 | 209.4–489.7 | 349 | 280 | 80.2% |
| Symbol | Dimension | Values |
|---|---|---|
| λ | Wave length | 24.3 μm |
| Wr | Resonator width | 85 μm |
| Lr | Resonator length | 113.4 μm |
| Wt | Tethers Width | 5 μm |
| Lt | Tethers Length | 8 μm |
| Eg | Electrode gap | 2 μm |
| Es | Electrode spacing | 10.2 μm |
| TAl | Thickness of Al | 0.5 μm |
| TAlN | Thickness of AlN | 0.5 μm |
| TSi | Thickness of substrate Si | 5 μm |
| Materials | Parameters | Values |
|---|---|---|
| Aluminum Nitride (AIN) | Density (ρ) | 3300 kg/m3 |
| Relative permittivity (ε) | 9 | |
| Poisson’s ratio (ν) | 0.24 | |
| Young’s Modulus (E) | 320 Gpa | |
| Aluminum (Al) | Density (ρ) | 2700 kg/m3 |
| Young’s Modulus (E) | 70 Gpa | |
| Poisson’s ratio (ν) | 0.35 | |
| Electrical conductivity (σ) | 35.5 × 106 S/m | |
| Coefficient of thermal expansion (α) | 23.1 × 10−6/K | |
| Heat capacity (Cp) | 904 J/Kg K | |
| Thermal conductivity (κ) | 237 W/mK |
| Parameters | Q | FOM | ||
|---|---|---|---|---|
| without | 0.18% | 2773 | 5.0 | |
| H-RPC | R=0 μm | 0.18% | 8734 | 15.7 |
| R=5 μm | 0.18% | 7939 | 14.3 | |
| R=10 μm | 0.18% | 9441 | 17.0 | |
| R=15 μm | 0.17% | 9704 | 16.5 | |
Disclaimer/Publisher’s Note: The statements, opinions and data contained in all publications are solely those of the individual author(s) and contributor(s) and not of MDPI and/or the editor(s). MDPI and/or the editor(s) disclaim responsibility for any injury to people or property resulting from any ideas, methods, instructions or products referred to in the content. |
© 2023 by the authors. Licensee MDPI, Basel, Switzerland. This article is an open access article distributed under the terms and conditions of the Creative Commons Attribution (CC BY) license (https://creativecommons.org/licenses/by/4.0/).
Share and Cite
He, W.; Li, L.; Tong, Z.; Liu, H.; Yang, Q.; Gao, T. H-Shaped Radial Phononic Crystal for High-Quality Factor on Lamb Wave Resonators. Sensors 2023, 23, 2357. https://doi.org/10.3390/s23042357
He W, Li L, Tong Z, Liu H, Yang Q, Gao T. H-Shaped Radial Phononic Crystal for High-Quality Factor on Lamb Wave Resonators. Sensors. 2023; 23(4):2357. https://doi.org/10.3390/s23042357
Chicago/Turabian StyleHe, Weitao, Lixia Li, Zhixue Tong, Haixia Liu, Qian Yang, and Tianhang Gao. 2023. "H-Shaped Radial Phononic Crystal for High-Quality Factor on Lamb Wave Resonators" Sensors 23, no. 4: 2357. https://doi.org/10.3390/s23042357
APA StyleHe, W., Li, L., Tong, Z., Liu, H., Yang, Q., & Gao, T. (2023). H-Shaped Radial Phononic Crystal for High-Quality Factor on Lamb Wave Resonators. Sensors, 23(4), 2357. https://doi.org/10.3390/s23042357

