Inertial Tracking System for Monitoring Dual Mobility Hip Implants In Vitro
Abstract
1. Introduction
2. System Design
2.1. Trackers
- Operate without requiring a line of sight;
- Be able to operate immersed in lubrication fluids;
- Mount to a DM implant without affecting the bearing surfaces and overall implant motion;
- Have a stable operation without excessive sensor drift to allow for the observation of trends in motion;
- Be resistant to magnetic disturbances.
2.2. Calibration
- Accelerometers;
- Gyroscopes;
- Magnetometers.
2.2.1. Accelerometers
2.2.2. Gyroscopes
2.2.3. Magnetometers
2.3. Magnetic Distortion Tolerance
3. Experimental Validation
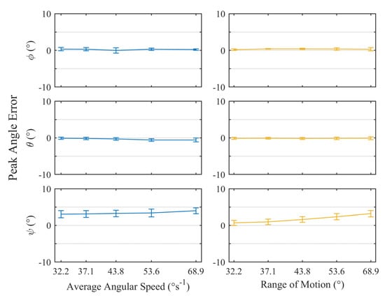
3.1. Tracker Performance under Ideal Conditions
3.1.1. Method and Materials
- was the swept angle in °
- was the period for one cycle in s
- was the average angular speed in °·s−1
3.1.2. Results
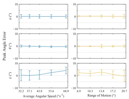
3.2. Tracker Performance In Vitro with Lubrication and Magnetic Interference
3.2.1. Method and Materials
3.2.2. Results
4. Conclusions
Supplementary Materials
Author Contributions
Funding
Institutional Review Board Statement
Informed Consent Statement
Data Availability Statement
Acknowledgments
Conflicts of Interest
References
- Darrith, B.; Courtney, P.M.; della Valle, C.J. Outcomes of Dual Mobility Components in Total Hip Arthroplasty: A Systematic Review of the Literature. Bone Jt. J. 2018, 100, 11–19. [Google Scholar] [CrossRef] [PubMed]
- American Academy of Orthopaedic Surgeons. American Joint Replacement Registry The Eighth Annual Report of the AJRR on Hip and Knee Arthroplasty. Am. Jt. Replace. Regist. 2021, 22–63. [Google Scholar]
- van Gaalen, J.B.; Trejos, A.L.; Nikolov, H.N.; Ivanov, T.G.; Pollman, S.I.; Holdsworth, D.W. Versatile Smart Hip Implant Technology Using 3D Metal Printing. In Proceedings of the 2016 IEEE International Symposium on Circuits and Systems (ISCAS), Montréal, QC, Canada, 22–25 May 2016; pp. 2731–2734. [Google Scholar]
- Bergmann, G.; Graichen, F.; Dymke, J.; Rohlmann, A.; Duda, G.N.; Damm, P. High-Tech Hip Implant for Wireless Temperature Measurements In Vivo. PLoS ONE 2012, 7, e43489. [Google Scholar] [CrossRef] [PubMed]
- Damm, P.; Graichen, F.; Rohlmann, A.; Bender, A.; Bergmann, G. Total Hip Joint Prosthesis for in Vivo Measurement of Forces and Moments. Med. Eng. Phys. 2010, 32, 95–100. [Google Scholar] [CrossRef] [PubMed]
- Vickers, O.G.; Culmer, P.R.; Isaac, G.H.; Kay, R.W.; Shuttleworth, M.P.; Board, T.; Williams, S. Is in Vivo Sensing in a Total Hip Replacement a Possibility? A Review on Past Systems and Future Challenges. Prog. Biomed. Eng. 2021, 3, 042004. [Google Scholar] [CrossRef]
- Nazarahari, M.; Rouhani, H. 40 Years of Sensor Fusion for Orientation Tracking via Magnetic and Inertial Measurement Units: Methods, Lessons Learned, and Future Challenges. Inf. Fusion 2021, 68, 67–84. [Google Scholar] [CrossRef]
- Mahony, R.; Hamel, T.; Morin, P.; Malis, E. Nonlinear Complementary Filters on the Special Linear Group. Int. J. Control 2012, 85, 1557–1573. [Google Scholar] [CrossRef]
- Madgwick, S.O.H.; Harrison, A.J.L.; Vaidyanathan, R. Estimation of IMU and MARG Orientation Using a Gradient Descent Algorithm. In Proceedings of the 2011 IEEE International Conference on Rehabilitation Robotics, Zurich, Switzerland, 29 June–1 July 2011; pp. 1–7. [Google Scholar]
- Lukianto, C.; Honniger, C.; Sternberg, H. Pedestrian Smartphone-Based Indoor Navigation Using Ultra Portable Sensory Equipment. In Proceedings of the 2010 International Conference on Indoor Positioning and Indoor Navigation, Zurich, Switzerland, 15–17 September 2010; pp. 1–5. [Google Scholar]
- Kuang, J.; Niu, X.; Chen, X. Robust Pedestrian Dead Reckoning Based on MEMS-IMU for Smartphones. Sensors 2018, 18, 1391. [Google Scholar] [CrossRef] [PubMed]
- Sikkel, L.N.C.; de Croon, G.C.H.E.; de Wagter, C.; Chu, Q.P. A Novel Online Model-Based Wind Estimation Approach for Quadrotor Micro Air Vehicles Using Low Cost MEMS IMUs. In Proceedings of the 2016 IEEE/RSJ International Conference on Intelligent Robots and Systems (IROS), Daejeon, Korea, 9–14 October 2016; pp. 2141–2146. [Google Scholar]
- Sahawneh, L.; Jarrah, M.A. Development and Calibration of Low Cost MEMS IMU for UAV Applications. In Proceedings of the 2008 5th International Symposium on Mechatronics and Its Applications, Amman, Jordan, 27–29 May 2008; pp. 1–9. [Google Scholar]
- Strohmeier, M.; Montenegro, S. Coupled GPS/MEMS IMU Attitude Determination of Small UAVs with COTS. Electronics 2017, 6, 15. [Google Scholar] [CrossRef]
- Nilsson, J.-O.; Skog, I. Inertial sensor arrays—A literature review. In Proceedings of the 2016 European Navigation Conference (ENC), Helsinki, Finland, 30 May–2 June 2016; ISBN 9781479989157. ISBN 9781479989157. [Google Scholar]
- Zhang, J.-T.; Novak, A.C.; Brouwer, B.; Li, Q. Concurrent Validation of Xsens MVN Measurement of Lower Limb Joint Angular Kinematics. Physiol. Meas. 2013, 34, N63–N69. [Google Scholar] [CrossRef] [PubMed]
- Enayati, N.; de Momi, E.; Ferrigno, G. A Quaternion-Based Unscented Kalman Filter for Robust Optical/Inertial Motion Tracking in Computer-Assisted Surgery. IEEE Trans. Instrum. Meas. 2015, 64, 2291–2301. [Google Scholar] [CrossRef]
- Chen, H.; Yang, Z.; Zhang, J.; Liu, J.; Tang, H.; Zhou, Y.; Zhu, B.; Wang, Z. An IMU-Based Real-Time Measuring System for Acetabular Prosthesis Implant Angles in THR Surgeries. IEEE Sens. J. 2021, 21, 19407–19415. [Google Scholar] [CrossRef]
- TDK InvenSense ICM-20948 Datasheet. Available online: https://invensense.tdk.com/wp-content/uploads/2016/06/DS-000189-ICM-20948-v1.3.pdf (accessed on 4 January 2023).
- Ghanipoor, F.; Hashemi, M.; Salarieh, H. Toward Calibration of Low-Precision MEMS IMU Using a Nonlinear Model and TUKF. IEEE Sens. J. 2020, 20, 4131–4138. [Google Scholar] [CrossRef]
- Sipos, M.; Paces, P.; Rohac, J.; Novacek, P. Analyses of Triaxial Accelerometer Calibration Algorithms. IEEE Sens. J. 2012, 12, 1157–1165. [Google Scholar] [CrossRef]
- Frosio, I.; Pedersini, F.; Borghese, N.A. Autocalibration of MEMS Accelerometers. IEEE Trans. Instrum. Meas. 2009, 58, 2034–2041. [Google Scholar] [CrossRef]
- Bancroft, J.B.; Lachapelle, G. Estimating MEMS Gyroscope G-Sensitivity Errors in Foot Mounted Navigation. In Proceedings of the 2012 Ubiquitous Positioning, Indoor Navigation, and Location Based Service, UPINLBS 2012, Helsinki, Finland, 3–4 October 2012. [Google Scholar]
- MATLAB Sensor Fusion and Tracking Toolbox. Available online: https://uk.mathworks.com/products/sensor-fusion-and-tracking.html (accessed on 13 December 2020).
- Universal Robots Real-Time Data Exchange (RTDE) Guide. Available online: https://www.universal-robots.com/articles/ur/interface-communication/real-time-data-exchange-rtde-guide/ (accessed on 15 December 2020).
- MATLAB Robotics Systems Toolbox. Available online: https://uk.mathworks.com/help/robotics/index.html?s_tid=CRUX_lftnav (accessed on 4 January 2023).
- Zhao, W.; Cheng, Y.; Zhao, S.; Hu, X.; Rong, Y.; Duan, J.; Chen, J. Navigation Grade MEMS IMU for A Satellite. Micromachines 2021, 12, 151. [Google Scholar] [CrossRef] [PubMed]
- InvenSense. InvenSense MEMS Handling. Available online: https://invensense.tdk.com/wp-content/uploads/2015/02/InvenSense-MEMS-Handling.pdf (accessed on 4 January 2023).











| Characteristic | Accelerometers | Gyroscopes | Magnetometers |
|---|---|---|---|
| Full-Scale Range | ±2, 4, 8, 16 g | ±250, 500, 1000, 2000 dps | ±4900 µT |
| Resolution | 61, 122, 244, 288 µg | 0.008, 0.015, 0.030, 0.061 dps | 0.075 µT |
| Data Output Rate (Hz) | 4.5 k | 9 k | 100 |
| Test Variable | Range of Motion (±°) | Average Angular Speed (°/s) | Cycle Period (s) | Angle Swept per Cycle (°) |
|---|---|---|---|---|
| Average Angular Speed | 20.0 | 80.4 | 1.2 | 96.4 |
| 60.3 | 1.6 | |||
| 48.2 | 2.0 | |||
| 40.2 | 2.4 | |||
| 34.5 | 2.8 | |||
| Range of Motion | 10.3 | 41.5 | 1.2 | 49.8 |
| 13.8 | 1.6 | 66.4 | ||
| 17.2 | 2.0 | 83.0 | ||
| 20.7 | 2.4 | 99.6 | ||
| 24.1 | 2.8 | 116.2 |
| Test Variable | Range of Motion (±°) | Average Angular Speed (°/s) | Cycle Period (s) | Angle Swept per Cycle (°) |
|---|---|---|---|---|
| Average Angular Speed | 20.0 | 68.9 | 1.4 | 96.4 |
| 53.6 | 1.8 | |||
| 43.8 | 2.2 | |||
| 37.1 | 2.6 | |||
| 32.2 | 3.0 | |||
| Range of Motion | 6.9 | 41.5 | 0.8 | 32.2 |
| 10.3 | 1.2 | 49.8 | ||
| 13.8 | 1.6 | 66.4 | ||
| 17.2 | 2.0 | 83.0 | ||
| 20.7 | 2.4 | 99.6 |
Disclaimer/Publisher’s Note: The statements, opinions and data contained in all publications are solely those of the individual author(s) and contributor(s) and not of MDPI and/or the editor(s). MDPI and/or the editor(s) disclaim responsibility for any injury to people or property resulting from any ideas, methods, instructions or products referred to in the content. |
© 2023 by the authors. Licensee MDPI, Basel, Switzerland. This article is an open access article distributed under the terms and conditions of the Creative Commons Attribution (CC BY) license (https://creativecommons.org/licenses/by/4.0/).
Share and Cite
Shuttleworth, M.P.; Vickers, O.; Smeeton, M.; Board, T.; Isaac, G.; Culmer, P.; Williams, S.; Kay, R.W. Inertial Tracking System for Monitoring Dual Mobility Hip Implants In Vitro. Sensors 2023, 23, 904. https://doi.org/10.3390/s23020904
Shuttleworth MP, Vickers O, Smeeton M, Board T, Isaac G, Culmer P, Williams S, Kay RW. Inertial Tracking System for Monitoring Dual Mobility Hip Implants In Vitro. Sensors. 2023; 23(2):904. https://doi.org/10.3390/s23020904
Chicago/Turabian StyleShuttleworth, Matthew Peter, Oliver Vickers, Mackenzie Smeeton, Tim Board, Graham Isaac, Peter Culmer, Sophie Williams, and Robert William Kay. 2023. "Inertial Tracking System for Monitoring Dual Mobility Hip Implants In Vitro" Sensors 23, no. 2: 904. https://doi.org/10.3390/s23020904
APA StyleShuttleworth, M. P., Vickers, O., Smeeton, M., Board, T., Isaac, G., Culmer, P., Williams, S., & Kay, R. W. (2023). Inertial Tracking System for Monitoring Dual Mobility Hip Implants In Vitro. Sensors, 23(2), 904. https://doi.org/10.3390/s23020904

