Mid-Infrared Gas Sensing Based on Electromagnetically Induced Transparency in Coupled Plasmonic Resonators
Abstract
:1. Introduction
2. Device Structure
3. Ring Resonator Characterization
3.1. Plasmonic Mode Analysis
3.2. Single-Ring Resonator Behavior
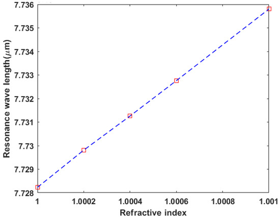
3.3. Coupled-Ring Resonator Behavior
4. Ring Resonator Sensor
5. Analysis for Testing Hydrocarbon Gases
6. Conclusions
Author Contributions
Funding
Institutional Review Board Statement
Informed Consent Statement
Data Availability Statement
Conflicts of Interest
Abbreviations
| SOI | Silicon on Insulator |
| EIT | Electromagnetically Induced Transparency |
| FOM | Figure of Merit |
| MIR | Mid-infrared Range |
| FWHM | Full Width at Half Maximum |
References
- Gamal, R.; Shafaay, S.; Ismail, Y.; Swillam, M.A. Silicon plasmonics at midinfrared using silicon-insulator-silicon platform. J. Nanophotonics 2017, 11, 016006. [Google Scholar] [CrossRef]
- Swillam, M.A.; Gamal, R.; Ismail, Y. Silicon Waveguides at the Mid-Infrared. J. Light. Technol. 2015, 33, 3207–3214. [Google Scholar]
- Sherif, S.M.; Swillam, M.A. Silicon-based mid infrared on-chip gas sensor using Fano resonance of coupled plasmonic microcavities. Sci. Rep. 2023, 13, 12311. [Google Scholar] [CrossRef] [PubMed]
- Wong, H.M.K.; Helmy, A.S. Optically defined plasmonic waveguides in crystalline semiconductors at optical frequencies. J. Opt. Soc. Am. B 2013, 30, 1000. [Google Scholar] [CrossRef]
- Kuo, J.B.; Su, K.W. SOI CMOS Technology BT—CMOS VLSI Engineering: Silicon-on-Insulator (SOI); Springer: Boston, MA, USA, 1998; pp. 15–70. [Google Scholar] [CrossRef]
- El Shamy, R.S.; Swillam, M.A.; Li, X. On-chip complex refractive index detection at multiple wavelengths for selective sensing. Sci. Rep. 2022, 12, 9343. [Google Scholar] [CrossRef] [PubMed]
- Shafaay, S.; Swillam, M.A. Integrated slotted ring resonator at mid-infrared for on-chip sensing applications. J. Nanophotonics 2019, 13, 036016. [Google Scholar] [CrossRef]
- El Shamy, R.S.; Swillam, M.A.; ElRayany, M.M.; Sultan, A.; Li, X. Compact Gas Sensor Using Silicon-on-Insulator Loop-Terminated Mach–Zehnder Interferometer. Photonics 2022, 9, 8. [Google Scholar] [CrossRef]
- Thomson, D.; Zilkie, A.; Bowers, J.E.; Komljenovic, T.; Reed, G.T.; Vivien, L.; Marris-Morini, D.; Cassan, E.; Virot, L.; Fédéli, J.M.; et al. Roadmap on silicon photonics. J. Opt. 2016, 18, 73003. [Google Scholar] [CrossRef]
- Mohamed, S.; Shahada, L.; Swillam, M. Vertical Silicon Nanowires Based Directional Coupler Optical Router. IEEE Photonics Technol. Lett. 2018, 30, 789–792. [Google Scholar] [CrossRef]
- Nishijima, Y.; Adachi, Y.; Rosa, L.; Juodkazis, S.; Juodkazis, S. Plasmonic Gas Sensor. In Proceedings of the JSAP-OSA Joint Symposia 2013 Abstracts, Kyoto, Japan, 16–20 September 2013. [Google Scholar] [CrossRef]
- Kazanskiy, N.L.; Khonina, S.N.; Butt, M.A. Subwavelength Grating Double Slot Waveguide Racetrack Ring Resonator for Refractive Index Sensing Application. Sensors 2020, 20, 3416. [Google Scholar] [CrossRef]
- Hübert, T.; Boon-Brett, L.; Palmisano, V.; Bader, M.A. Developments in gas sensor technology for hydrogen safety. Int. J. Hydrogen Energy 2014, 39, 20474–20483. [Google Scholar] [CrossRef]
- Gupta Chatterjee, S.; Chatterjee, S.; Ray, A.K.; Chakraborty, A.K. Graphene–metal oxide nanohybrids for toxic gas sensor: A review. Sens. Actuators B Chem. 2015, 221, 1170–1181. [Google Scholar] [CrossRef]
- Yang, D.; Gopal, R.A.; Lkhagvaa, T.; Choi, D. Metal-oxide gas sensors for exhaled-breath analysis: A review. Meas. Sci. Technol. 2021, 32, 102004. [Google Scholar] [CrossRef]
- Elsayed, M.Y.; Ismail, Y.; Swillam, M.A. Semiconductor plasmonic gas sensor using on-chip infrared spectroscopy. Appl. Phys. A 2017, 123, 113. [Google Scholar] [CrossRef]
- Rothman, L.S.; Gordon, I.E.; Barbe, A.; Benner, D.C.; Bernath, P.F.; Birk, M.; Boudon, V.; Brown, L.R.; Campargue, A.; Champion, J.P.; et al. The HITRAN 2008 molecular spectroscopic database. J. Quant. Spectrosc. Radiat. Transf. 2009, 110, 533–572. [Google Scholar] [CrossRef]
- Kazanskiy, N.L.; Khonina, S.N.; Butt, M.A. Advancement in Silicon Integrated Photonics Technologies for Sensing Applications in Near-Infrared and Mid-Infrared Region: A Review. Photonics 2022, 9, 331. [Google Scholar] [CrossRef]
- Shahbaz, M.; Butt, M.A.; Piramidowicz, R. Breakthrough in Silicon Photonics Technology in Telecommunications, Biosensing, and Gas Sensing. Micromachines 2023, 14, 1637. [Google Scholar] [CrossRef]
- Soref, R. Mid-infrared photonics in silicon and germanium. Nat. Photonics 2010, 4, 495–497. [Google Scholar] [CrossRef]
- Soref, R.A.; Emelett, S.J.; Buchwald, W.R. Silicon waveguided components for the long-wave infrared region. J. Opt. A Pure Appl. Opt. 2006, 8, 840. [Google Scholar] [CrossRef]
- Zhou, W.; Cheng, Z.; Wu, X.; Sun, X.; Tsang, H.K. Fully suspended slot waveguide platform. J. Appl. Phys. 2018, 123, 63103. [Google Scholar] [CrossRef]
- Kazanskiy, N.L.; Butt, M.A.; Khonina, S.N. Silicon photonic devices realized on refractive index engineered subwavelength grating waveguides—A review. Opt. Laser Technol. 2021, 138, 106863. [Google Scholar] [CrossRef]
- Majorel, C.; Paillard, V.; Patoux, A.; Wiecha, P.R.; Cuche, A.; Arbouet, A.; Bonafos, C.; Girard, C. Theory of plasmonic properties of hyper-doped silicon nanostructures. Opt. Commun. 2019, 453, 124336. [Google Scholar] [CrossRef]
- Wang, M.; Debernardi, A.; Berencén, Y.; Heller, R.; Xu, C.; Yuan, Y.; Xie, Y.; Böttger, R.; Rebohle, L.; Skorupa, W.; et al. Breaking the Doping Limit in Silicon by Deep Impurities. Phys. Rev. Appl. 2019, 11, 54039. [Google Scholar] [CrossRef]
- Babicheva, V.E. Optical Processes behind Plasmonic Applications. Nanomaterials 2023, 13, 1270. [Google Scholar] [CrossRef]
- Song, M.; Feng, L.; Huo, P.; Liu, M.; Huang, C.; Yan, F.; Lu, Y.Q.; Xu, T. Versatile full-colour nanopainting enabled by a pixelated plasmonic metasurface. Nat. Nanotechnol. 2023, 18, 71–78. [Google Scholar] [CrossRef]
- Beiranvand, B.; Sobolev, A.S. A proposal for a multi-functional tunable dual-band plasmonic absorber consisting of a periodic array of elliptical grooves. J. Opt. 2020, 22, 105005. [Google Scholar] [CrossRef]
- Musa, A.; Alam, T.; Islam, M.T.; Hakim, M.L.; Rmili, H.; Alshammari, A.S.; Islam, M.S.; Soliman, M.S. Broadband Plasmonic Metamaterial Optical Absorber for the Visible to Near-Infrared Region. Nanomaterials 2023, 13, 626. [Google Scholar] [CrossRef]
- Hong, J.; Qiu, F.; Cheng, X.; Spring, A.M.; Yokoyama, S. A high-speed electro-optic triple-microring resonator modulator. Sci. Rep. 2017, 7, 4682. [Google Scholar] [CrossRef]
- Sherif, S.M.; Swillam, M.A. Metal-less silicon plasmonic mid-infrared gas sensor. J. Nanophotonics 2016, 10, 026025. [Google Scholar] [CrossRef]
- U.S. Environmental Protection Agency (USEPA). Overview of Greenhouse Gases. Available online: https://www.epa.gov/ghgemissions/overview-greenhouse-gases#overview (accessed on 30 September 2023).
- Fano, U. Effects of Configuration Interaction on Intensities and Phase Shifts. Phys. Rev. 1961, 124, 1866–1878. [Google Scholar] [CrossRef]
- Limonov, M.F.; Rybin, M.V.; Poddubny, A.N.; Kivshar, Y.S. Fano resonances in photonics. Nat. Photonics 2017, 11, 543–554. [Google Scholar] [CrossRef]
- Zografopoulos, D.C.; Swillam, M.; Beccherelli, R. Hybrid Plasmonic Modulators and Filters Based on Electromagnetically Induced Transparency. IEEE Photonics Technol. Lett. 2016, 28, 818–821. [Google Scholar] [CrossRef]
- Novikov, V.B.; Murzina, T.V. Borrmann effect in photonic crystals. Opt. Lett. 2017, 42, 1389–1392. [Google Scholar] [CrossRef] [PubMed]
- Zhang, Z.; Dainese, M.; Wosinski, L.; Qiu, M. Resonance-splitting and enhanced notch depth in SOI ring resonators with mutual mode coupling. Opt. Express 2008, 16, 4621–4630. [Google Scholar] [CrossRef] [PubMed]
- Liu, C.; Sang, C.; Wu, X.; Cai, J.; Wang, J. Grating double-slot micro-ring resonator for sensing. Opt. Commun. 2021, 499, 127280. [Google Scholar] [CrossRef]
- Xu, Z. A Metamaterial Design Based on Electromagnetic Induction Transparency-Like Effect and Its Slow-Wave Performance. Opt. Photonics J. 2021, 11, 79–88. [Google Scholar] [CrossRef]
- Sun, D.; Qi, L.; Liu, Z. Terahertz broadband filter and electromagnetically induced transparency structure with complementary metasurface. Results Phys. 2020, 16, 102887. [Google Scholar] [CrossRef]
- Zhang, X.; Shao, M.; Zeng, X. High Quality Plasmonic Sensors Based on Fano Resonances Created through Cascading Double Asymmetric Cavities. Sensors 2016, 16, 1730. [Google Scholar] [CrossRef]
- Chen, Z.; Song, X.; Jiao, R.; Duan, G.; Wang, L.; Yu, L. Tunable Electromagnetically Induced Transparency in Plasmonic System and Its Application in Nanosensor and Spectral Splitting. IEEE Photonics J. 2015, 7, 1–8. [Google Scholar] [CrossRef]
- Tanji-Suzuki, H.; Chen, W.; Landig, R.; Simon, J.; Vuletic, V. Vacuum-induced transparency. Science 2011, 333, 1266–1269. [Google Scholar] [CrossRef]
- Tassin, P.; Zhang, L.; Zhao, R.; Jain, A.; Koschny, T.; Soukoulis, C.M. Electromagnetically Induced Transparency and Absorption in Metamaterials: The Radiating Two-Oscillator Model and Its Experimental Confirmation. Phys. Rev. Lett. 2012, 109, 187401. [Google Scholar] [CrossRef] [PubMed]
- Tang, Y.; Liang, Y.; Yao, J.; Chen, M.K.; Lin, S.; Wang, Z.; Zhang, J.; Huang, X.G.; Yu, C.; Tsai, D.P. Chiral Bound States in the Continuum in Plasmonic Metasurfaces. Laser Photonics Rev. 2023, 17, 2200597. [Google Scholar] [CrossRef]
- Liang, Y.; Koshelev, K.; Zhang, F.; Lin, H.; Lin, S.; Wu, J.; Jia, B.; Kivshar, Y. Bound States in the Continuum in Anisotropic Plasmonic Metasurfaces. Nano Lett. 2020, 20, 6351–6356. [Google Scholar] [CrossRef] [PubMed]
- Christina Manolatou, H.A.H. Passive Components for Dense Optical Integration; Springer: New York, NY, USA, 2012; p. 170. [Google Scholar] [CrossRef]
- Miyao, M.; Motooka, T.; Natsuaki, N.; Tokuyama, T. Change of the electron effective mass in extremely heavily doped n-type Si obtained by ion implantation and laser annealing. Solid State Commun. 1981, 37, 605–608. [Google Scholar] [CrossRef]
- Aspnes, D.E.; Studna, A.A.; Kinsbron, E. Dielectric properties of heavily doped crystalline and amorphous silicon from 1.5 to 6.0 eV. Phys. Rev. B 1984, 29, 768–779. [Google Scholar] [CrossRef]
- Slaoui, A.; Siffert, P. Determination of the Electron Effective Mass and Relaxation Time in Heavily Doped Silicon. Phys. Status Solidi (a) 1985, 89, 617–622. [Google Scholar] [CrossRef]
- van Driel, H.M. Optical effective mass of high density carriers in silicon. Appl. Phys. Lett. 1984, 44, 617–619. [Google Scholar] [CrossRef]
- Palik, E.D. (Ed.) Handbook of Optical Constants of Solids; Academic Press: Orlando, FL, USA, 1985. [Google Scholar]
- Lumerical Inc. MODE: Waveguide Simulator. Available online: https://www.ansys.com/products/photonics/mode (accessed on 30 September 2023).
- Butt, M.A.; Khonina, S.N.; Kazanskiy, N.L. Device performance of standard strip, slot and hybrid plasmonic micro-ring resonator: A comparative study. Waves Random Complex Media 2021, 31, 2397–2406. [Google Scholar] [CrossRef]
- Lumerical Inc. Lumerical FDTD Solver: 3D Electromagnetic Simulator. Available online: https://www.ansys.com/products/photonics/fdtd (accessed on 30 September 2023).
- Lau, B.; Swillam, M.A.; Helmy, A.S. Hybrid orthogonal junctions: Wideband plasmonic slot-silicon waveguide couplers. Opt. Express 2010, 18, 27048–27059. [Google Scholar] [CrossRef]
- Zhu, B.Q.; Tsang, H.K. High Coupling Efficiency Silicon Waveguide to Metal–Insulator–Metal Waveguide Mode Converter. J. Light. Technol. 2016, 34, 27048–27059. [Google Scholar] [CrossRef]
- NIST Chemistry WebBook. Mass Spec Data Center, S. E.Stein, Director, “Mass Spectra” NIST Chemistry WebBook in NIST Chemistry WebBook, NIST Standard Reference Database Number 69; Linstrom, P.J., Mallard, W.G., Eds.; The National Institute of Standards and Technology (NIST): Gaithersburg, MD, USA, 2018. [CrossRef]
- Lucarini, V.; Saarinen, J.J.; Peiponen, K.E.; Vartiainen, E.M. Kramers–Kronig Relations in Optical Materials Research; Springer Series in Optical Sciences; Springer: Berlin/Heidelberg, Germany, 2005; Volume 110. [Google Scholar] [CrossRef]
- Aldhafeeri, T.; Tran, M.K.; Vrolyk, R.; Pope, M.; Fowler, M. A Review of Methane Gas Detection Sensors: Recent Developments and Future Perspectives. Inventions 2020, 5, 28. [Google Scholar] [CrossRef]
- Turner, A.J.; Frankenberg, C.; Kort, E.A. Interpreting contemporary trends in atmospheric methane. Proc. Natl. Acad. Sci. USA 2019, 116, 2805–2813. [Google Scholar] [CrossRef] [PubMed]
- Stocker, T. Climate Change 2013: The Physical Science Basis: Working Group I Contribution to the Fifth Assessment Report of the Intergovernmental Panel on Climate Change; Cambridge University Press: Cambridge, UK, 2014. [Google Scholar]
- Tran, M.K.; Fowler, M. A review of lithium-ion battery fault diagnostic algorithms: Current progress and future challenges. Algorithms 2020, 13, 62. [Google Scholar] [CrossRef]
- Jaramillo, P.; Griffin, W.M.; Matthews, H.S. Comparative analysis of the production costs and life-cycle GHG emissions of FT liquid fuels from coal and natural gas. Environ. Sci. Technol. 2008, 42, 7559–7565. [Google Scholar] [CrossRef]
- Gagarin, H.; Sridhar, S.; Lange, I.; Bazilian, M. Considering non-power generation uses of coal in the United States. Renew. Sustain. Energy Rev. 2020, 124, 109790. [Google Scholar] [CrossRef]
- Dandapat, K.; Kumar, I.; Tripathi, S.M. Ultrahigh sensitive long-period fiber grating-based sensor for detection of adulterators in biofuel. Appl. Opt. 2021, 60, 7206–7213. [Google Scholar] [CrossRef]









Disclaimer/Publisher’s Note: The statements, opinions and data contained in all publications are solely those of the individual author(s) and contributor(s) and not of MDPI and/or the editor(s). MDPI and/or the editor(s) disclaim responsibility for any injury to people or property resulting from any ideas, methods, instructions or products referred to in the content. |
© 2023 by the authors. Licensee MDPI, Basel, Switzerland. This article is an open access article distributed under the terms and conditions of the Creative Commons Attribution (CC BY) license (https://creativecommons.org/licenses/by/4.0/).
Share and Cite
Shafaay, S.; Mohamed, S.; Swillam, M. Mid-Infrared Gas Sensing Based on Electromagnetically Induced Transparency in Coupled Plasmonic Resonators. Sensors 2023, 23, 9220. https://doi.org/10.3390/s23229220
Shafaay S, Mohamed S, Swillam M. Mid-Infrared Gas Sensing Based on Electromagnetically Induced Transparency in Coupled Plasmonic Resonators. Sensors. 2023; 23(22):9220. https://doi.org/10.3390/s23229220
Chicago/Turabian StyleShafaay, Sarah, Sherif Mohamed, and Mohamed Swillam. 2023. "Mid-Infrared Gas Sensing Based on Electromagnetically Induced Transparency in Coupled Plasmonic Resonators" Sensors 23, no. 22: 9220. https://doi.org/10.3390/s23229220
APA StyleShafaay, S., Mohamed, S., & Swillam, M. (2023). Mid-Infrared Gas Sensing Based on Electromagnetically Induced Transparency in Coupled Plasmonic Resonators. Sensors, 23(22), 9220. https://doi.org/10.3390/s23229220

