The Design of GNSS/IMU Loosely-Coupled Integration Filter for Wearable EPTS of Football Players
Abstract
1. Introduction
2. GNSS/IMU Loosely-Coupled Integration Filter Design
2.1. The Preliminaries of Attitude Estimation
2.2. The GNSS/IMU Loosely-Coupled Integration
3. Hardware Experiments
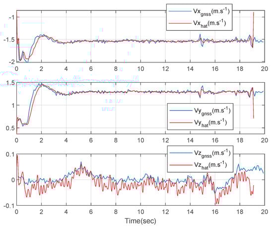
3.1. Rover Field Tests
3.2. Athlete Field Tests
3.3. Vicon Field Test
4. Conclusions
Author Contributions
Funding
Institutional Review Board Statement
Informed Consent Statement
Data Availability Statement
Conflicts of Interest
References
- Gregson, W.; Drust, B.; Atkinson, G.; Salvo, V.D. Match-to-Match Variability of High-Speed Activities in Premier League Soccer. Int. J. Sports Med. 2010, 31, 237–242. [Google Scholar] [CrossRef] [PubMed]
- Machenzie, R.; Cushion, C. Performance Analysis in Football: A Critical Review and Implications for Future Research. J. Sports Sci. 2013, 31, 639–676. [Google Scholar] [CrossRef]
- Carling, C. Interpreting Physical Performance in Professional Soccer Match-Play: Should We Be More Pragmatic in Our Apporach? Sport. Med. 2013, 43, 655–663. [Google Scholar] [CrossRef] [PubMed]
- Cummins, C.; Orr, R.; O’Connor, H.; West, C. Global Positioning Systems (GPS) and Microtechnology Sensors in Team Sports: A Systematic Review. Sport. Med. 2013, 43, 1025–1042. [Google Scholar] [CrossRef]
- Colby, M.J.; Dawson, B.; Heasman, J.; Rogalski, B.; Gabbett, T.J. Accelerometer and GPS-Derived Running Loads and Injury Risk in Elite Australian Footballers. J. Strength Cond. Res. 2014, 28, 2244–2252. [Google Scholar] [CrossRef] [PubMed]
- Ehrmann, F.E.; Duncan, C.S.; Sindhusake, D.; Fransen, W.N.; Greene, D.A. GPS and Injury Prevention in Professional Soccer. J. Strength Cond. Res. 2016, 30, 360–367. [Google Scholar] [CrossRef]
- Kolekar, M.H. Bayesian Belief Network Based Broadcast Sports Video Indexing. Multimed. Tools Appl. 2011, 54, 27–54. [Google Scholar] [CrossRef]
- Labayen, M.; Olaizola, I.G.; Aginako, N.; Florez, J. Accurate Ball Trajectory Tracking and 3D Visualization for Computer-Assisted Sports Broadcast. Multimed. Tools Appl. 2014, 73, 1819–1842. [Google Scholar] [CrossRef]
- Felipe, J.L.; Garcia-Unanue, J.; Viejo-Romero, D.; Navandar, A.; Sanchez-Sanchez, J. Validation of a Video-Based Performance Analysis System (Mediacoach®) to Analyze the Physical Demands during Matches in LaLiga. Sensors 2019, 19, 4113. [Google Scholar] [CrossRef]
- Cuevas, C.; Quilon, D.; Carcia, N. Techniques and Applications for Soccer Video Analysis: A Survey. Multimed. Tools Appl. 2020, 79, 29685–29721. [Google Scholar] [CrossRef]
- Khan, A.A.; Shao, J.; Ali, W.; Tumrani, S. Content-Aware Summarization of Braodcast Sports Videos: An Audio-Visual Feature Extraction Approach. Neural Process. Lett. 2020, 52, 1945–1968. [Google Scholar] [CrossRef]
- Delagado-Gomez, D.; Maso-Besga, A.E.; Aguado, D.; Rubio, V.J.; Sujar, A.; Bayona, S. Automatic Personality Assessment through Movement Analysis. Sensors 2022, 22, 3949. [Google Scholar] [CrossRef] [PubMed]
- Messina, M.; Njuguna, J.; Palas, C. Mechanical Structural Design of a MEMS-Based Piezoresistive Accelerometer for Head Injuries Monitoring: A Computational Analysis by Increments of the Sensor Mass Moment of Inertia. Sensors 2018, 18, 289. [Google Scholar] [CrossRef] [PubMed]
- Karamanoukian, A.; Boucher, J.-P.; Labbé, R.; Vignais, N. Validation of Instrumented Football Shoes to Measure On-Field Ground Reaction Forces. Sensors 2022, 22, 3673. [Google Scholar] [CrossRef] [PubMed]
- Encarnación-Martínez, A.; García-Gallart, A.; Sanchis-Sanchis, R.; Pérez-Soriano, P. Effects of Central and Peripheral Fatigue on Impact Characteristics during Running. Sensors 2022, 22, 3786. [Google Scholar] [CrossRef] [PubMed]
- Wilmes, E.; de Ruiter, C.J.; Bastiaansen, B.J.C.; van Zon, J.F.J.A.; Vegter, R.J.K.; Brink, M.S.; Goedhart, E.A.; Lemmink, K.A.P.M.; Savelsbergh, G.J.P. Inertial Sensor-Based Motion Tracking in Football with Movement Intensity Quantification. Sensors 2020, 20, 2527. [Google Scholar] [CrossRef]
- Zrenner, M.; Küderle, A.; Roth, N.; Jensen, U.; Dümler, B.; Eskofier, M.B. Does the Position of Foot-Mounted IMU Sensors Influence the Accuracy of Spatio-Temporal Parameters in Endurance Running? Sensors 2020, 20, 5705. [Google Scholar] [CrossRef]
- Oliva-Lozano, J.M.; Maraver, E.F.; Fortes, V.; Muyor, J.M. Kinematic Analysis of the Postural Demands in Professional Soccer Match Play Using Inertial Measurement Units. Sensors 2020, 20, 5971. [Google Scholar] [CrossRef]
- Waldron, M.; Harding, J.; Barrett, S.; Gray, A. A New Foot-Mounted Inertial Measurement System in Soccer: Reliability and Comparison to Global Positioning Systems for Velocity Measurements During Team Sport Actions. J. Hum. Kinet. 2021, 77, 37–50. [Google Scholar] [CrossRef]
- Yu, C.; Huang, T.-Y.; Ma, H.-P. Motion Analysis of Football Kick Based on an IMU Sensor. Sensors 2022, 22, 6244. [Google Scholar] [CrossRef]
- Kim, H.; Kim, J.; Kim, Y.-S.; Kim, M.; Lee, J. Energy-Efficient Wearable EPTS Device Using On-Device DCNN Processing for Football Activity Classification. Sensors 2020, 20, 6004. [Google Scholar] [CrossRef]
- Stoeve, M.; Schuldhaus, D.; Gamp, A.; Zwick, C.; Eskofier, B.M. From the Laboratory to the Field: IMU-Based Shot and Pass Detection in Football Training and Game Scenarios Using Deep Learning. Sensors 2021, 21, 3071. [Google Scholar] [CrossRef] [PubMed]
- Reilly, B.; Morgan, O.; Czanner, G.; Robinson, M.A. Automated Classification of Changes of Direction in Soccer Using Inertial Measurement Units. Sensors 2021, 21, 4625. [Google Scholar] [CrossRef] [PubMed]
- Johnston, R.J.; Watsford, M.L.; Kelly, S.J.; Pine, M.J.; Spurrs, R.W. Validity and Interunit Reliability of 10 Hz and 15 Hz GPS Units for Assessing Athlete Movement Demands. J. Strength Cond. Res. 2014, 28, 1649–1655. [Google Scholar] [CrossRef] [PubMed]
- Gleason, B.H.; Sams, M.L.; Salley, J.T.; Pustina, A.A.; Stone, M.H. Global Positioning System Analysis of a High School Football Scrimmage. J. Strength Cond. Res. 2017, 31, 2183–2188. [Google Scholar] [CrossRef]
- Abbott, W.; Brickley, G.; Smeeton, N.J. Positional Differences in GPS Outputs and Perceived Exertion During Soccer Training Games and Competition. J. Strength Cond. Res. 2018, 32, 3222–3231. [Google Scholar] [CrossRef]
- Bayliff, G.E.; Jacobson, B.H.; Moghaddam, M.; Estrada, C. Global Positioning System Monitoring of Selected Physical Demands of NCAA Division I Football Players During Games. J. Strength Cond. Res. 2019, 33, 1185–1191. [Google Scholar] [CrossRef]
- Modric, T.; Versic, S.; Sekulic, D.; Liposek, S. Analysis of the Association between Running Performance and Game Performance Indicators in Professional Soccer Players. Int. J. Environ. Res. Public Health 2019, 16, 4032. [Google Scholar] [CrossRef]
- Hwang, D.-H.; Oh, S.H.; Lee, S.J.; Park, C.; Rizos, C. Design of a Low-Cost Attitude Determination GPS/INS Integrated Navigation System. GPS Solut. 2005, 9, 294–311. [Google Scholar] [CrossRef]
- Wendel, J.; Meister, O.; Schlaile, C.; Trommer, G.F. An Integrated GPS/MEMS-IMU Navigation System for an Autonomous Helicopter. Aerosp. Sci. Technol. 2006, 10, 527–533. [Google Scholar] [CrossRef]
- Zhang, Y.; Gao, Y. A Method to Improve the Alignment Performance for GPS-IMU System. GPS Solut. 2007, 11, 129–137. [Google Scholar] [CrossRef]
- Kim, K.H.; Lee, J.G.; Park, C.G. Adaptive Two-Stage Extended Kalman Filter for a Fault-Tolerant INS-GPS Loosely Coupled System. IEEE Trans. Aerosp. Electron. Syst. 2009, 45, 125–137. [Google Scholar]
- Hablani, H.B. Autonomous Inertial Relative Navigation with Sight-line-Stablized Integrated Sensors for Spacecraft Rendezvous. J. Guid. Control. Dyn. 2009, 32, 172–183. [Google Scholar] [CrossRef]
- Williamson, W.R.; Glenn, G.J.; Dang, V.T.; Speyer, J.L. Sensor Fusion applied to Autonomous Aerial Refueling. J. Guid. Control. Dyn. 2009, 32, 262–275. [Google Scholar] [CrossRef]
- Gross, J.; Gu, Y.; Naplitano, M.R. A Systematic Approach for Extended Kalman Filter Tuning and Low-Cost Inertial Sensor Calibration within a GPS/INS Application. In Proceedings of the AIAA Guidance, Navigation, and Control Conference, Toronto, ON, Canada, 2–5 August 2010. [Google Scholar]
- Rhudy, M.; Gu, Y.; Naplitano, M.R. Low-Cost Loosely-Coupled Dual GPS/INS for Attitude Estimation with Application to a Small UAV. In Proceedings of the AIAA Guidance, Navigation, and Control Conference, Boston, MA, USA, 19–22 August 2013. [Google Scholar]
- Lopes, H.D.; Kampen, E.; Chu, Q.P. Attitude Determination of Highly Dynamic Fixed-Wing UAVs with GPS/MEMS-AHRS Integration. In Proceedings of the AIAA Guidance, Navigation, and Control Conference, Minneapolis, MN, USA, 13–16 August 2012. [Google Scholar]
- Falco, G.; Einicke, G.A.; Malos, J.T.; Dovis, F. Performance Analysis of Constrained Loosely Coupled GPS/INS Integration Solutions. Sensors 2012, 12, 15983–16007. [Google Scholar] [CrossRef]
- Miller, I.; Campbell, M. Sensitivity Analysis of a Tightly-Coupled GPS/INS system for Autonomous Navigation. IEEE Trans. Aerosp. Electron. Syst. 2012, 48, 1115–1135. [Google Scholar] [CrossRef]
- Liang, Y.; Jia, Y. A Nonlinear Quaternion-Based Fault-Tolerant SINS/GNSS Integrated Navigation Method for Autonomous UAVs. Aerosp. Sci. Technol. 2015, 40, 191–199. [Google Scholar] [CrossRef]
- Falco, G.; Pini, M.; Marucco, G. Loose and Tight GNSS/INS Integrations: Comparison of Performance Assessed in Real Urban Scenarios. Sensors 2017, 17, 255. [Google Scholar] [CrossRef] [PubMed]
- Lee, B.; Lee, Y.J.; Sung, S. Attitude Determination algorithm based on Relative Quaternion Geometry of Velocity Incremental Vectors for Cost Efficient AHRS Design. Int. J. Aeronaut. Space Sci. 2018, 19, 459–469. [Google Scholar] [CrossRef]
- Park, G.; Lee, B.; Kim, D.G.; Lee, Y.J.; Sung, S. Design and Performance Validation of Integrated Navigation System Based on Geometric Range Measurements and GIS Map for Urban Aerial Navigation. Int. J. Control Autom. Syst. 2020, 10, 2509–2521. [Google Scholar] [CrossRef]
- Di Pietra, V.; Dabove, P.; Piras, M. Loosely Coupled GNSS and UWB with INS Integration for Indoor/Outdoor Pedestrian Navigation. Sensors 2020, 20, 6292. [Google Scholar] [CrossRef] [PubMed]
- Kim, T.; Kim, D.; Kim, S.; Kim, Y.; Han, S. Improved Optical Sensor Fusion in UAV Navigation Using Feature Point Threshold Filter. Int. J. Aeronaut. Space Sci. 2022, 23, 157–168. [Google Scholar] [CrossRef]
- Schmidt, G.T.; Phillips, R.E. INS/GPS Integration Architecture Performance Comparisons. In NATO RTO Lecture Series, Low-Cost Navigation Sensors and Integration Technology; Defense Technical Information Center: Fort Belvoir, VI, USA, 2011. [Google Scholar]
- Waegli, A.; Skaloud, J. Optimization of Two GPS/MEMS-IMU Integration Strategies with Application to Sports. GPS Solut. 2009, 13, 315–326. [Google Scholar] [CrossRef]



























| Distance Zone | [0, 2) m | [2, 4) m | [4, 6) m | [6, 8) m | [8, 10) m |
|---|---|---|---|---|---|
| Sprint 1 | 0.05 ± 0.02 [0.01, 0.09] | 0.03 ± 0.01 [0.01, 0.05] | 0.06 ± 0.03 [0.02, 0.10] | 0.08 ± 0.02 [0.06, 0.11] | 0.05 ± 0.02 [0.01, 0.10] |
| Sprint 2 | 0.04 ± 0.04 [0.00, 0.10] | 0.02 ± 0.01 [0.00, 0.04] | 0.06 ± 0.03 [0.03, 0.12] | 0.13 ± 0.03 [0.09, 0.18] | 0.08 ± 0.05 [0.09, 0.18] |
| Sprint 3 | 0.09 ± 0.04 [0.01, 0.14] | 0.07 ± 0.02 [0.04, 0.10] | 0.02 ± 0.02 [0.00, 0.06] | 0.03 ± 0.03 [0.00, 0.07] | 0.15 ± 0.07 [0.07, 0.27] |
| Sprint 4 | 0.09 ± 0.05 [0.01, 0.20] | 0.13 ± 0.05 [0.04, 0.18] | 0.02 ± 0.02 [0.00, 0.07] | 0.14 ± 0.03 [0.09, 0.17] | 0.27 ± 0.05 [0.18, 0.36] |
| Sprint 5 | 0.18 ± 0.18 [0.00, 0.55] | 0.04 ± 0.03 [0.01, 0.09] | 0.04 ± 0.02 [0.00, 0.08] | 0.04 ± 0.02 [0.01, 0.07] | 0.01 ± 0.01 [0.00, 0.04] |
| Sprint 6 | 0.08 ± 0.06 [0.01, 0.18] | 0.04 ± 0.02 [0.00, 0.07] | 0.04 ± 0.02 [0.00, 0.08] | 0.03 ± 0.02 [0.00, 0.07] | 0.06 ± 0.02 [0.02, 0.09] |
| Total | 0.09 ± 0.12 [0.00, 0.39] | 0.05 ± 0.05 [0.01, 0.16] | 0.04 ± 0.03 [0.00, 0.09] | 0.07 ± 0.05 [0.01, 0.16] | 0.10 ± 0.10 [0.00, 0.29] |
| Distance Zone | [0, 2) m | [2, 4) m | [4, 6) m | [6, 8) m | [8, 10) m |
|---|---|---|---|---|---|
| Sprint 1 | 0.19 ± 0.16 [0.01, 0.48] | 0.47 ± 0.33 [0.02, 1.13] | 0.37 ± 0.32 [0.07, 1.02] | 0.27 ± 0.14 [0.34, 0.56] | 0.36 ± 0.17 [0.13, 0.59] |
| Sprint 2 | 0.12 ± 0.17 [0.00, 0.52] | 0.59 ± 0.15 [0.30, 0.79] | 0.36 ± 0.23 [0.04, 0.69] | 0.49 ± 0.35 [0.04, 1.03] | 0.66 ± 0.09 [0.53, 0.77] |
| Sprint 3 | 0.19 ± 0.16 [0.00, 0.51] | 0.24 ± 0.16 [0.34, 0.54] | 0.27 ± 0.15 [0.03, 0.50] | 0.31 ± 0.20 [0.02, 0.80] | 0.55 ± 0.46 [0.06, 1.35] |
| Sprint 4 | 0.26 ± 0.27 [0.00, 0.86] | 0.46 ± 0.27 [0.07, 0.95] | 0.29 ± 0.19 [0.01, 0.71] | 0.23 ± 0.18 [0.05, 0.56] | 0.42 ± 0.16 [0.17, 0.67] |
| Sprint 5 | 0.24 ± 0.24 [0.00, 0.78] | 0.75 ± 0.30 [0.20, 1.28] | 0.69 ± 0.18 [0.36, 0.93] | 0.43 ± 0.23 [0.02, 0.74] | 0.43 ± 0.08 [0.27, 0.56] |
| Sprint 6 | 0.34 ± 0.27 [0.01, 0.74] | 0.66 ± 0.26 [0.17, 1.13] | 0.56 ± 0.31 [0.03, 0.92] | 0.28 ± 0.14 [0.04, 0.51] | 0.38 ± 0.21 [0.01, 0.69] |
| Total | 0.21 ± 0.23 [0.00, 0.69] | 0.53 ± 0.30 [0.05, 1.07] | 0.42 ± 0.28 [0.04, 0.90] | 0.34 ± 0.24 [0.04, 0.82] | 0.43 ± 0.28 [0.04, 0.91] |
Disclaimer/Publisher’s Note: The statements, opinions and data contained in all publications are solely those of the individual author(s) and contributor(s) and not of MDPI and/or the editor(s). MDPI and/or the editor(s) disclaim responsibility for any injury to people or property resulting from any ideas, methods, instructions or products referred to in the content. |
© 2023 by the authors. Licensee MDPI, Basel, Switzerland. This article is an open access article distributed under the terms and conditions of the Creative Commons Attribution (CC BY) license (https://creativecommons.org/licenses/by/4.0/).
Share and Cite
Kim, M.; Park, C.; Yoon, J. The Design of GNSS/IMU Loosely-Coupled Integration Filter for Wearable EPTS of Football Players. Sensors 2023, 23, 1749. https://doi.org/10.3390/s23041749
Kim M, Park C, Yoon J. The Design of GNSS/IMU Loosely-Coupled Integration Filter for Wearable EPTS of Football Players. Sensors. 2023; 23(4):1749. https://doi.org/10.3390/s23041749
Chicago/Turabian StyleKim, Mingu, Chulwoo Park, and Jinsung Yoon. 2023. "The Design of GNSS/IMU Loosely-Coupled Integration Filter for Wearable EPTS of Football Players" Sensors 23, no. 4: 1749. https://doi.org/10.3390/s23041749
APA StyleKim, M., Park, C., & Yoon, J. (2023). The Design of GNSS/IMU Loosely-Coupled Integration Filter for Wearable EPTS of Football Players. Sensors, 23(4), 1749. https://doi.org/10.3390/s23041749

