Multi-Hazard Effects of Crosswinds on Cascading Failures of Conventional and Interspersed Railway Tracks Exposed to Ballast Washaway and Moving Train Loads
Abstract
:1. Introduction
2. Methodology
2.1. Track Modelling
2.2. Risk Exposures to Flooding and Heavy Rain Conditions
2.2.1. Sleeper Support Conditions
2.2.2. Crosswind Effects
2.3. Track Modelling
3. Results and Discussion
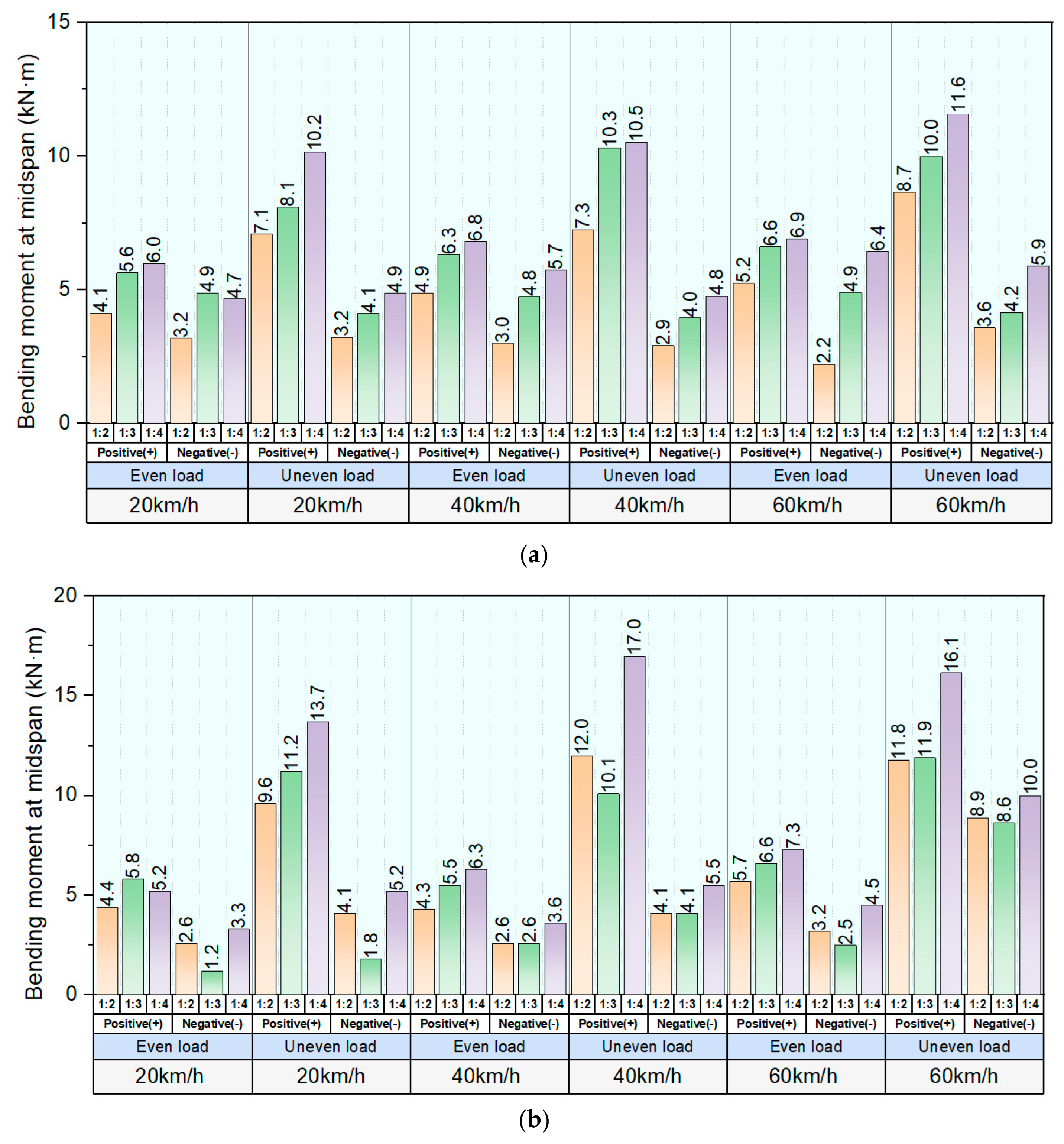
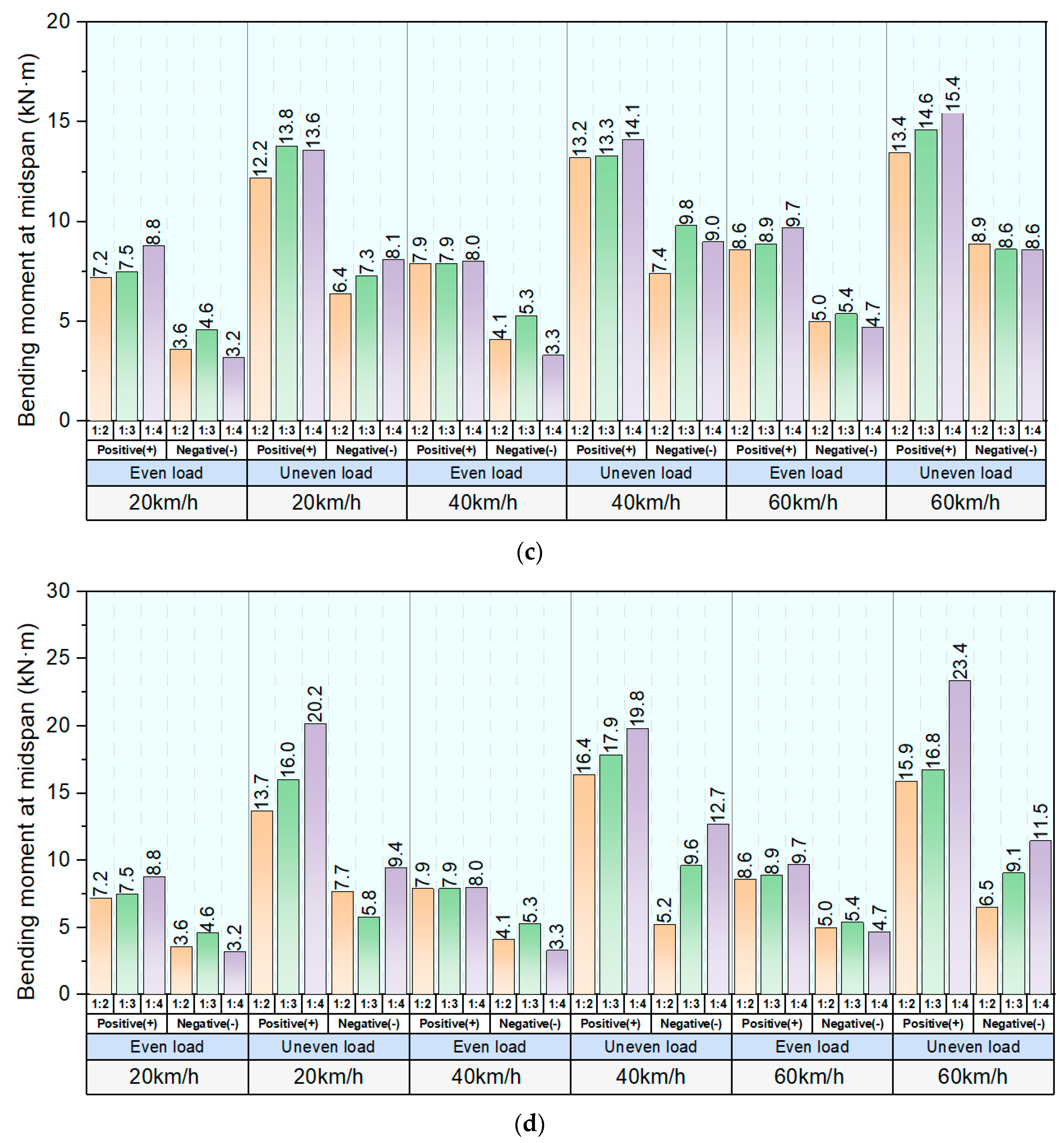
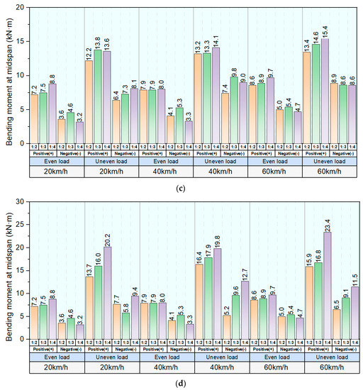
3.1. Track Responses
3.2. Sensor Placement Strategies
4. Conclusions
- Interspersed methods can improve the performance of existing conventional timber ballasted tracks. The interspersed track with higher concrete sleeper placement density performs better in resisting twist and flexural forces than lower concrete sleeper placement density. For example, the 1in2 interspersed track has better dynamic resistance to moving train loads than 1in3, 1in4 and timber ballasted tracks.
- All interspersed tracks (1in2, 1in3 and 1in4) at small-scale loss track support states can operate under 60 km/h without twist issues.
- The uneven axle loads caused by lateral wind loads and track defects can induce great twists and bending moments, lowering the track defect level and endangering safety. When strong winds accompany the heavy rain weather, the interspersed railway lines are suggested to be shut down.
Author Contributions
Funding
Institutional Review Board Statement
Informed Consent Statement
Data Availability Statement
Conflicts of Interest
References
- Jing, G.; Siahkouhi, M.; Riley Edwards, J.; Dersch, M.S.; Hoult, N.A. Smart railway sleepers—A review of recent developments, challenges, and future prospects. Constr. Build. Mater. 2021, 271, 121533. [Google Scholar] [CrossRef]
- Jing, G.; Ding, D.; Liu, X. High-speed railway ballast flight mechanism analysis and risk management—A literature review. Constr. Build. Mater. 2019, 223, 629–642. [Google Scholar] [CrossRef]
- Jacobini, F.B.; Tutumluer, E.; Saat, M.R. Identification of high-speed rail ballast flight risk factors and risk mitigation strategies. In Proceedings of the 10th World Congress on Railway Research, Sydney, Australia, 24–27 November 2013; pp. 25–28. [Google Scholar]
- Silva, E.A.; Pokropski, D.; You, R.; Kaewunruen, S. Comparison of structural design methods for railway composites and plastic sleepers and bearers. Aust. J Struct. Eng. 2017, 18, 160–177. [Google Scholar] [CrossRef]
- Ferdous, W.; Manalo, A.; Van Erp, G.; Aravinthan, T.; Kaewunruen, S.; Remennikov, A. Composite railway sleepers—Recent developments, challenges and future prospects. Compos. Struct. 2015, 134, 158–168. [Google Scholar] [CrossRef]
- Sadeghi, J.; Barati, P. Comparisons of the mechanical properties of timber, steel and concrete sleepers. Struct. Infrastruct. Eng. 2012, 8, 1151–1159. [Google Scholar] [CrossRef]
- Kohoutek, R. Dynamic and static performance of interspersed railway track. In Conference on Railway Engineering, 6th ed.; Institution of Engineers: Barton, Australia, 1991; pp. 153–159. [Google Scholar]
- Ashori, A.; Tabarsa, T.; Amosi, F. Evaluation of using waste timber railway sleepers in wood–cement composite materials. Constr. Build. Mater. 2012, 27, 126–129. [Google Scholar] [CrossRef]
- Lake, M.; Ferreira, L.; Murray, M. Using simulation to evaluate rail sleeper replacement alternatives. Railroads: Intercity Rail Passenger Transport. Track Des. Maint. 2002, 1785, 58–63. [Google Scholar]
- Manalo, A.; Aravinthan, T.; Karunasena, W.; Ticoalu, A. A review of alternative materials for replacing existing timber sleepers. Compos. Struct. 2010, 92, 603–611. [Google Scholar] [CrossRef]
- Manalo, A.; Aravinthan, T.; Karunasena, W. Analysis of a railway turnout system with a spot replacement sleeper. From materials to structures: Advancement through innovation. In Proceedings of the 22nd Australasian Conference on the Mechanics of Structures and Materials, Sydney, Australia, 11–14 December 2012; CRC Press: Boca Raton, FL, USA, 2012. [Google Scholar]
- Kaewunruen, S.; Lewandrowski, T.; Chamniprasart, K. Dynamic Responses of interspersed railway tracks to moving train loads. Int. J. Struct. Stab. Dyn. 2018, 18, 1850011. [Google Scholar] [CrossRef]
- Kaewunruen, S.; Lewandrowski, T.; Chamniprasart, K. Nonlinear modelling and analysis of moving train loads on interspersed railway tracks. In Proceedings of the 6th ECCOMAS Thematic Conference on Computational Methods in Structural Dynamics and Earthquake Engineering, Rhodes Island, Greece, 19–21 June 2018; pp. 15–17. [Google Scholar]
- Ngamkhanong, C.; Wey, C.M.; Kaewunruen, S. Buckling analysis of interspersed railway tracks. Appl. Sci. 2020, 10, 3091. [Google Scholar] [CrossRef]
- Ngamkhanong, C.; Kaewunruen, S.; Baniotopoulos, C. Nonlinear buckling instabilities of interspersed railway tracks. Comput. Struct. 2021, 249, 106516. [Google Scholar] [CrossRef]
- Mohamad Ali Ridho, B.K.A.; Kaewunruen, S. Failure investigations into interspersed railway tracks exposed to flood and washaway conditions under moving train loads. Eng. Fail. Anal. 2021, 129, 105726. [Google Scholar] [CrossRef]
- Kaewunruen, S.; Remennikov, A.M.; Aikawa, A.; Sakai, H. Free vibrations of interspersed railway track systems in three-dimensional space. Acoustics 2014, 42, 20–26. [Google Scholar]
- Kaewunruen, S.; Remennikov, A.M. Investigation of free vibrations of voided concrete sleepers in railway track system. Proc. Inst. Mech. Eng. Part F J. Rail Rapid Transit 2007, 221, 495–507. [Google Scholar] [CrossRef]
- Kaewunruen, S.; Wu, L.; Goto, K.; Najih, Y.M. Vulnerability of structural concrete to extreme climate variances. Climate 2018, 6, 40. [Google Scholar] [CrossRef]
- Stipanovic, I.; ter Maat, H.; Hartmann, A.; Dewulf, G. Risk assessment of climate change impacts on railway. In Proceedings of the Engineering Project Organization Conference, Devil’s Thumb Ranch, Tabernash, CO, USA, 18–26 May 2013. [Google Scholar]
- Binti Sa’adin, S.L.; Kaewunruen, S.; Jaroszweski, D. Operational readiness for climate change of Malaysia high-speed rail. Proc. Inst. Civ. Eng. Transp. 2016, 169, 308–320. [Google Scholar] [CrossRef]
- Liu, K.; Wang, M.; Cao, Y.; Zhu, W.; Yang, G. Susceptibility of existing and planned Chinese railway system subjected to rainfall-induced multi-hazards. Transp. Res. Part A Policy Pract. 2018, 117, 214–226. [Google Scholar] [CrossRef]
- Binti Sa’adin, S.L.; Kaewunruen, S.; Jaroszweski, D. Heavy rainfall and flood vulnerability of Singapore-Malaysia high speed rail system. Aust. J. Civ. Eng. 2017, 14, 123–131. [Google Scholar] [CrossRef]
- Lima, A.D.; Dersch, M.S.; Lee, J.; Edwards, J.R. Track modulus assessment of engineered interspersed concrete sleepers in ballasted track. Appl. Sci. 2021, 11, 261. [Google Scholar] [CrossRef]
- Kaewunruen, S.; Ngamkhanong, C.; Ng, J.P. Influence of time-dependent material degradation on life cycle serviceability of interspersed railway tracks due to moving train loads. Eng. Struct. 2019, 199, 109625. [Google Scholar] [CrossRef]
- Guo, Y.; Zhai, W.; Sun, Y. A mechanical model of vehicle-slab track coupled system with differential subgrade settlement. Struct. Eng. Mech. Int. J. 2018, 66, 15–25. [Google Scholar]
- Cai, Z.; Raymond, G.P.; Bathurst, R.J. Natural vibration analysis of rail track as a system of elastically coupled beam structures on Winkler foundation. Comput. Struct. 1994, 53, 1427–1436. [Google Scholar] [CrossRef]
- Froio, D.; Rizzi, E.; Simões, F.M.F.; Costa, A.P.D. Universal analytical solution of the steady-state response of an infinite beam on a Pasternak elastic foundation under moving load. Int. J. Solids Struct. 2018, 132–133, 245–263. [Google Scholar] [CrossRef]
- Cai, Z.; Raymond, G.P. Modelling the dynamic response of railway track to wheel/rail impact loading. Struct. Eng. Mech. Int. J. 1994, 2, 95–112. [Google Scholar] [CrossRef]
- Jahangiri, M.; Zakeri, J.-A. Dynamic analysis of train-bridge system under one-way and two-way high-speed train passing. Struct. Eng. Mech. Int. J. 2017, 64, 33–44. [Google Scholar]
- Chen, J.-S.; Chen, Y.-K. Steady state and stability of a beam on a damped tensionless foundation under a moving load. Int. J. Non-Linear Mech. 2011, 46, 180–185. [Google Scholar] [CrossRef]
- Zhu, J.Y.; Thompson, D.J.; Jones, C.J.C. On the effect of unsupported sleepers on the dynamic behaviour of a railway track. Veh. Syst. Dyn. 2011, 49, 1389–1408. [Google Scholar] [CrossRef]
- Kaewunruen, S.; Ng, J.; Aikawa, A. Sensitivity of rail pads on dynamic responses of spot replacement sleepers interspersed in ballasted railway tracks. In Proceedings of the 25th International Congress on Sound and Vibration, Hiroshima, Japan, 8–12 July 2018; pp. 8–12. [Google Scholar]
- Remennikov, A.; Kaewunruen, S. Determination of dynamic properties of rail pads using an instrumented hammer impact technique. Acoustics 2005, 33, 63–67. [Google Scholar]
- Lazarević, L.; Vučković, D.; Popović, Z. Assessment of sleeper support conditions using micro-tremor analysis. Proc. Inst. Mech. Eng. Part F J. Rail Rapid Transit 2015, 230, 1828–1841. [Google Scholar] [CrossRef]
- Sysyn, M.; Przybylowicz, M.; Nabochenko, O.; Kou, L. Identification of sleeper support conditions using mechanical model supported data-driven approach. Sensors 2021, 21, 3609. [Google Scholar] [CrossRef]
- Mosayebi, S.-A.; Zakeri, J.A.; Esmaeili, M. Effects of train bogie patterns on the mechanical performance of ballasted railway tracks with unsupported sleepers. Proc. Inst. Mech. Eng. Part F J. Rail Rapid Transit 2016, 232, 238–248. [Google Scholar] [CrossRef]
- Zakeri, J.A.; Fattahi, M.; Ghanimoghadam, M.M. Influence of unsupported and partially supported sleepers on dynamic responses of train–track interaction. J. Mech. Sci. Technol. 2015, 29, 2289–2295. [Google Scholar] [CrossRef]
- Le Pen, L. Track Behaviour: The Importance of the Sleeper to Ballast Interface. Master’s Thesis, University of Southampton, Southampton, UK, 2008. [Google Scholar]
- Shi, J.; Chan, A.H.; Burrow, M.P.N. Influence of unsupported sleepers on the dynamic response of a heavy haul railway embankment. Proc. Inst. Mech. Eng. Part F J. Rail Rapid Transit 2013, 227, 657–667. [Google Scholar] [CrossRef]
- Montenegro, P.A.; Calçada, R.; Carvalho, H.; Bolkovoy, A.; Chebykin, I. Stability of a train running over the Volga river high-speed railway bridge during crosswinds. Struct. Infrastruct. Eng. 2020, 16, 1121–1137. [Google Scholar] [CrossRef]
- Chen, S.R.; Cai, C.S. Unified approach to predict the dynamic performance of transportation system considering wind effects. Struct. Eng. Mech. Int. J. 2006, 23, 279–292. [Google Scholar] [CrossRef]
- Wetzel, C.; Proppe, C. On the crosswind stability of high speed railway vehicles. In Proceedings of the ASME 2006 International Mechanical Engineering Congress and Exposition, Chicago, IL, USA, 5–10 November 2006; pp. 45–52. [Google Scholar]
- Ling, L.; Xiao, X.-B.; Jin, X.-S. Development of a simulation model for dynamic derailment analysis of high-speed trains. Acta Mech. Sin. 2014, 30, 860–875. [Google Scholar] [CrossRef]
- Diedrichs, B.; Ekequist, M.; Stichel, S.; Tengstrand, H. Quasi-static modelling of wheel-rail reactions due to crosswind effects for various types of high-speed rolling stock. Proc. Inst. Mech. Eng. Part F J. Rail Rapid Transit 2004, 218, 133–148. [Google Scholar] [CrossRef]
- Xu, L.; Zhai, W. Cross wind effects on vehicle–track interactions: A methodology for dynamic model construction. J. Comput. Nonlinear Dyn. 2019, 14, 031003. [Google Scholar] [CrossRef]
- Li, Y.; Hu, P.; Xu, Y.; Zhang, M.; Liao, H. Wind loads on a moving vehicle-bridge deck system by wind-tunnel model test. Wind. Struct. 2014, 19, 145–167. [Google Scholar] [CrossRef]
- Song, R. Effects of crosswind to running safety of high-speed EMU. In Proceedings of the International Conference on Transportation Engineering, Chengdu, China, 25–27 July 2009; pp. 3288–3293. [Google Scholar]
- Bocciolone, M.; Cheli, F.; Corradi, R.; Muggiasca, S.; Tomasini, G. Crosswind action on rail vehicles: Wind tunnel experimental analyses. J. Wind. Eng. Ind. Aerodyn. 2008, 96, 584–610. [Google Scholar] [CrossRef]
- Baker, C.J. The simulation of unsteady aerodynamic cross wind forces on trains. J. Wind. Eng. Ind. Aerodyn. 2010, 98, 88–99. [Google Scholar] [CrossRef]
- Cooper, R.K. Atmospheric turbulence with respect to moving ground vehicles. J. Wind. Eng. Ind. Aerodyn. 1984, 17, 215–238. [Google Scholar] [CrossRef]
- Yu, M.; Jiang, R.; Zhang, Q.; Zhang, J. Crosswind stability evaluation of high-speed train using different wind models. Chin. J. Mech. Eng. 2019, 32, 40. [Google Scholar] [CrossRef]
- ENB. Railway Applications–Aerodynamics—Part 6: Requirements and Test Procedures for Cross Wind Assessment; ENB: London, UK, 2010. [Google Scholar]
- Mosayebi, S.-A.; Zakeri, J.-A.; Esmaeili, M. Vehicle/track dynamic interaction considering developed railway substructure models. Struct. Eng. Mech. Int. J. 2017, 61, 775–784. [Google Scholar] [CrossRef]
- Wilson, A. TMC 203 Track Inspection, Version 5; RailCorp Engineering: Sydney, Australia, 2013. [Google Scholar]
- Xu, L.; Gao, J.; Zhai, W. On effects of rail fastener failure on vehicle/track interactions. Struct. Eng. Mech. Int. J. 2017, 63, 659–667. [Google Scholar]
- Sresakoolchai, J.; Kaewunruen, S. Prognostics of unsupported railway sleepers and their severity diagnostics using machine learning. Sci. Rep. 2022, 12, 6064. [Google Scholar] [CrossRef]
- Wang, S.; Liu, G.; Jing, G.; Feng, Q.; Liu, H.; Guo, Y. State-of-the-art review of Ground Penetrating Radar (GPR) applications for railway ballast inspection. Sensors 2022, 22, 2450. [Google Scholar] [CrossRef]
- Kaewunruen, S.; AbdelHadi, M.; Kongpuang, M.; Pansuk, W.; Remennikov, A.M. Digital Twins for Managing Railway Bridge Maintenance, Resilience, and Climate Change Adaptation. Sensors 2023, 23, 252. [Google Scholar] [CrossRef]
- Sresakoolchai, J.; Kaewunruen, S. Track Geometry Prediction Using Three-Dimensional Recurrent Neural Network-Based Models Cross-Functionally Co-Simulated with BIM. Sensors 2023, 23, 391. [Google Scholar] [CrossRef]
















| Parameters | Value | Unit | Remarks |
|---|---|---|---|
| Track length | 10.8 | M | standard gauge is 1.435 m. 1.5 m is distance between wheel loads. |
| Load distance | 1.5 | M | |
| Rail modulus | 200 | GPa | |
| Rail Poisson’s ratio | 0.25 | - | |
| Rail density | 7.85 | g/mm3 | |
| Rail-pad stiffness | 17 | MN/mm | |
| Concrete modulus | 34.45 | Gpa | |
| Concrete density | 2.74 | g/mm3 | |
| Timber modulus | 12.3 | Gpa | |
| Timber density | 1.25 | g/mm3 | |
| Ballast stiffness | 17 | MN/mm |
| Track Geometry | Track Speed (Normal/Passenger) km/h | |||||||
|---|---|---|---|---|---|---|---|---|
| Wide Gauge | Tight Gauge | Short Twist | 20/20 | 40/40 | 60/60 | 80/90 | 100/120 | 115/160 |
| <21 | <10 | <12 | N | N | N | N | N | N |
| 21–22 | 10 | 12–13 | N | N | N | N | P3 | P2 |
| 23–36 | 11–12 | 14–15 | N | N | N | P3 | P2 | P1 |
| 27–28 | 13–14 | 16 | N | N | P3 | P2 | P1 | E2 |
| 29–30 | 15–16 | 17–18 | N | P3 | P2 | P1 | E2 | E2 |
| 31–32 | 17 | 19–20 | P2 | P2 | P1 | E2 | E2 | E2 |
| 33–34 | 18 | 21–22 | P1 | P1 | E2 | E2 | E2 | E1 |
| 35–37 | 19–20 | 23 | E2 | E2 | E2 | E2 | E1 | E1 |
| >37 | >20 | >23 | E1 | E1 | E1 | E1 | E1 | E1 |
| Long Twist | ||||||||
| Not in Transition | Transition | 20/20 | 40/40 | 60/60 | 80/90 | 100/120 | 115/160 | |
| <31 | <34 | N | N | N | N | N | N | |
| 31–35 | 34–38 | N | N | N | N | P3 | P2 | |
| 36–40 | 39–43 | N | N | N | P3 | P2 | P1 | |
| 41–46 | 44–49 | N | N | P3 | P2 | P1 | E2 | |
| 47–52 | 50–55 | N | P3 | P2 | P1 | E2 | E2 | |
| 53–59 | 56–62 | P2 | P2 | P1 | E2 | E2 | E2 | |
| 60–64 | 63–66 | P1 | P1 | E2 | E2 | E2 | E1 | |
| 65–70 | 66–72 | E2 | E2 | E2 | E2 | E1 | E1 | |
| >70 | >72 | E1 | E1 | E1 | E1 | E1 | E1 | |
| Response Category | Inspect and Verify Response | Action |
|---|---|---|
| Emergency 1 (E1) | Prior to passage of next train | Prior to passage of next train |
| Emergency 2 (E2) | Within 2 hours or before the next train, whichever is the greater | Within 24 hours |
| Priority 1 (P1) | Within 24 hours | Within 7 days |
| Priority 2 (P2) | Within 7 days | Within 28 days |
| Priority 3 (P3) | Within 28 days | Program for repair |
| Normal (N) | Nil | Routine inspection |
Disclaimer/Publisher’s Note: The statements, opinions and data contained in all publications are solely those of the individual author(s) and contributor(s) and not of MDPI and/or the editor(s). MDPI and/or the editor(s) disclaim responsibility for any injury to people or property resulting from any ideas, methods, instructions or products referred to in the content. |
© 2023 by the authors. Licensee MDPI, Basel, Switzerland. This article is an open access article distributed under the terms and conditions of the Creative Commons Attribution (CC BY) license (https://creativecommons.org/licenses/by/4.0/).
Share and Cite
Fu, H.; Yang, Y.; Kaewunruen, S. Multi-Hazard Effects of Crosswinds on Cascading Failures of Conventional and Interspersed Railway Tracks Exposed to Ballast Washaway and Moving Train Loads. Sensors 2023, 23, 1786. https://doi.org/10.3390/s23041786
Fu H, Yang Y, Kaewunruen S. Multi-Hazard Effects of Crosswinds on Cascading Failures of Conventional and Interspersed Railway Tracks Exposed to Ballast Washaway and Moving Train Loads. Sensors. 2023; 23(4):1786. https://doi.org/10.3390/s23041786
Chicago/Turabian StyleFu, Hao, Yushi Yang, and Sakdirat Kaewunruen. 2023. "Multi-Hazard Effects of Crosswinds on Cascading Failures of Conventional and Interspersed Railway Tracks Exposed to Ballast Washaway and Moving Train Loads" Sensors 23, no. 4: 1786. https://doi.org/10.3390/s23041786
APA StyleFu, H., Yang, Y., & Kaewunruen, S. (2023). Multi-Hazard Effects of Crosswinds on Cascading Failures of Conventional and Interspersed Railway Tracks Exposed to Ballast Washaway and Moving Train Loads. Sensors, 23(4), 1786. https://doi.org/10.3390/s23041786

