A Low-Loss, 77 GHz, 8 × 8 Microstrip Butler Matrix on a High-Purity Fused-Silica (HPFS) Glass Substrate
Abstract
1. Introduction
2. Butler Matrix Theory and Design Challenges
2.1. Working Principle of a 4 × 4 Butler Matrix
2.2. Working Principle of an 8 × 8 Butler Matrix
3. Design and Simulation of 4 × 4 and 8 × 8 Microstrip Butler Matrices
3.1. Material Selection
3.2. 90° Hybrid Coupler
3.3. Crossover
3.3.1. Type-1 Crossover
3.3.2. Type-2 Crossover
3.4. Phase Shifters
3.5. The 4 × 4 Butler Matrix Design
3.6. The 8 × 8 Butler Matrix
- For some cases, the simulated insertion loss is 15 ± 3.5 dB.
- The insertion losses S210 (or S714), S414 (or S515), and S415 (or S514) are unexpectedly too high, most likely due to the long propagation path of the RF signal.
- The return losses for all the ports are less than 20 dB.
- The isolation between adjacent ports is below 20 dB for all the ports except S14 (or S85).
- The phase errors at the output ports are within ±15° compared to phases mentioned in Table 3.
4. Design Validation
4.1. Microstrip Patch Antenna Design
4.2. The 4 × 4 Butler Matrix with an Antenna Array of Four Elements
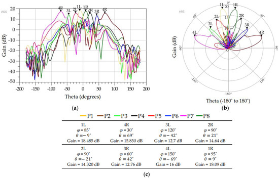
4.3. The 8 × 8 Butler Matrix with an Antenna Array of Eight Elements
4.4. Performance Comparison of 4 × 4 and 8 × 8 Butler Matrices at 77 GHz
5. Butler Matrix Fabrication
6. Conclusions
Author Contributions
Funding
Institutional Review Board Statement
Informed Consent Statement
Data Availability Statement
Acknowledgments
Conflicts of Interest
References
- Hasch, J.; Topak, E.; Schnabel, R.; Zwick, T.; Weigel, R.; Waldschmidt, C. Millimeter-Wave Technology for Automotive Radar Sensors in the 77 GHz Frequency Band. IEEE Trans. Microw. Theory Tech. 2012, 60, 845–860. [Google Scholar] [CrossRef]
- Chatterjee, S. A 77 GHz BCB Based High Performance Antenna Array for Autonomous Vehicle Radars. Master’s Thesis, Electrical and Computer Engineering, Windsor, ON, Canada, 2018. Available online: https://scholar.uwindsor.ca/etd/7505 (accessed on 25 June 2022).
- Wu, T.; Rappaport, T.S.; Collins, C.M. The human body and millimeter-wave wireless communication systems: Interactions and implications. In Proceedings of the 2015 IEEE International Conference on Communications (ICC), London, UK, 8–12 June 2015; pp. 2423–2429. [Google Scholar] [CrossRef]
- Vallappil, A.K.; Rahim, M.K.A.; Khawaja, B.A.; Murad, N.A.; Mustapha, M.G. Butler Matrix Based Beamforming Networks for Phased Array Antenna Systems: A Comprehensive Review and Future Directions for 5G Applications. IEEE Access 2020, 9, 3970–3987. [Google Scholar] [CrossRef]
- Butler, J.; Lowe, R. Beam-forming matrix simplifies design of electronically scanned antennas. Electron. Des. 1961, 9, 170–173. [Google Scholar]
- Rotman, W.; Turner, R. Wide-angle microwave lens for line source applications. IEEE Trans. Antennas Propag. 1963, 11, 623–632. [Google Scholar] [CrossRef]
- Attaran, A.; Chowdhury, S. Fabrication of a 77 GHz Rotman Lens on a High Resistivity Silicon Wafer Using Lift-Off Process. Int. J. Antennas Propag. 2014, 2014, 471935. [Google Scholar] [CrossRef]
- Blass, J. Multidirectional antenna—A new approach to stacked beams. Proc. Inst. Radio Eng. 1960, 48, 48–50. [Google Scholar] [CrossRef]
- Nolen, J. Synthesis of Multiple Beam Networks for Arbitrary Illuminations. Ph.D. Dissertation, Radio Division, Bendix Corp., Baltimore, MD, USA, April 1965. [Google Scholar]
- Ren, H.; Zhang, H.; Jin, Y.; Gu, Y.; Arigong, B. A Novel 2-D 3×3 Nolen Matrix for 2-D Beamforming Applications. IEEE Trans. Microw. Theory Tech. 2019, 67, 4622–4631. [Google Scholar] [CrossRef]
- Nord, H. Implementation of an 8x8-Butler Matrix in Microstrip. Diploma Thesis, Technische Universitat Wien, Vienna, Austria, 1998. [Google Scholar]
- Cerna, R.D.; Yarlequé, M.A. Design and implementation of a wideband 8×8 Butler Matrix for AWS and PCS 1900 MHz beamforming networks. In Proceedings of the 2015 IEEE International Wireless Symposium (IWS 2015), Shenzhen, China, 30 March–1 April 2015; pp. 1–4. [Google Scholar] [CrossRef]
- Shastrakar, A.; Sutar, U. Design and Simulation of Microstrip Butler Matrix Elements Operating at 2.4GHz for Wireless Applications. Int. J. Sci. Eng. Res. 2016, 7, 1528–1531. [Google Scholar]
- SalarRahimi, M.; Vandenbosch, G.A. Beam steerable subarray with small footprint for use as building block in wall-mounted indoor wireless infrastructure. IET Microw. Antennas Propag. 2019, 13, 526–531. [Google Scholar] [CrossRef]
- Djerafi, T.; Fonseca, N.; Wu, K. Design and implementation of a planar 4 × 4 butler matrix in SIW technology for wideband applications. In Proceedings of the 40th European Microwave Conference, Paris, France, 28–30 September 2010; pp. 910–913. [Google Scholar] [CrossRef]
- Habibi, H. Design of a 4x4 Butler Matrix for Vehicle Radar Beamforming Antenna systems at 24 GHz. Master’s Thesis, Telecomunn. Eng. University of Gaza, Gaza, Palestine, 2014. [Google Scholar]
- Orakwue, S.; Ngah, R.; Rahman, T.; Al-Khafaji, H. A 4 × 4 Butler Matrix for 28 GHz Switched Multi-Beam Antenna. Int. J. Eng. Technol. 2015, 7, 436–442. [Google Scholar]
- Idrus, I.; Latef, T.; Aridas, N.; Talep, M. Design and characterization of a compact single-layer multibeam array antenna using an 8 × 8 Butler matrix for 5G base station applications. Turk. J. Electr. Eng. Comput. Sci. 2020, 28, 1121–1134. [Google Scholar] [CrossRef]
- Djerafi, T.; Wu, K. A Low-Cost Wideband 77-GHz Planar Butler Matrix in SIW Technology. IEEE Trans. Antennas Propag. 2012, 60, 4949–4954. [Google Scholar] [CrossRef]
- Rehman, M.; Ravichandran, S.; Erdogan, S.; Swaminathan, M. W-band and D-band Transmission Lines on Glass Based Substrates for Sub-THz Modules. In Proceedings of the 2020 IEEE 70th Electronic Components and Technology Conference (ECTC), Orlando, FL, USA, 3–30 June 2020; pp. 660–665. [Google Scholar] [CrossRef]
- Ali, M. Advanced 5G Substrates with Integrated Antennas. Master’s Thesis, Department of Electrical and Computer Engineering, Georgia Institute of Technology, Atlanta, GA, USA, 2017. [Google Scholar]
- Corning HPFS® Fused Silica. Datasheet, Corning Inc., May 2017. Available online: https://www.corning.com/media/worldwide/csm/documents/CorningHPFSFusedSilicaWafer_PI.pdf (accessed on 6 June 2022).
- Uemichi, Y.; Nukaga, O.; Hosono, R.; Guan, N.; Hirokawa, J.; Ando, M. A ultra low-loss silica-based transformer between microstrip line and post-wall waveguide for millimeter-wave antenna-in-package applications. In Proceedings of the 2014 IEEE MTT-S International Microwave Symposium (IMS2014), Tampa, FL, USA, 1–6 June 2014; pp. 1–3. [Google Scholar] [CrossRef]
- Uemichi, Y.; Nukaga, O.; Han, X.; Hosono, R.; Guan, N.; Amakawa, S. Characterization of 60-GHz silica-based post-wall waveguide and low-loss substrate dielectric. In Proceedings of the 2016 Asia-Pacific Microwave Conference (APMC), New Delhi, India, 5–9 December 2016; pp. 1–4. [Google Scholar] [CrossRef]

























| Radar Type | Frequency (GHz) | Bandwidth (GHz) | Angle of Coverage | Range (m) | Resolution (m) |
|---|---|---|---|---|---|
| SRR | 77–81 | 4 | ±20–50° | 0.15–30 | ~0.1 |
| MRR | 77–81 | 4 | ±6–10° | 0.2–100 | ~0.5 |
| LRR | 76–77 | 1 | ±5–7.5° | 10–250 | ~0.5 |
| Output Ports | Beam Ports | |||
|---|---|---|---|---|
| 1L | 2R | 2L | 1R | |
| A1 | −45 | −135 | −90 | −180 |
| A2 | −90 | 0/360 | −225/135 | −135 |
| A3 | −135 | −225/135 | 0/360 | −90 |
| A4 | −180 | −90 | −135 | −45 |
| Phase difference () | 45 | −135 | 135 | −45 |
| Beam angle | −14.47 | 48.6 | −48.6 | 14.47 |
| Beam Ports | ||||||||
|---|---|---|---|---|---|---|---|---|
| Output Ports | 1L | 4R | 3L | 2R | 2L | 3R | 4L | 1R |
| A1 | −112.5° | 157.5° | −135° | 135° | −112.5° | 157.5° | −180° | 90° |
| A2 | −135° | −45° | 112.5° | −157.5° | −180° | −90° | 22.5° | 112.5° |
| A3 | −157.5° | 112.5° | 0° | −90° | 112.5° | 22.5° | −135° | 135° |
| A4 | −180° | −90° | −112.5° | −22.5° | 45° | 135° | 67.5° | 157.5° |
| A5 | 157.5° | 67.5° | 135° | 45° | −22.5° | −112.5° | −90° | −180° |
| A6 | 135° | −135° | 22.5° | 112.5° | −90° | 0° | 112.5° | −157.5° |
| A7 | 112.5° | 22.5° | −90° | −180° | −157.5° | 112.5° | −45° | −135° |
| A8 | 90° | −180° | 157.5° | −112.5° | 135° | −135° | 157.5° | −112.5° |
| Phase difference () | 22.5° | −157.5° | 112.5° | −67.5° | 67.5° | −112.5° | 157.5° | −22.5° |
| Beam angle | −7° | 61° | −39° | 22° | −22° | 39° | −61° | 7° |
| Parameter | W1 | L1 | W2 | L2 | W3 | L3 |
|---|---|---|---|---|---|---|
| Values (mm) | 0.118 | 0.779 | 0.145 | 0.816 | 0.22 | 0.28 |
| Parameters | W1 | L1 | W2 | L2 | W3 | L3 | W4 | L4 | W5 | L5 |
|---|---|---|---|---|---|---|---|---|---|---|
| Values (mm) | 0.119 | 0.834 | 0.211 | 0.29 | 0.124 | 0.855 | 0.12 | 0.825 | 0.11 | 0.912 |
| Parameters | W1 | W2 | W3 | W4 | W5 | W6 |
|---|---|---|---|---|---|---|
| Values (mm) | 0.116 | 0.192 | 0.226 | 0.12 | 0.11 | 0.122 |
| Parameters | L1 | L2 | L3 | L4 | L5 | L6 |
| Values (mm) | 0.107 | 0.618 | 0.686 | 0.616 | 0.582 | 0.547 |
| Parameters | |||||
|---|---|---|---|---|---|
| W1 | L1 | L2 | L3 | ||
| Values (mm) | 22.5° | 0.119 | 0.532 | 0.0533 | 0.616 |
| 45° | 0.119 | 0.532 | 0.136 | 0.616 | |
| 67.5° | 0.119 | 0.532 | 0.2025 | 0.616 | |
| Parameters | W | L | a | b | c | d |
|---|---|---|---|---|---|---|
| Values(mm) | 0.819 | 0.9453 | 0.187 | 0.163 | 0.119 | 0.8434 |
| Beam Ports | ||||
|---|---|---|---|---|
| Beam Angle (θp) | 1L | 2R | 2L | 1R |
| Calculated | −14.47 | 48.6 | −48.6 | 14.47 |
| Observed | −15 | 42 | −42 | 15 |
| Error | −0.53 | −6.6 | 6.6 | 0.53 |
| Parameters | 4 × 4 Butler Matrix | 8 × 8 Butler Matrix |
|---|---|---|
| Return loss | <−7 dB | <−9 dB |
| Isolation | <−20 dB | <−20 dB |
| Maximum main lobe | 10.16 dBi | 9.1 dBi |
| Minimum main lobe | 9 dBi | 6.4 dBi |
| Elevation angle error | ±6.6° | ±8° |
| Total angular coverage | 144° | 162° |
| Parameters | Reference [19] | This Work |
|---|---|---|
| Technology | SIW | Microstrip |
| Frequency | 77 GHz | 77 GHz |
| Simulation software | HFSS | ADS |
| Matrix type | 4 × 4 | 4 × 4 |
| Substrate | RT/Duroid 6002 | HPFS |
| Thickness of substrate | 0.508 mm | 0.2 mm |
| Footprint area | 31.5 × 28.5 mm2 | 9.5 × 8.3 mm2 |
| Insertion loss | −6.7 ± 0.75 dB | −8 ± 2 dB |
| Isolation | <−20 dB | <−20 dB |
| Footprint area of antenna array | 9 × 8.4 mm2 | 2.61 × 8.994 mm2 |
| Antenna type | Slot | Microstrip |
| Return loss | <−10 dB | <−7 dB |
| Maximum main lobe power | 12.21 dBi | 10.16 dBi |
| Minimum main lobe power | 9.9 dBi | 9 dBi |
| Phase error | 7° | 6.6° |
Disclaimer/Publisher’s Note: The statements, opinions and data contained in all publications are solely those of the individual author(s) and contributor(s) and not of MDPI and/or the editor(s). MDPI and/or the editor(s) disclaim responsibility for any injury to people or property resulting from any ideas, methods, instructions or products referred to in the content. |
© 2023 by the authors. Licensee MDPI, Basel, Switzerland. This article is an open access article distributed under the terms and conditions of the Creative Commons Attribution (CC BY) license (https://creativecommons.org/licenses/by/4.0/).
Share and Cite
Sakhiya, R.; Chowdhury, S. A Low-Loss, 77 GHz, 8 × 8 Microstrip Butler Matrix on a High-Purity Fused-Silica (HPFS) Glass Substrate. Sensors 2023, 23, 1418. https://doi.org/10.3390/s23031418
Sakhiya R, Chowdhury S. A Low-Loss, 77 GHz, 8 × 8 Microstrip Butler Matrix on a High-Purity Fused-Silica (HPFS) Glass Substrate. Sensors. 2023; 23(3):1418. https://doi.org/10.3390/s23031418
Chicago/Turabian StyleSakhiya, Ronak, and Sazzadur Chowdhury. 2023. "A Low-Loss, 77 GHz, 8 × 8 Microstrip Butler Matrix on a High-Purity Fused-Silica (HPFS) Glass Substrate" Sensors 23, no. 3: 1418. https://doi.org/10.3390/s23031418
APA StyleSakhiya, R., & Chowdhury, S. (2023). A Low-Loss, 77 GHz, 8 × 8 Microstrip Butler Matrix on a High-Purity Fused-Silica (HPFS) Glass Substrate. Sensors, 23(3), 1418. https://doi.org/10.3390/s23031418

