Comparative Study of Cooperative Platoon Merging Control Based on Reinforcement Learning
Abstract
1. Introduction
- Implementing platoons can decrease traffic congestion, reducing the time spent traveling, the amount of fuel consumed, and traffic emissions.
- The position where the platoon starts to merge in a road reduction significantly affects the vehicle’s performance.
- Improve road capacity utilization by decreasing the inter-vehicular gaps without raising safety concerns.
- Platoons can reduce traffic oscillations by eliminating extreme acceleration and deceleration.
- Studying the fuel consumption of electric vehicles will improve the driving range of such technology, which will help its adoption.
- First, a DRL-based learning framework is proposed to learn the optimal merging behavior for fully connected and autonomous platoons.
- Second, a simulation environment is constructed to facilitate the DRL training. Low level longitudinal and lateral controllers are implemented based on PID, with the Beizer curve being used for path planning for the lane change.
- Thirdly, several metrics are studied to quantify the performance of different merging strategies, including time to merge, jerk, maximum jerk, speed, and energy consumed.
2. Literature Review
| References | Vehicle Dynamics | Environment | Evaluation | Application | Control Technique |
|---|---|---|---|---|---|
| [12] | Longitudinal | MATLAB | Fuel consumption | On-ramp merging | Optimal control |
| [19] | Longitudinal and lateral | Not mentioned | Controller stability | Platoon Merging | Distributed MPC |
| [20] | Not mentioned | VISSIM [40] | String stability | Merging and splitting of platoons | PID |
| [22] | Longitudinal | Not mentioned | Collision avoidance | Platoon merging facing road reduction | Distributed state feedback controller |
| [38] | Longitudinal | PLEXE [41] and SUMO | Fuel consumption, connectivity strength, platoon stability, platoon size, and time | Platoon formulating | Hybrid DRL |
| [39] | Longitudinal | SUMO | Traffic oscillation and platoon stability | Platoon longitudinal control | Soft actor–critic (SAC) |
| [42] | Longitudinal and lateral | AUDRIC/ Dynacar | Safety | Platoon Merging | Feedforward and feedback controller |
| [43] | Longitudinal and lateral | MATLAB and ROS | Safety | Platoon maneuver protocols | PID, adaptive MPC, and Lyapunov controller |
| [44] | Longitudinal | PLEXE | String stability | Joining and leaving platoon | Consensus-based controller |
| [45] | Longitudinal and lateral | SUMO | Traffic flow, average speed, and delay time | Platoons at non- signalized intersection | PPO |
| [46] | Longitudinal | SUMO | String and controller stability | Platoons gap closing/opening | Deep deterministic policy gradient (DDPG) |
| [47] | Longitudinal and lateral | MATLAB | Controller robustness | Multi-vehicle merging into platoon | Nonlinear MPC |
| This work | Longitudinal and lateral | Python | Fuel consumption, time, jerk, maximum jerk, and speed | Platoon merging facing road reduction | Maskable PPO |
3. Simulation Environment
3.1. Vehicle Platoon
3.2. Vehicle Model
3.3. Longitudinal Control
3.4. Lateral Control
4. Preliminary Study on Reinforcement Learning
4.1. Deep Reinforcement Learning (DRL)
4.2. Proximal Policy Optimization Algorithm
| Algorithm 1: PPO, Actor–Critic Style [15] |
| for iteration 1,2, ... do |
| for actor=1,2, ... N do |
| Interact with the environment using the policy |
| feed the states to the critic network to calculate states |
| base estimate |
| Compute advantage estimates |
| end for |
| Optimize surrogate L wrt , with K epochs |
| update the policy |
| end for |
5. RL-Based Merging Strategy
5.1. States Observation and Action Space
5.2. Rewards Functions
5.2.1. The Energy Consumption
5.2.2. The Vehicle Jerk
5.2.3. Time
5.2.4. Speed
5.3. Maskable PPO
- The first one is to build the simulation environment to ignore invalid actions. However, this method is not sampling-efficient since sampling ignored actions that do not affect the environment will waste a significant amount of time.
- In the second approach, a negative reward is set to penalize choosing an invalid action so that the agent will eventually learn only to select valid actions. This method will add an unnecessary complication for the policy to learn, increasing the required convergence time.
- In the third approach, a mask is used to block invalid actions, allowing the policy to only choose within the available valid actions at that state. In [61], the theoretical justification for using masking in policy gradient methods is proved.
6. Numerical Results and Discussion
6.1. Single Objective RL
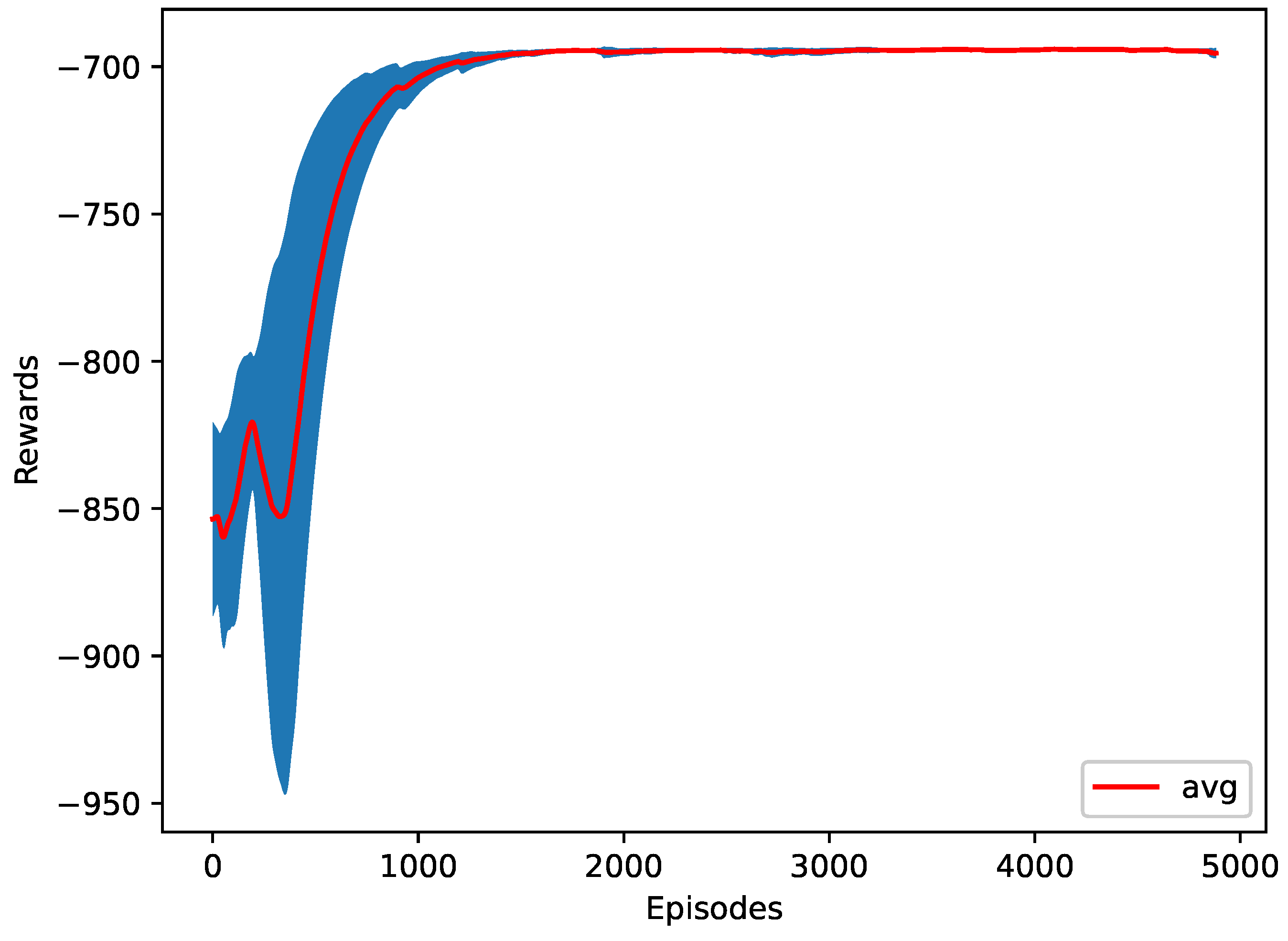
6.1.1. Results for Minimizing Energy Consumption Only
6.1.2. Results for Minimizing the Time Required to Finish the Merge
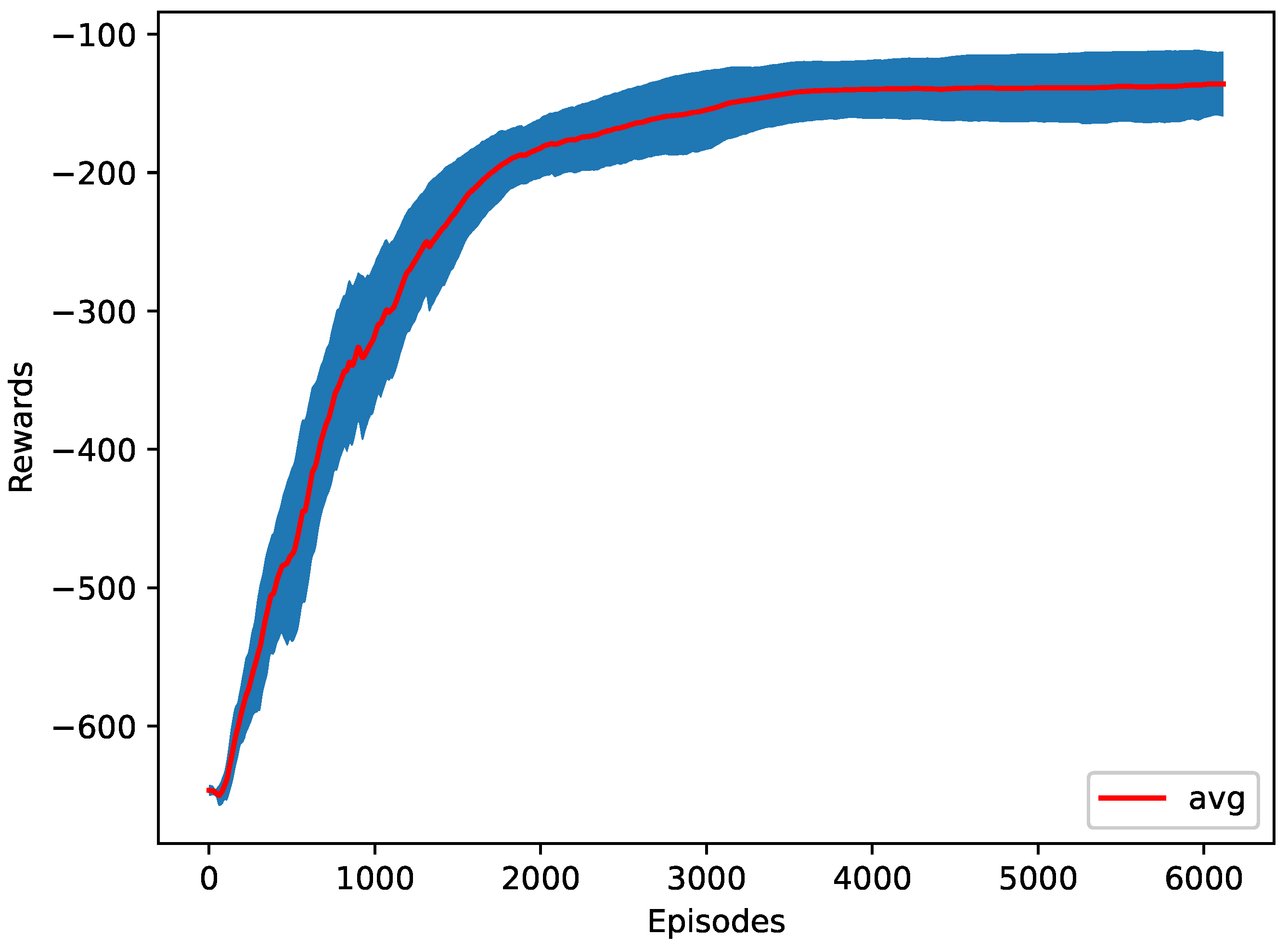
6.1.3. Results for Maximizing the Speed of the Last Vehicle in the Destination Platoon
6.1.4. Results for Minimizing the Mean Jerk of All the Vehicles
6.1.5. Results for Minimizing the Maximum Jerk
6.2. Multi-Objective RL
7. Conclusions
Author Contributions
Funding
Institutional Review Board Statement
Informed Consent Statement
Data Availability Statement
Conflicts of Interest
References
- Anderson, J.M.; Kalra, N.; Stanley, K.D.; Sorensen, P.; Samaras, C.; Oluwatola, T.A. Autonomous Vehicle Technology: A Guide for Policymakers; RAND Corporation: Santa Monica, CA, USA, 2016. [Google Scholar] [CrossRef]
- Zabat, M.; Stabile, N.; Farascaroli, S.; Browand, F. The Aerodynamic Performance of Platoons: A Final Report; University of California: Los Angeles, CA, USA, 1995. [Google Scholar]
- Vehicle Platooning: A Brief Survey and Categorization, Volume 3: 2011 ASME/IEEE International Conference on Mechatronic and Embedded Systems and Applications, Parts A and B, International Design Engineering Technical Conferences and Computers and Information in Engineering Conference, 2011. Available online: https://asmedigitalcollection.asme.org/IDETC-CIE/proceedings-pdf/IDETC-CIE2011/54808/829/2768062/829_1.pdf (accessed on 1 September 2022). [CrossRef]
- Fakhfakh, F.; Tounsi, M.; Mosbah, M. Vehicle Platooning Systems: Review, Classification and Validation Strategies. Int. J. Netw. Distrib. Comput. 2020, 8, 203–213. [Google Scholar] [CrossRef]
- Zipper Merge. Available online: https://www.dot.state.mn.us/zippermerge/ (accessed on 16 November 2022).
- Englund, C.; Chen, L.; Ploeg, J.; Semsar-Kazerooni, E.; Voronov, A.; Bengtsson, H.H.; Didoff, J. The Grand Cooperative Driving Challenge 2016: Boosting the introduction of cooperative automated vehicles. IEEE Wirel. Commun. 2016, 23, 146–152. [Google Scholar] [CrossRef]
- Bevly, D.; Cao, X.; Gordon, M.; Ozbilgin, G.; Kari, D.; Nelson, B.; Woodruff, J.; Barth, M.; Murray, C.; Kurt, A.; et al. Lane change and merge maneuvers for connected and automated vehicles: A survey. IEEE Trans. Intell. Veh. 2016, 1, 105–120. [Google Scholar] [CrossRef]
- Wu, J.; Wang, Y.; Shen, Z.; Wang, L.; Du, H.; Yin, C. Distributed multilane merging for connected autonomous vehicle platooning. Sci. China Inf. Sci. 2021, 64, 1–16. [Google Scholar] [CrossRef]
- Paranjothi, A.; Atiquzzaman, M.; Khan, M.S. PMCD: Platoon-Merging approach for cooperative driving. Internet Technol. Lett. 2020, 3, e139. [Google Scholar] [CrossRef]
- Karimi, M.; Roncoli, C.; Alecsandru, C.; Papageorgiou, M. Cooperative merging control via trajectory optimization in mixed vehicular traffic. Transp. Res. Part C Emerg. Technol. 2020, 116, 102663. [Google Scholar] [CrossRef]
- Aramrattana, M.; Larsson, T.; Englund, C.; Jansson, J.; Nåbo, A. A simulation study on effects of platooning gaps on drivers of conventional vehicles in highway merging situations. IEEE Trans. Intell. Transp. Syst. 2022, 23, 3790–3796. [Google Scholar] [CrossRef]
- Su, Z.; Chen, P. Optimal Platoon Merging and Catch-up Approach for Connected Electric Vehicles. In Proceedings of the 2022 American Control Conference (ACC), Atlanta, GA, USA, 8–10 June 2022; pp. 1964–1969. [Google Scholar] [CrossRef]
- Dos Santos, T.C.; Bruno, D.R.; Osório, F.S.; Wolf, D.F. Evaluation of lane-merging approaches for connected vehicles. In Proceedings of the 2019 IEEE Intelligent Vehicles Symposium (IV), Paris, France, 9–12 June 2019; pp. 1935–1939. [Google Scholar]
- Raffin, A.; Hill, A.; Gleave, A.; Kanervisto, A.; Ernestus, M.; Dormann, N. Stable-Baselines3: Reliable Reinforcement Learning Implementations. J. Mach. Learn. Res. 2021, 22, 1–8. [Google Scholar]
- Schulman, J.; Wolski, F.; Dhariwal, P.; Radford, A.; Klimov, O. Proximal Policy Optimization Algorithms. arXiv 2017, arXiv:1707.06347. [Google Scholar]
- Wu, D.; Wu, J.; Wang, R. An Energy-efficient and Trust-based Formation Algorithm for Cooperative Vehicle Platooning. In Proceedings of the 2019 International Conference on Computing, Networking and Communications (ICNC), Honolulu, HI, USA, 18–21 February 2019; pp. 702–707. [Google Scholar] [CrossRef]
- Wang, C.; Coifman, B. The study on the effect of lane change maneuvers on a simplified car-following theory. In Proceedings of the 2005 IEEE Intelligent Transportation Systems, Vienna, Austria, 16 September 2005; pp. 478–483. [Google Scholar] [CrossRef]
- Goli, M.; Eskandarian, A. Evaluation of lateral trajectories with different controllers for multi-vehicle merging in platoon. In Proceedings of the 2014 International Conference on Connected Vehicles and Expo (ICCVE), Vienna, Austria, 3–7 November 2014; pp. 673–678. [Google Scholar] [CrossRef]
- Liu, H.; Zhuang, W.; Yin, G.; Tang, Z.; Xu, L. Strategy for heterogeneous vehicular platoons merging in automated highway system. In Proceedings of the 2018 Chinese Control and Decision Conference (CCDC), Shenyang, China, 9–11 June 2018; pp. 2736–2740. [Google Scholar] [CrossRef]
- Dasgupta, S.; Raghuraman, V.; Choudhury, A.; Teja, T.N.; Dauwels, J. Merging and splitting maneuver of platoons by means of a novel PID controller. In Proceedings of the 2017 IEEE Symposium Series on Computational Intelligence (SSCI), Honolulu, HI, USA, 27 November–1 December 2017; pp. 1–8. [Google Scholar] [CrossRef]
- Van Arem, B.; van Driel, C.J.G.; Visser, R. The Impact of Cooperative Adaptive Cruise Control on Traffic-Flow Characteristics. IEEE Trans. Intell. Transp. Syst. 2006, 7, 429–436. [Google Scholar] [CrossRef]
- Schwab, A.; Lunze, J. Vehicle Platooning and Cooperative Merging. IFAC-PapersOnLine 2019, 52, 353–358. [Google Scholar] [CrossRef]
- Silver, D.; Schrittwieser, J.; Simonyan, K.; Antonoglou, I.; Huang, A.; Guez, A.; Hubert, T.; Baker, L.; Lai, M.; Bolton, A.; et al. Mastering the game of Go without human knowledge. Nature 2017, 550, 354–359. [Google Scholar] [CrossRef] [PubMed]
- Silver, D.; Hubert, T.; Schrittwieser, J.; Antonoglou, I.; Lai, M.; Guez, A.; Lanctot, M.; Sifre, L.; Kumaran, D.; Graepel, T.; et al. Mastering Chess and Shogi by Self-Play with a General Reinforcement Learning Algorithm. arXiv 2017, arXiv:1712.01815. [Google Scholar]
- Sutton, R.S.; Barto, A.G. Reinforcement Learning: An Introduction; MIT Press: Cambridge, MA, USA, 2018. [Google Scholar]
- Tang, Y.; Pan, Z.; Pedrycz, W.; Ren, F.; Song, X. Viewpoint-based kernel fuzzy clustering with weight information granules. IEEE Trans. Emerg. Top. Comput. Intell. 2022. [Google Scholar] [CrossRef]
- Zhang, Y.; Bai, X.; Fan, R.; Wang, Z. Deviation-sparse fuzzy c-means with neighbor information constraint. IEEE Trans. Fuzzy Syst. 2018, 27, 185–199. [Google Scholar] [CrossRef]
- Gao, W.; Mynuddin, M.; Wunsch, D.C.; Jiang, Z.P. Reinforcement learning-based cooperative optimal output regulation via distributed adaptive internal model. IEEE Trans. Neural Netw. Learn. Syst. 2022, 33, 5229–5240. [Google Scholar] [CrossRef]
- Szepesvári, C. Algorithms for reinforcement learning. Synth. Lect. Artif. Intell. Mach. Learn. 2010, 4, 1–103. [Google Scholar]
- Dong, H.; Dong, H.; Ding, Z.; Zhang, S. ; Chang. Deep Reinforcement Learning; Springer: Berlin/Heidelberg, Germany, 2020. [Google Scholar]
- Lei, L.; Liu, T.; Zheng, K.; Hanzo, L. Deep reinforcement learning aided platoon control relying on V2X information. IEEE Trans. Veh. Technol. 2022, 71, 5811–5826. [Google Scholar] [CrossRef]
- Sallab, A.E.; Abdou, M.; Perot, E.; Yogamani, S. Deep reinforcement learning framework for autonomous driving. Electron. Imaging 2017, 2017, 70–76. [Google Scholar] [CrossRef]
- Chen, J.; Meng, X.; Li, Z. Reinforcement Learning-based Event-Triggered Model Predictive Control for Autonomous Vehicle Path Following. In Proceedings of the 2022 American Control Conference, Atlanta, GA, USA, 8–10 June 2022. [Google Scholar]
- Wang, P.; Chan, C.Y.; de La Fortelle, A. A reinforcement learning based approach for automated lane change maneuvers. In Proceedings of the 2018 IEEE Intelligent Vehicles Symposium (IV), Changshu, China, 26–30 June 2018; pp. 1379–1384. [Google Scholar]
- Wang, P.; Chan, C.Y. Formulation of deep reinforcement learning architecture toward autonomous driving for on-ramp merge. In Proceedings of the 2017 IEEE 20th International Conference on Intelligent Transportation Systems (ITSC), Yokohama, Japan, 16–19 October 2017; pp. 1–6. [Google Scholar]
- Ngai, D.C.K.; Yung, N.H.C. A multiple-goal reinforcement learning method for complex vehicle overtaking maneuvers. IEEE Trans. Intell. Transp. Syst. 2011, 12, 509–522. [Google Scholar] [CrossRef]
- Chen, C.; Jiang, J.; Lv, N.; Li, S. An intelligent path planning scheme of autonomous vehicles platoon using deep reinforcement learning on network edge. IEEE Access 2020, 8, 99059–99069. [Google Scholar] [CrossRef]
- Prathiba, S.B.; Raja, G.; Dev, K.; Kumar, N.; Guizani, M. A hybrid deep reinforcement learning for autonomous vehicles smart-platooning. IEEE Trans. Veh. Technol. 2021, 70, 13340–13350. [Google Scholar] [CrossRef]
- Jiang, L.; Xie, Y.; Evans, N.G.; Wen, X.; Li, T.; Chen, D. Reinforcement Learning based cooperative longitudinal control for reducing traffic oscillations and improving platoon stability. Transp. Res. Part C Emerg. Technol. 2022, 141, 103744. [Google Scholar] [CrossRef]
- Lownes, N.E.; Machemehl, R.B. VISSIM: A multi-parameter sensitivity analysis. In Proceedings of the 2006 Winter Simulation Conference, Monterey, CA, USA, 3–6 December 2006; pp. 1406–1413. [Google Scholar]
- Segata, M.; Lo Cigno, R.; Hardes, T.; Heinovski, J.; Schettler, M.; Bloessl, B.; Sommer, C.; Dressler, F. Multi-Technology Cooperative Driving: An Analysis Based on PLEXE. IEEE Trans. Mob. Comput. (TMC) 2022. to appear. [Google Scholar] [CrossRef]
- Hidalgo, C.; Lattarulo, R.; Flores, C.; Pérez Rastelli, J. Platoon merging approach based on hybrid trajectory planning and CACC strategies. Sensors 2021, 21, 2626. [Google Scholar] [CrossRef]
- Farag, A.; Hussein, A.; Shehata, O.M.; García, F.; Tadjine, H.H.; Matthes, E. Dynamics platooning model and protocols for self-driving vehicles. In Proceedings of the 2019 IEEE Intelligent Vehicles Symposium (IV), Paris, France, 9–12 June 2019; pp. 1974–1980. [Google Scholar]
- Santini, S.; Salvi, A.; Valente, A.S.; Pescapè, A.; Segata, M.; Cigno, R.L. Platooning maneuvers in vehicular networks: A distributed and consensus-based approach. IEEE Trans. Intell. Veh. 2018, 4, 59–72. [Google Scholar] [CrossRef]
- Quang Tran, D.; Bae, S.H. Proximal policy optimization through a deep reinforcement learning framework for multiple autonomous vehicles at a non-signalized intersection. Appl. Sci. 2020, 10, 5722. [Google Scholar] [CrossRef]
- Berahman, M.; Rostami-Shahrbabaki, M.; Bogenberger, K. Multi-task vehicle platoon control: A deep deterministic policy gradient approach. Future Transp. 2022, 2, 57. [Google Scholar] [CrossRef]
- Goli, M.; Eskandarian, A. MPC-based lateral controller with look-ahead design for autonomous multi-vehicle merging into platoon. In Proceedings of the 2019 American Control Conference (ACC), Philadelphia, PA, USA, 10–12 July 2019; pp. 5284–5291. [Google Scholar]
- De Luca, A.; Oriolo, G.; Samson, C. Feedback control of a nonholonomic car-like robot. In Robot Motion Planning and Control; Laumond, J.P., Ed.; Springer: Berlin/Heidelberg, Germany, 1998; pp. 171–253. [Google Scholar] [CrossRef]
- Chen, J.; Yi, Z. Comparison of Event-Triggered Model Predictive Control for Autonomous Vehicle Path Tracking. In Proceedings of the 2021 IEEE Conference on Control Technology and Applications (CCTA), San Diego, CA, USA, 9–11 August 2021. [Google Scholar]
- Rajamani, R. Vehicle Dynamics and Control; Springer Science & Business Media: Berlin/Heidelberg, Germany, 2011. [Google Scholar]
- Choi, J.w.; Elkaim, G.H. Bézier curves for trajectory guidance. In Proceedings of the World Congress on Engineering and Computer Science, WCECS, San Francisco, CA, USA, 22–24 October 2008; pp. 22–24. [Google Scholar]
- Bellman, R. A Markovian Decision Process. Indiana Univ. Math. J. 1957, 6, 679–684. [Google Scholar] [CrossRef]
- Mnih, V.; Kavukcuoglu, K.; Silver, D.; Graves, A.; Antonoglou, I.; Wierstra, D.; Riedmiller, M. Playing atari with deep reinforcement learning. arXiv 2013, arXiv:1312.5602. [Google Scholar]
- Williams, R.J. Simple Statistical Gradient-Following Algorithms for Connectionist Reinforcement Learning. Mach. Learn. 1992, 8, 229–256. [Google Scholar] [CrossRef]
- Mnih, V.; Badia, A.P.; Mirza, M.; Graves, A.; Lillicrap, T.; Harley, T.; Silver, D.; Kavukcuoglu, K. Asynchronous Methods for Deep Reinforcement Learning. In Proceedings of the 33rd International Conference on Machine Learning; Balcan, M.F., Weinberger, K.Q., Eds.; PMLR: New York, NY, USA, 2016; Volume 48, pp. 1928–1937. [Google Scholar]
- Schulman, J.; Levine, S.; Abbeel, P.; Jordan, M.; Moritz, P. Trust Region Policy Optimization. In Proceedings of the 32nd International Conference on Machine Learning; Bach, F., Blei, D., Eds.; PMLR: Lille, France, 2015; Volume 37, pp. 1889–1897. [Google Scholar]
- Chen, J.; Liang, M.; Ma, X. Probabilistic Analysis of Electric Vehicle Energy Consumption Using MPC Speed Control and Nonlinear Battery Model. In Proceedings of the 2021 IEEE Green Technologies Conference, Denver, CO, USA, 7–9 April 2021. [Google Scholar]
- Irmak, T.; de Winkel, K.N.; Pool, D.M.; Bülthoff, H.H.; Happee, R. Individual motion perception parameters and motion sickness frequency sensitivity in fore-aft motion. Exp. Brain Res. 2021, 239, 1727–1745. [Google Scholar] [CrossRef] [PubMed]
- Griffin, M.J.; Erdreich, J. Handbook of human vibration. J. Acoust. Soc. Am. 1991, 90, 2213. [Google Scholar] [CrossRef]
- de Winkel, K.N.; Irmak, T.; Happee, R.; Shyrokau, B. Standards for passenger comfort in automated vehicles: Acceleration and jerk. Appl. Ergon. 2023, 106, 103881. [Google Scholar] [CrossRef]
- Huang, S.; Ontañón, S. A Closer Look at Invalid Action Masking in Policy Gradient Algorithms. In Proceedings of the Thirty-Fifth International Florida Artificial Intelligence Research Society Conference, FLAIRS 2022, Hutchinson Island, Jensen Beach, FL, USA, 15–18 May 2022. [Google Scholar] [CrossRef]
- Huang, S.; Dossa, R.F.J.; Raffin, A.; Kanervisto, A.; Wang, W. The 37 implementation details of proximal policy optimization. In Proceedings of the ICLR Blog Track 2023, Virtual, 2022; Available online: https://elib.dlr.de/191986/ (accessed on 16 November 2022).
- Brockman, G.; Cheung, V.; Pettersson, L.; Schneider, J.; Schulman, J.; Tang, J.; Zaremba, W. Openai gym. arXiv 2016, arXiv:1606.01540. [Google Scholar]
- Krajzewicz, D.; Hertkorn, G.; Feld, C.; Wagner, P. SUMO (Simulation of Urban MObility); An open-source traffic simulation. In Proceedings of the 4th Middle East Symposium on Simulation and Modelling (MESM20002), Sharjah, United Arab Emirates, 28–30 September 2002; pp. 183–187. [Google Scholar]















| Parameters | Value | Description |
|---|---|---|
| N | 14 | Total number of vehicles |
| r | 1 | Time model negative reward |
| q (m) | 6 | Distance between control points to obtain a smooth Bézier curve |
| 22 × 64 × 64 × 8 | Actor Network Architecture | |
| 22 × 64 × 64 × 1 | Critic Network Architecture | |
| (m/s) | 10 | Leaders desired speed |
| (m) | 11 | Desired inter-vehicular distance |
| Batch Size | 64 | Number of tuples propagate the network |
| 0.2 | Clipping hyperparameter | |
| Number of Epochs | 10 | How many times experiences are used to train the network |
| RL discount factor | 0.99 | Defines the priority of immediate rewards |
| l (m) | 4 | Wheelbase length |
| m (kg) | 1618.87 | Mass of the vehicle |
| (kg/m) | 1.28 | Air density |
| A (m) | 2.5334 | Frontal area of the vehicle |
| (rad) | 0 | Gradient of the road |
| g (m/s) | 9.81 | Acceleration of gravity |
| 0.015 | Rolling resistance coefficient | |
| 8.193 | Gear ratio | |
| r (m) | 0.4318 | Radius of the tire |
| b | 1.0355 | Motor loss coefficient |
| 0.2 | Proportional gain | |
| 0.7 | Derivative gain | |
| 0.00034 | Integral gain |
| RL Model | Simple Early Merge | |||||
|---|---|---|---|---|---|---|
| Energy Consumed (MJ) | 21.24 | 44.76 | 91.5 | 92.77 | 80.2 | 91.5 |
| Average Jerk (m/s) | 0.4907 | 0.4478 | 0.6841 | 0.692 | 0.634 | 0.6841 |
| Maximum Jerk (m/s) | 2.95 | 2.436 | 2.3019 | 3.09 | 2.565 | 2.3019 |
| Last Vehicle’s Average Speed (m/s) | 7.67 | 6.17 | 8.869 | 8.865 | 8.91 | 8.869 |
| Time (s) | 27.1 | 28.8 | 18.2 | 18.1 | 17.4 | 18.2 |
| Case 1 | Case 2 | Case 3 | |
|---|---|---|---|
| Max Jerk (m/s) | 3.01 | 2.6 | 3.35 |
| Avg Jerk (m/s) | 0.52 | 0.54 | 0.57 |
| Last Vehicle’s Average Speed (m/s) | 7.75 | 8.9 | 7.97 |
| Energy Consumed (MJ) | 56.66 | 46.48 | 83.68 |
| Time (s) | 25.5 | 21.6 | 22.4 |
Disclaimer/Publisher’s Note: The statements, opinions and data contained in all publications are solely those of the individual author(s) and contributor(s) and not of MDPI and/or the editor(s). MDPI and/or the editor(s) disclaim responsibility for any injury to people or property resulting from any ideas, methods, instructions or products referred to in the content. |
© 2023 by the authors. Licensee MDPI, Basel, Switzerland. This article is an open access article distributed under the terms and conditions of the Creative Commons Attribution (CC BY) license (https://creativecommons.org/licenses/by/4.0/).
Share and Cite
Irshayyid, A.; Chen, J. Comparative Study of Cooperative Platoon Merging Control Based on Reinforcement Learning. Sensors 2023, 23, 990. https://doi.org/10.3390/s23020990
Irshayyid A, Chen J. Comparative Study of Cooperative Platoon Merging Control Based on Reinforcement Learning. Sensors. 2023; 23(2):990. https://doi.org/10.3390/s23020990
Chicago/Turabian StyleIrshayyid, Ali, and Jun Chen. 2023. "Comparative Study of Cooperative Platoon Merging Control Based on Reinforcement Learning" Sensors 23, no. 2: 990. https://doi.org/10.3390/s23020990
APA StyleIrshayyid, A., & Chen, J. (2023). Comparative Study of Cooperative Platoon Merging Control Based on Reinforcement Learning. Sensors, 23(2), 990. https://doi.org/10.3390/s23020990

