Design of Fire Risk Estimation Method Based on Facility Data for Thermal Power Plants
Abstract
:Simple Summary
Abstract
1. Introduction
1.1. Contributions
1.2. Structure of the Paper
2. Fire Risk Estimation Method for Thermal Power Plant
- Steady State: This is when the operating condition remains constant, and the data are maintained within a specific range.
- Transient State: This is when the data change rapidly due to changing operating conditions. This change is expected.
- Anomaly State: This is when the operating conditions remain predefined, but the data change unexpectedly.


Fire Risk Estimation Method for Facilities
- There is no fire risk if the facility is in normal condition.
- If the condition of the facility is abnormal, the probability of a fire occurring increases.
- There is no direct relationship between the facility’s abnormal condition and a fire’s occurrence. In other words, facility failure does not directly lead to a fire.
3. Classification of Zones, Facilities, and Selection of Tags
3.1. Subdivision of Zone and Equipment
- Areas with a fire risk must be identified as much as possible to enable rapid response.
- Fire risks should be classified according to facility, workplace, and fuel type.
- Fire risk analysis should be integrated into existing and operational fire protection systems.
3.2. Tag Selection for Equipment
4. Experiments and Discussion
4.1. Data Set
4.2. Main Features of the Facilities
- Oil-Related Features
- Bearing-Related Features
- Shaft-Related Features
- Shell-Related Features
- H2-Related Features
- Due to its low density compared to air, H2 can flow easily in narrow gaps and experience minimal hydrodynamic loss.
- Mitigating facility deterioration through oxygen reduction helps prolong facilities’ lifespans.
- Its higher specific heat and heat transfer coefficient lead to a more significant cooling effect, resulting in higher output under the same conditions.
- The concentration of hydrogen for cooling must be maintained above 97% due to its explosion range of 4~75% purity level.
- Installing additional facilities for leakage prevention and high-purity maintenance can prevent explosions but is costly.
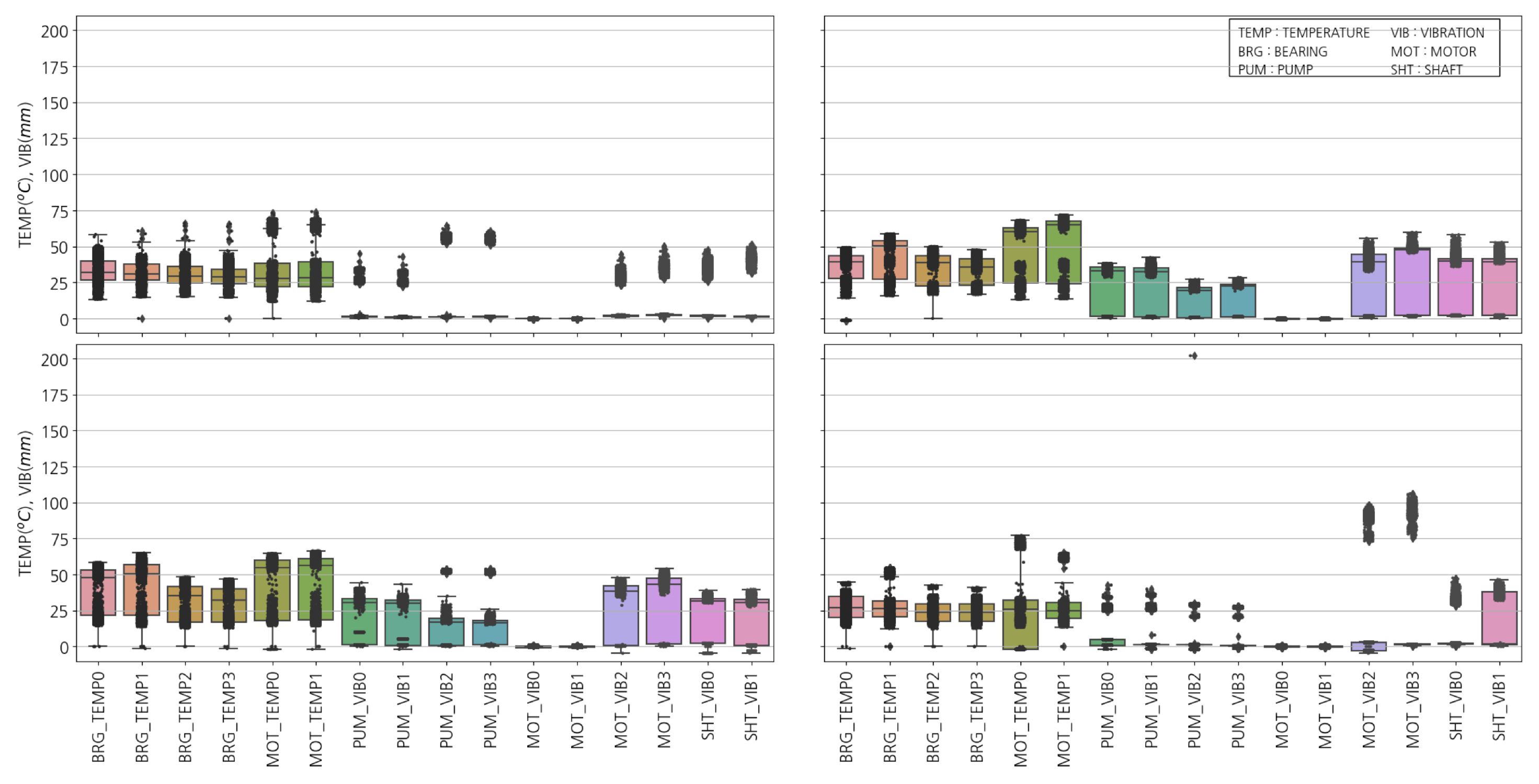
4.3. Turbine Data
4.3.1. Distribution and Correlation Analysis
4.3.2. Characteristic Analysis
Unusual Patterns
4.4. Boiler Data
4.4.1. Distribution and Correlation Analysis
- Different facilities show similar patterns under the same conditions but vary widely depending on their conditions.
- Two temperature states can be observed at identical locations, even if only a tri-state is observed by the vibration sensor.
4.4.2. Characteristic Analysis
Ignition Oil
Pulverizer
4.5. Discussion
- The associated features are not altered if the RPM stays the same.
- Regarding the facility data for which we have not been provided with allowable ranges, the data of a single item cannot be meaningful because the permissible range is unknown.
- Observing the RPM can help us estimate how much the turbine-related features change. If there is a change to the RPM, we can predict the corresponding changes to turbine-related features. We then compare the expected and actual values. On the other hand, by observing the turbine-related features, we can estimate the current state of the turbine.
- Using RPM as a reference feature is appropriate due to its strong correlation with turbine-related features.
- Oil-related features exhibit diverse patterns and cannot be generalized. A deep learning model efficiently detects abnormalities.
- What are the primary causes of data fluctuations compared to other units? Should these fluctuations be considered when designing the model if they fall within the normal range?
- Should different models be designed for each unit, even in identical facility types where different patterns may be observed?
- It is reasonable to assume that sensor data will have similar patterns. Therefore, is it appropriate to use one model to make predictions for the same facility?
- If abnormal sensor data are detected during the overhaul period, should the model automatically stop predicting for that period?
- When sensor data show an abnormal pattern, can a model distinguish between sensor malfunctions and equipment issues?
- How do we respond to facility abnormalities or deterioration based on the operating period, even under the same conditions?
5. Conclusions
6. Future Works
Author Contributions
Funding
Institutional Review Board Statement
Informed Consent Statement
Data Availability Statement
Acknowledgments
Conflicts of Interest
Abbreviations
| SCADA | Supervisory Control And Data Acquisition |
| AE | AutoEncoder |
| VAE | Variational AutoEncoder |
| LSTM | Long-Short Term Memory |
| OCSVM | One Class Support Vector Machine |
| IoT | Internet of Things |
| SVDD | Support Vector Data Description |
| SAD | Semi-Supervised Anomaly Detection |
| SVR | Support Vector Regression |
| AutoML | Automated Machine Learning |
| ECG | Electrocardiogram |
| MW | Megawatt |
| HP | High-Pressure |
| IP | Intermediate-Pressure |
| LP | Low-Pressure |
| BFP | Boiler Feed Pump |
| H2 | Hydrogen |
| RPM | Revolutions Per Minute |
| UVCE | Unconfined Vapor Cloud Explosion |
| BOP | Balance of Plant |
References
- Nugroho, M.J.; Bahartyan, E.; Raymond, R.; Hidayat, B.; Irawan, M.I. Root Cause Analysis of Fires in Coal Power Plants Using RFMEA Methods. IOP Conf. Ser. Mater. Sci. Eng. 2021, 1096, 012100. [Google Scholar] [CrossRef]
- Rathod, R.; Gidwani, G.D.; Solanky, P. Hazard Analysis and Risk Assessment in Thermal Power Plant. Int. J. Eng. Sci. Res. Technol. 2017, 6, 177–185. [Google Scholar]
- Yadav, G.; Paul, K. Architecture and security of SCADA systems: A review. Int. J. Crit. Infrastruct. Prot. 2021, 34, 100433. [Google Scholar] [CrossRef]
- Suryadarma, E.; Ai, T. Predictive Maintenance in SCADA-Based Industries: A literature review. Int. J. Ind. Eng. Eng. Manag. 2020, 2, 57–70. [Google Scholar] [CrossRef]
- Roscher, B.; Schelenz, R. Usability of SCADA as predictive maintenance for wind turbines. Forsch. Ing. 2021, 85, 173–180. [Google Scholar] [CrossRef]
- Maseda, F.J.; López, I.; Martija, I.; Alkorta, P.; Garrido, A.J.; Garrido, I. Sensors Data Analysis in Supervisory Control and Data Acquisition (SCADA) Systems to Foresee Failures with an Undetermined Origin. Sensors 2021, 21, 2762. [Google Scholar] [CrossRef]
- Santolamazza, A.; Dadi, D.; Introna, V. A Data-Mining Approach for Wind Turbine Fault Detection Based on SCADA Data Analysis Using Artificial Neural Networks. Energies 2021, 14, 1845. [Google Scholar] [CrossRef]
- Butler, S.; Ringwood, J.; O’Connor, F. Exploiting SCADA system data for wind turbine performance monitoring. In Proceedings of the 2013 Conference on Control and Fault-Tolerant Systems (SysTol), Nice, France, 9–11 October 2013; pp. 389–394. [Google Scholar] [CrossRef]
- Lebranchu, A.; Charbonnier, S.; Bérenguer, C.; Prévost, F. A combined mono- and multi-turbine approach for fault indicator synthesis and wind turbine monitoring using SCADA data. ISA Trans. 2019, 87, 272–281. [Google Scholar] [CrossRef]
- Choi, K.; Yi, J.; Park, C.; Yoon, S. Deep Learning for Anomaly Detection in Time-Series Data: Review, Analysis, and Guidelines. IEEE Access 2021, 9, 120043–120065. [Google Scholar] [CrossRef]
- Li, G.; Jung, J.J. Deep learning for anomaly detection in multivariate time series: Approaches, applications, and challenges. Inf. Fusion 2023, 91, 93–102. [Google Scholar] [CrossRef]
- Audibert, J.; Michiardi, P.; Guyard, F.; Marti, S.; Zuluaga, M.A. Do deep neural networks contribute to multivariate time series anomaly detection? Pattern Recognit. 2022, 132, 108945. [Google Scholar] [CrossRef]
- Samariya, D.; Thakkar, A. A Comprehensive Survey of Anomaly Detection Algorithms. Ann. Data Sci. 2021, 10, 829–850. [Google Scholar] [CrossRef]
- Hakim, M.; Omran, A.A.B.; Ahmed, A.N.; Al-Waily, M.; Abdellatif, A. A systematic review of rolling bearing fault diagnoses based on deep learning and transfer learning: Taxonomy, overview, application, open challenges, weaknesses and recommendations. Ain Shams Eng. J. 2023, 14, 101945. [Google Scholar] [CrossRef]
- Gupta, P.; Pradhan, M. Fault detection analysis in rolling element bearing: A review. Mater. Today Proc. 2017, 4, 2085–2094. [Google Scholar] [CrossRef]
- Khalid, S.; Song, J.; Raouf, I.; Kim, H.S. Advances in Fault Detection and Diagnosis for Thermal Power Plants: A Review of Intelligent Techniques. Mathematics 2023, 11, 1767. [Google Scholar] [CrossRef]
- Wu, G.; Yan, T.; Yang, G.; Chai, H.; Cao, C. A Review on Rolling Bearing Fault Signal Detection Methods Based on Different Sensors. Sensors 2022, 22, 8330. [Google Scholar] [CrossRef] [PubMed]
- Nicoletti, R.; Burda, E.A.; Zusman, G.V.; Kudryavtseva, I.S.; Naumenko, A.P. An Overview of Vibration Analysis Techniques for the Fault Diagnostics of Rolling Bearings in Machinery. Shock. Vib. 2022, 2022, 6136231. [Google Scholar] [CrossRef]
- Kuo, C.H.; Chuang, Y.F.; Liang, S.H. Failure Mode Detection and Validation of a Shaft-Bearing System with Common Sensors. Sensors 2022, 22, 6167. [Google Scholar] [CrossRef]
- Moleda, M.; Momot, A.; Mrozek, D. Predictive Maintenance of Boiler Feed Water Pumps Using SCADA Data. Sensors 2020, 20, 571. [Google Scholar] [CrossRef]
- Chen, Z.; Yan, Z.; Jiang, H.; Que, Z.; Gao, G.; Xu, Z. Detecting Coal Pulverizing System Anomaly Using a Gated Recurrent Unit and Clustering. Sensors 2020, 20, 3271. [Google Scholar] [CrossRef]
- Choi, M.Y.; Jun, S. Fire Risk Assessment Models Using Statistical Machine Learning and Optimized Risk Indexing. Appl. Sci. 2020, 10, 4199. [Google Scholar] [CrossRef]
- Ciaburro, G.; Iannace, G. Machine Learning-Based Algorithms to Knowledge Extraction from Time Series Data: A Review. Data 2021, 6, 55. [Google Scholar] [CrossRef]
- Chen, H.; Liu, H.; Chu, X.; Liu, Q.; Xue, D. Anomaly detection and critical SCADA parameters identification for wind turbines based on LSTM-AE neural network. Renew. Energy 2021, 172, 829–840. [Google Scholar] [CrossRef]
- Nabhan, A.; Ghazaly, N.; Samy, A.; Mousa, O.M. Bearing Fault Detection Techniques—A Review. Turk. J. Eng. Sci. Technol. 2015, 3, 1–18. [Google Scholar]
- Boudiaf, A.; Djebala, A.; Bendjma, H.; Balaska, A.; Dahane, A. A summary of vibration analysis techniques for fault detection and diagnosis in bearing. In Proceedings of the 2016 8th International Conference on Modelling, Identification and Control (ICMIC), Algiers, Algeria, 15–17 November 2016; pp. 37–42. [Google Scholar] [CrossRef]










| Transient State | Abnormal State | Remarks |
|---|---|---|
| Data changed | Data changed | By changing conditions or by remaining conditions |
| Repeated pattern | Unusual pattern | Change-point selection; change-pattern analysis |
| Changed in acceptable range | Changed in unacceptable range | Relative change according to operating conditions |
| Zone | Facilities | Count |
|---|---|---|
| Turbine | High-Pressure (HP) Turbine, Intermediate-Pressure (IP) Turbine, Low-Pressure (LP) Turbine, Generator, H2, Hydraulic Oil, Lubricant Oil, BFP | 8 |
| Boiler | Ignition Oil, Pulverizer | 2 |
| Equipment | Fire and Explosion Scenarios | Source of Ignition |
|---|---|---|
| Turbine Hydraulic Oil Tank | Pool fire due to oil leakage | High-temperature parts, Electrical cause, Hot work, Other |
| Overheating due to low oil level in the tank | ||
| Oil overpressure | ||
| Oil overtemperature | ||
| Turbine Lubricant Oil Tank | Pool fire due to oil leakage | High-temperature parts, Electrical cause, Hot work, Other |
| Overheating due to low oil level in the tank | ||
| Oil overpressure | ||
| Oil overtemperature | ||
| Turbine Bearing | 3D fire caused by oil leakage | High-temperature parts, Electrical cause, Hot work, Other |
| Oil oversupply | ||
| Oil overpressure | ||
| Oil overtemperature | ||
| Generator Body | Unconfined Vapor Cloud Explosion (UVCE) due to H2 leakage | High-temperature parts, Electrical cause, Hot work, Other |
| Jet fire due to H2 leakage | ||
| H2 overpressure | ||
| H2 oversupply | ||
| H2 Supply Equipment | UVCE due to H2 leakage | |
| Jet fire due to H2 leakage | ||
| H2 overpressure | ||
| Lubricant and Hydraulic Oil Supply Piping | 3D fire due to oil leakage | |
| Pool fire due to oil leakage | ||
| Oil overpressure | ||
| Fire due to contact with high-temperature parts when oil is scattered | ||
| Cable | Fire due to overheating cables | |
| Other cable fires | ||
| Poor insulation due to water leakage | ||
| Floor | Fire due to hot work | Welding, Cutting |
| Equipment | Fire and Explosion Scenarios | Source of Ignition |
|---|---|---|
| Pulverizer Lubricant Oil Tank | Pool fire due to oil leakage | |
| Oil level drop in tank | ||
| Oil overpressure | ||
| Pulverizer Hydraulic Oil Tank | Pool fire due to oil leakage | |
| Oil level drop in tank | ||
| Oil overpressure | ||
| Fire due to contact with high-temperature parts when oil is scattered | ||
| Pulverizer Lubricant Oil Tank | Pool fire due to oil leakage | |
| Oil level drop in tank | ||
| Oil overpressure | ||
| Pulverizer Body | Pulverizer abnormal temperature | High-temperature part, Electrical cause hot work, Spontaneous ignition, etc. |
| Sparks and fires in pulverizer | ||
| Dust explosion during initial start-up of the pulverizer | ||
| Spontaneous ignition during prolonged non-operation | ||
| Coal Feeder | Abnormal temperature in the feeder | High-temperature part, Electrical cause hot work, Spontaneous ignition, etc. |
| Spontaneous ignition in feeders | ||
| Fires in other feeders | ||
| Silo | Abnormal temperature in silo | High-temperature parts, Electrical causes, Static electricity hot work, Spontaneous ignition, etc. |
| Spontaneous fire in upper silo | ||
| Spontaneous fire of lower silo | ||
| Dust explosion by floating dust during coal loading | ||
| Other fires in silo | ||
| Vacuum Refined Oil Supply Facility | Pool fire due to oil leakage | |
| 3D fire due to oil leakage | ||
| Boiler Hydraulic Valve for Hydraulic Power Unit | Pool fire due to oil leakage | |
| Fire due to contact with high-temperature parts when oil is scattered | ||
| Oil level drop in tank | ||
| Oil overpressure | ||
| Lubricant and Hydraulic Oil Supply Piping | 3D Fire due to oil leakage | |
| Pool fire due to oil leakage | ||
| Oil overpressure | ||
| Fire due to contact with high-temperature parts when oil is scattered | ||
| Air Preheater Reducer and Bearing | Pool fire due to oil leakage | |
| Fire due to contact with high-temperature parts when oil is scattered | ||
| Anomaly caused by oil shortage | ||
| Air Preheater Lubricant Oil Tank | Pool fire due to oil leakage | |
| Overheating due to low oil level in the tank | ||
| Oil overpressure | ||
| Boiler Ventilation Lubricator | Pool fire due to oil leakage | |
| Fire due to contact with high-temperature parts when oil is scattered | ||
| Anomaly caused by oil shortage | ||
| Floor | Fire caused by hot work | Welding, Cutting |
| Zone | 1st Rank | 2nd Rank | 3rd Rank |
|---|---|---|---|
| Turbine | Lubricant Oil Leakage | Lubricant Oil Leakage | H2 Leakage |
| Boiler | Fuel Oil Leakage | Lubricant Oil Leakage | Lubricant Oil Leakage |
| Indoor Coal Storage | Spontaneous Combustion | Dust Explosion | General Fire |
| Zone | Equipment | Number of Tags | Features |
|---|---|---|---|
| Turbine | Turbine (Common) | 9 | Rotor position, number of revolutions, bearing oil pressure, hydraulic oil pressure |
| HP | 12 | Shaft vibration and position, bearing temperature | |
| IP | 12 | Shaft vibration and position, bearing temperature | |
| LP-A~B | 11 × 2 | Shaft vibration and position, bearing temperature | |
| Generator | 15 | Shaft vibration, bearing temperature, air temperature | |
| H2 | 16 | Cooler gas temperature, air temperature, H2 pressure, leakage rate | |
| Lubricant Oil | 38 | Bearing temperature, oil pressure, oil temperature | |
| Hydraulic Oil | 7 | Oil pressure, temperature, level | |
| BFP-A~B | 30 × 2 | Shaft position, oil and bearing temperature, speed |
| Zone | Equipment | Number of Tags | Features |
|---|---|---|---|
| Boiler | Ignition Oil | 14 | Pressure, flow, temperature |
| Pulverizer (Common) | 7 | Pressure, valve position | |
| Pulverizer-A~F | 53 × 6 | Temperature, vibration, coal flow rate, number of revolutions, air flow rate, air pressure, hydraulic pressure, metal temperature, etc. |
| Generation Capacity | Zone | Number of Tags | Period | Interval |
|---|---|---|---|---|
| 500 MW | Turbine | 183 | 3 months | 10 min |
| 500 MW | Boiler | 336 | 3 months | 10 min |
| 100 MW | Turbine | 202 | 7 months | 30 min |
Disclaimer/Publisher’s Note: The statements, opinions and data contained in all publications are solely those of the individual author(s) and contributor(s) and not of MDPI and/or the editor(s). MDPI and/or the editor(s) disclaim responsibility for any injury to people or property resulting from any ideas, methods, instructions or products referred to in the content. |
© 2023 by the authors. Licensee MDPI, Basel, Switzerland. This article is an open access article distributed under the terms and conditions of the Creative Commons Attribution (CC BY) license (https://creativecommons.org/licenses/by/4.0/).
Share and Cite
Song, C.-J.; Park, J.-Y. Design of Fire Risk Estimation Method Based on Facility Data for Thermal Power Plants. Sensors 2023, 23, 8967. https://doi.org/10.3390/s23218967
Song C-J, Park J-Y. Design of Fire Risk Estimation Method Based on Facility Data for Thermal Power Plants. Sensors. 2023; 23(21):8967. https://doi.org/10.3390/s23218967
Chicago/Turabian StyleSong, Chai-Jong, and Jea-Yun Park. 2023. "Design of Fire Risk Estimation Method Based on Facility Data for Thermal Power Plants" Sensors 23, no. 21: 8967. https://doi.org/10.3390/s23218967
APA StyleSong, C.-J., & Park, J.-Y. (2023). Design of Fire Risk Estimation Method Based on Facility Data for Thermal Power Plants. Sensors, 23(21), 8967. https://doi.org/10.3390/s23218967

