Impact of Initial Cyclic Loading on Mechanical Properties and Performance of Nafion
Abstract
1. Introduction
2. Materials and Methods
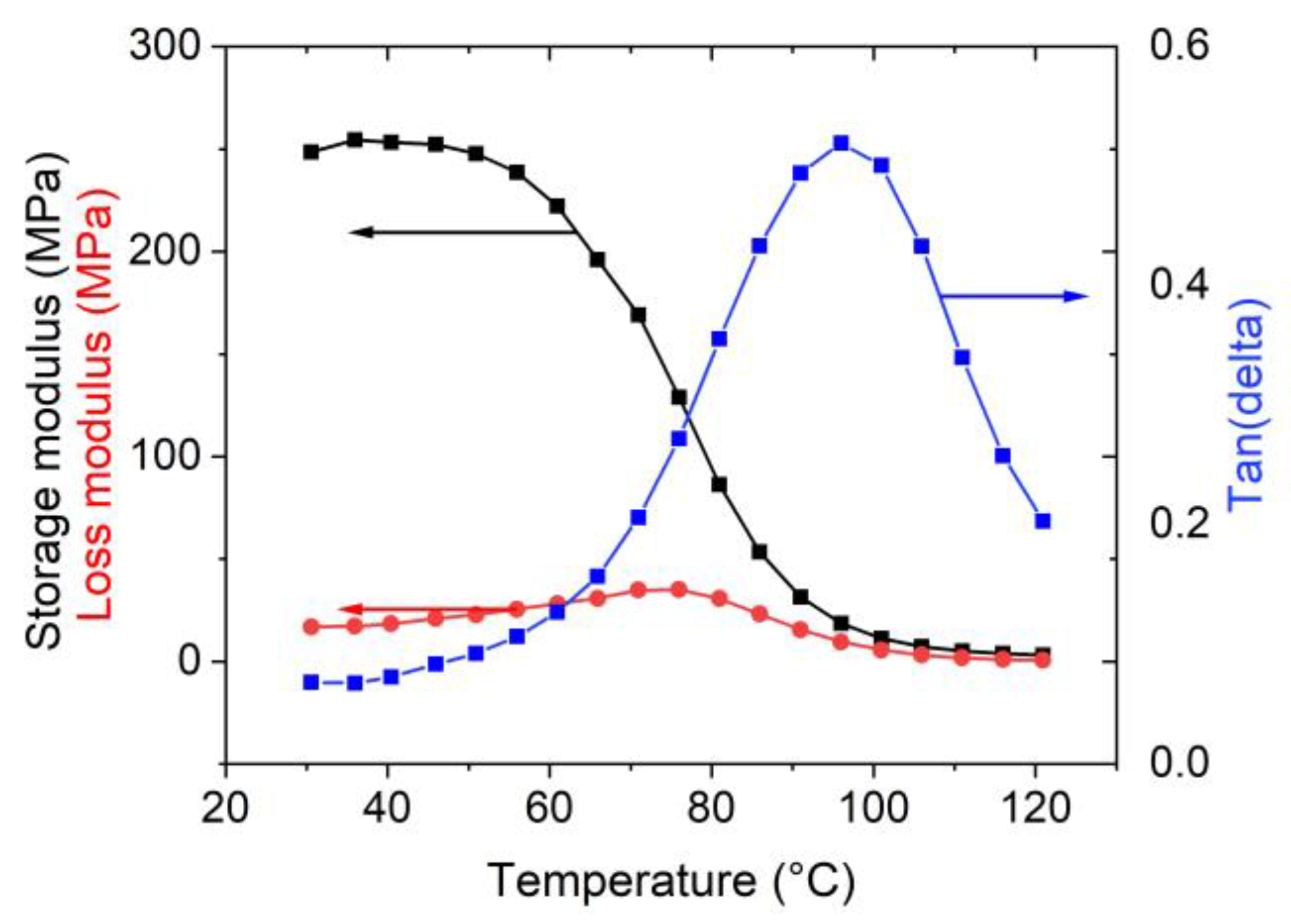
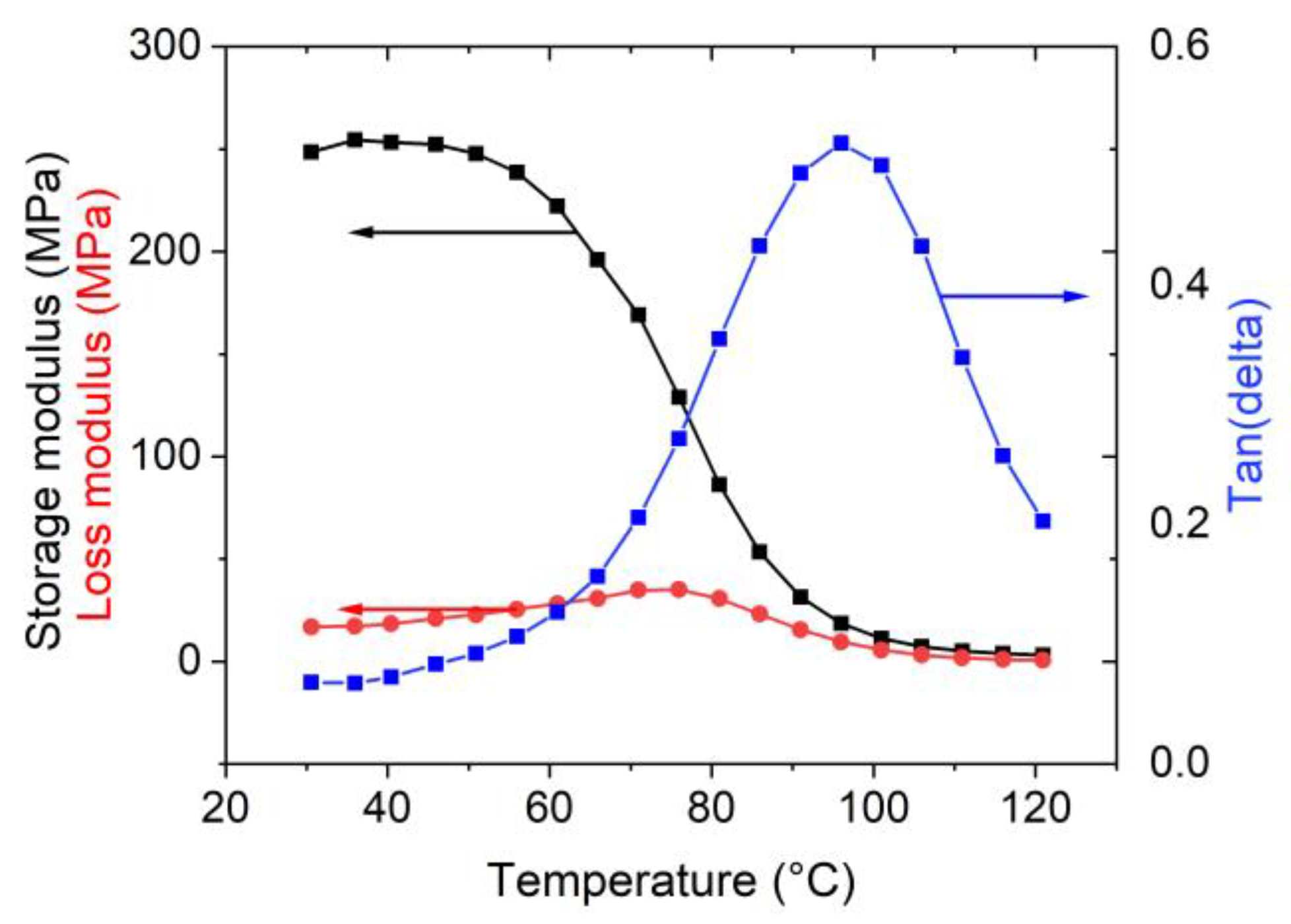
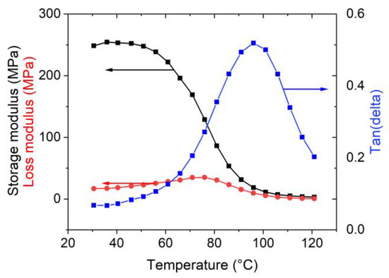
3. Results and Discussion
4. Conclusions
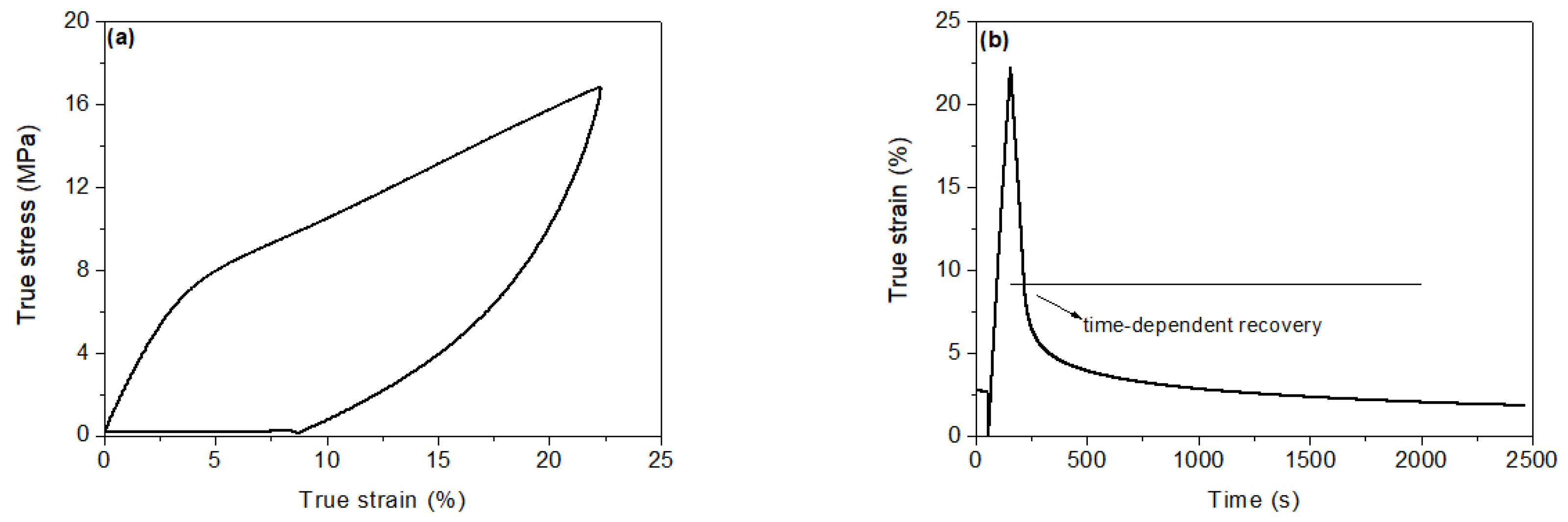
- (1)
- The Young’s modulus does not depend on the strain rate; that is, the present study considered Nafion sheet samples loaded with strain rates of 0.23, 1 and 4%/s, from which the obtained Young’s moduli were approximately identical within the measurement error;
- (2)
- The strain recovery during unloading in the first cycle depends on the speed of strain rate. Briefly, to achieve the larger unloading strain recovery requires the faster strain rate;
- (3)
- With an increasing number of loading cycles, the dependence of strain recovery on the speed of strain rate decreases. Namely, the dependency of strain recovery on the strain rate diminishes with the number of loading cycles. We also show that for all study considered cases the strain recovery is decreases from 25% (first cycle) to about ~15% (final cycle);
- (4)
- As for a time-dependent strain recovery after unloading (i.e., in the fifth cycle), the amount of strain recovery strongly depends on the strain rate. The faster the strain rate is, then the larger strain recovery is. For all the strain rates, the strain recovery slows down with increasing time and is negligible after 4000 s. Besides, the time-dependent strain recovery is due to the viscoplastic character of the polymer and residual stresses established after loading (see modeling with the viscoplasticity theory-based overstress [44,45]). The recovery is not complete due to some damage of the material structure.
Author Contributions
Funding
Institutional Review Board Statement
Informed Consent Statement
Data Availability Statement
Conflicts of Interest
References
- Schmidt-Rohr, K.; Chen, Q. Parallel cylindrical water nanochannels in Nafion fuel-cell membranes. Nat. Mater. 2008, 7, 75–83. [Google Scholar] [CrossRef] [PubMed]
- Kusoglu, A.; Weber, A.Z. New insights into perfluorinated sulfonic-acid ionomers. Chem. Rev. 2017, 117, 987–1104. [Google Scholar] [CrossRef] [PubMed]
- Kafka, V.; Vokoun, D. A Three-Scale Model of Basic Mechanical Properties of Nafion. Mech. Compos. Mater. 2015, 50, 763–776. [Google Scholar] [CrossRef]
- Knake, R.; Jacquinot, P.; Hodgson, A.W.E.; Hauser, P.C. Amperometric sensing in the gas phase. Anal. Chim. Acta 2005, 549, 1–9. [Google Scholar] [CrossRef]
- Kubersky, P.; Navratil, J.; Syrovy, T.; Sedlak, P.; Nespurek, S.; Hamacek, A. An Electrochemical Amperometric Ethylene Sensor with Solid Polymer Electrolyte Based on Ionic Liquid. Sensors 2021, 21, 711. [Google Scholar] [CrossRef]
- Zhang, C.; Ye, W.B.; Zhou, K.; Chen, H.-Y.; Yang, J.-Q.; Ding, G.; Chen, X.; Zhou, Y.; Zhou, L.; Li, F.; et al. Bioinspired Artificial Sensory Nerve Based on Nafion Memristor. Adv. Funct. Mater. 2019, 29, 1808783. [Google Scholar] [CrossRef]
- Zang, D.; Wang, M.; Yang, Z. Facile fabrication of graphene oxide/Nafion/indium oxide for humidity sensing with highly sensitive capacitance response. Sens. Act. B Chem. 2019, 292, 187–195. [Google Scholar] [CrossRef]
- Torres, A.C.; Barsan, M.M.; Brett, C.M. Simple electrochemical sensor for caffeine based on carbon and Nafion-modified carbon electrodes. Food Chem. 2014, 149, 215–220. [Google Scholar] [CrossRef] [PubMed]
- Leng, X.; Luo, D.; Xu, Z.; Wang, F. Modified graphene oxide/Nafion composite humidity sensor and its linear response to the relative humidity. Sens. Act. B Chem. 2018, 257, 372–381. [Google Scholar] [CrossRef]
- Zhou, Z.L.; Kang, T.F.; Zhang, Y.; Cheng, S.Y. Electrochemical sensor for formaldehyde based on Pt–Pd nanoparticles and a Nafion-modified glassy carbon electrode. Microchim. Acta 2009, 164, 133–138. [Google Scholar] [CrossRef]
- Jeon, J.-Y.; Kang, B.-C.; Ha, T.-J. Flexible pH sensors based on printed nanocomposites of single-wall carbon nanotubes and Nafion. Appl. Surf. Sci. 2020, 514, 145956. [Google Scholar] [CrossRef]
- Pathak, A.; Gupta, B.D. Ultra-selective fiber optic SPR platform for the sensing of dopamine in synthetic cerebrospinal fluid incorporating permselective nafion membrane and surface imprinted MWCNTs-PPy matrix. Biosens. Bioelectron. 2019, 133, 205–214. [Google Scholar] [CrossRef] [PubMed]
- Babaei, A.; Taheri, A.R. Nafion/Ni (OH) 2 nanoparticles-carbon nanotube composite modified glassy carbon electrode as a sensor for simultaneous determination of dopamine and serotonin in the presence of ascorbic acid. Sens. Act. B Chem. 2013, 176, 543–551. [Google Scholar] [CrossRef]
- Ensafi, A.A.; Jafari–Asl, M.; Rezaei, B. A novel enzyme-free amperometric sensor for hydrogen peroxide based on Nafion/exfoliated graphene oxide–Co3O4 nanocomposite. Talanta 2013, 103, 322–329. [Google Scholar] [CrossRef] [PubMed]
- Sun, Y.; Nguyen, T.N.H.; Anderson, A.; Cheng, X.; Gage, T.E.; Lim, J.; Zhang, Z.; Zhou, H.; Rodolakis, F.; Zhang, Z.; et al. In Vivo Glutamate Sensing inside the Mouse Brain with Perovskite Nickelate–Nafion Heterostructures. ACS Appl. Mater. Interfaces 2020, 12, 24564–24574. [Google Scholar] [CrossRef]
- Karimi, M.B.; Mohammadi, F.; Hooshyari, K. Recent approaches to improve Nafion performance for fuel cell applications: A review. Int. J. Hydrog. Energy 2019, 44, 28919–28938. [Google Scholar] [CrossRef]
- Corti, H.R. Polymer electrolytes for low and high temperature PEM electrolyzers. Curr. Opin. Electrochem. 2022, 36, 101109. [Google Scholar] [CrossRef]
- Sijabat, R.R.; de Groot, M.T.; Moshtarikhah, S.; van der Schaaf, J. Maxwell–Stefan model of multicomponent ion transport inside a monolayer Nafion membrane for intensified chlor-alkali electrolysis. J. Appl. Electrochem. 2019, 49, 353–368. [Google Scholar] [CrossRef]
- Mohdlsa, W.; Hunt, A.; SosseinNia, S.H. Sensing and Self-Sensing Actuation Methods for Ionic Polymer–Metal Composite (IPMC): A Review. Sensors 2019, 19, 3967. [Google Scholar] [CrossRef]
- Brufau-Penella, J.; Puig-Vidal, M.; Giannone, P.; Graziani, S.; Strazzeri, S. Characterization of the harvesting capabilities of an ionic polymer metal composite device. Smart Mater. Struct. 2008, 17, 015009. [Google Scholar] [CrossRef]
- Tang, Y.; Karlsson, A.M.; Santare, M.H.; Gilbert, M.; Cleghorn, S.; Johnson, W.B. An experimental investigation of humidity and temperature effects on the mechanical properties of perfluorosulfonic acid membrane. Mater. Sci. Eng. A 2006, 425, 297–304. [Google Scholar] [CrossRef]
- Satterfield, M.B.; Majsztrik, P.W.; Ota, H.; Benziger, J.B.; Bocarsly, A.B. Mechanical properties of Nafion and titania/Nafion composite membranes for polymer electrolyte membrane fuel cells. J. Polym. Sci. B Polym. Phys. 2006, 44, 2327–2345. [Google Scholar] [CrossRef]
- Silberstein, M.N.; Boyce, M.C. Constitutive modeling of the rate-, temperature-, and hydration-dependent deformation response of Nafion to monotonic and cyclic loading. J. Power Sources 2010, 195, 5692–5706. [Google Scholar] [CrossRef]
- Gebel, G. Structural evolution of water-swollen perfluorosulfonated ionomers from dry membrane to solution. Polymer 2000, 41, 5829–5838. [Google Scholar] [CrossRef]
- Liu, D.; Kyriakides, S.; Case, S.W.; Lesko, J.J.; Li, Y.; McGrath, J.E. Tensile behavior of Nafion and sulfonated poly(arylene ether sulfone) copolymer membranes and its morphological correlations. J. Polym. Sci. Part B Polym. Phys. 2006, 44, 1453–1465. [Google Scholar] [CrossRef]
- Modestino, M.A.; Paul, D.K.; Dishari, S.; Petrina, S.A.; Allen, F.I.; Hickner, M.A.; Karan, K.; Segalman, R.A.; Weber, A.Z. Self-assembly and transport limitations in confined Nafion films. Macromolecules 2013, 46, 867–873. [Google Scholar] [CrossRef]
- He, Q.; Yu, M.; Song, L.; Ding, H.; Zhang, X.; Dai, Z. Experimental study and model analysis of the performance of IPMC membranes with various thickness. J. Bionic Eng. 2011, 8, 77–85. [Google Scholar] [CrossRef]
- Vokoun, D.; He, Q.; Heller, L.; Yu, M.; Dai, Z. Modeling of IPMC cantilever’s displacements and blocking forces. J. Bionic Eng. 2015, 12, 142–151. [Google Scholar] [CrossRef]
- Kusoglu, A.; Karlsson, A.M.; Santare, M.H. Structure–property relationship in ionomer membranes. Polymer 2010, 51, 1457–1464. [Google Scholar] [CrossRef]
- Qi, Y.; Lai, Y.H. Mesoscale modeling of the influence of morphology on the mechanical properties of proton exchange membranes. Polymer 2011, 52, 201–210. [Google Scholar] [CrossRef]
- Freger, V. Hydration of ionomers and Schroeder’s paradox in Nafion. J. Phys. Chem. B 2009, 113, 24–36. [Google Scholar] [CrossRef] [PubMed]
- Silberstein, M.N.; Pillai, P.V.; Boyce, M.C. Biaxial elastic-viscoplastic behavior of Nafion membranes. Polymer 2010, 52, 529–539. [Google Scholar] [CrossRef]
- Silberstein, M.N.; Boyce, M.C. Hygro-thermal mechanical behavior of Nafion during constrained swelling. J. Power Sources 2011, 196, 3452–3460. [Google Scholar] [CrossRef]
- Nemat-Nasser, S. Micromechanics of actuation of ionic polymer-metal composites. J. Appl. Phys. 2002, 92, 2899–2915. [Google Scholar] [CrossRef]
- Nemat-Nasser, S.; Zamani, S. Modeling of electrochemomechanical response of ionic polymer-metal composites with various solvents. J. Appl. Phys. 2006, 100, 064310. [Google Scholar] [CrossRef]
- Solasi, R.; Zou, Y.; Huang, X.; Reifsnider, K.; Condit, D. On mechanical behavior and in-plane modeling of constrained PEM fuel cell membranes subjected to hydration and temperature cycles. J. Power Sources 2007, 167, 366–377. [Google Scholar] [CrossRef]
- Kusoglu, A.; Santare, M.H.; Karlsson, A.M.; Cleghorn, S.; Johnson, W.B. Micromechanics model based on the nanostructure of PFSA membranes. J. Polym. Sci. Part B Polym. Phys. 2008, 46, 2404–2417. [Google Scholar] [CrossRef]
- Bauer, F.; Denneler, S.; Willert-Porada, M. Influence of temperature and humidity on the mechanical properties of Nafion® 117 polymer electrolyte membrane. J. Polym. Sci. B Polym. Phys. 2005, 43, 786–795. [Google Scholar] [CrossRef]
- Su, L.; An, Q.; Li, J.; Wang, L.; Zhang, Y.; Zhou, H.; Xia, R. Fatigue response of Nafion® XL membrane in biaxial tension: Temperature effects. Fatigue Fract. Eng. Mater. Struct. 2021, 44, 1675–1678. [Google Scholar] [CrossRef]
- Xie, T.; Page, K.A.; Eastman, S.A. Strain-Based Temperature Memory Effect for Nafion and Its Molecular Origins. Adv. Funct. Mater. 2011, 21, 2057–2066. [Google Scholar] [CrossRef]
- Van Humbeeck, J.; Stalmans, R. Thermomechanical Properties of SMA: Shape Memory Materials; Otsuka, K., Wayman, C.M., Eds.; Cambridge University Press: Cambridge, UK, 1998. [Google Scholar]
- Beleggia, M.; Vokoun, D.; De Graef, M. Forces between a permanent magnet and a soft magnetic plate. IEEE Magn. Lett. 2012, 3, 0500204. [Google Scholar] [CrossRef]
- Jung, H.Y.; Kim, J.W. Role of the glass transition temperature of Nafion 117 membrane in the preparation of the membrane electrode assembly in a direct methanol fuel cell (DMFC). Int. J. Hydrogen Energy 2012, 37, 12580–12585. [Google Scholar] [CrossRef]
- Kafka, V.; Vokoun, D. On backstresses, overstresses, and internal stresses represented on the mesoscale. Int. J. Plast. 2005, 21, 1461–1480. [Google Scholar] [CrossRef]
- Colak, O.U. Modeling deformation behavior of polymers with viscoplasticity theory based on overstress. Int. J. Plast. 2005, 21, 145–160. [Google Scholar] [CrossRef]
- Stachiv, I.; Alarcon, E.; Lamac, M. Shape Memory Alloys and Polymers for MEMS/NEMS Applications: Review on Recent Findings and Challenges in Design, Preparation, and Characterization. Metals 2021, 11, 415. [Google Scholar] [CrossRef]
- Stachiv, I.; Kuo, C.-Y.; Li, W. Protein adsorption by nanomechanical mass spectrometry: Beyond the real-time molecular weighting. Front. Mol. Biosci. 2023, 9, 1058441. [Google Scholar] [CrossRef]
- Oyefusi, A.; Chen, J. Reprogrammable Chemical 3D Shaping for Origami, Kirigami, and Reconfigurable Molding. Angew. Chem. 2017, 56, 8250–8253. [Google Scholar] [CrossRef]






Disclaimer/Publisher’s Note: The statements, opinions and data contained in all publications are solely those of the individual author(s) and contributor(s) and not of MDPI and/or the editor(s). MDPI and/or the editor(s) disclaim responsibility for any injury to people or property resulting from any ideas, methods, instructions or products referred to in the content. |
© 2023 by the authors. Licensee MDPI, Basel, Switzerland. This article is an open access article distributed under the terms and conditions of the Creative Commons Attribution (CC BY) license (https://creativecommons.org/licenses/by/4.0/).
Share and Cite
Vokoun, D.; Samal, S.; Stachiv, I. Impact of Initial Cyclic Loading on Mechanical Properties and Performance of Nafion. Sensors 2023, 23, 1488. https://doi.org/10.3390/s23031488
Vokoun D, Samal S, Stachiv I. Impact of Initial Cyclic Loading on Mechanical Properties and Performance of Nafion. Sensors. 2023; 23(3):1488. https://doi.org/10.3390/s23031488
Chicago/Turabian StyleVokoun, David, Sneha Samal, and Ivo Stachiv. 2023. "Impact of Initial Cyclic Loading on Mechanical Properties and Performance of Nafion" Sensors 23, no. 3: 1488. https://doi.org/10.3390/s23031488
APA StyleVokoun, D., Samal, S., & Stachiv, I. (2023). Impact of Initial Cyclic Loading on Mechanical Properties and Performance of Nafion. Sensors, 23(3), 1488. https://doi.org/10.3390/s23031488

