Smart Grid Outlier Detection Based on the Minorization–Maximization Algorithm
Abstract
:1. Introduction
- (1)
- Sensors can malfunction or fail, resulting in inaccurate or incomplete data collection, resulting in outliers.
- (2)
- Human factors, such as incorrect data entry, operational errors, etc., may cause data anomalies.
- (3)
- Natural disasters and emergencies, such as storms, earthquakes, fires, explosions, etc., may cause damage to electric power facilities and thus generate outliers.
- (4)
- Factors such as power equipment failure, damage, data transmission, and processing errors can lead to outliers.
2. System Model
2.1. Measurement Model
2.2. Measurement Model with Outliers
2.3. Gaussian Mixture Model for Measurements
3. The Minorization–Maximization Algorithm
4. Parameter Estimation of GMM
4.1. Construction of Surrogate Function
4.2. Parameter Estimation of , , and
| Algorithm 1 GMM parameters are estimated based on the MM algorithm |
Input: The measurements ;
|
5. Algorithm Analysis
5.1. Convergence Analysis
5.2. Complexity Analysis
- (1)
- : FLOPs for addition.
- (2)
- : FLOPs for subtraction.
- (3)
- : FLOPs for multiplication.
- (4)
- : FLOPs for division.
- (5)
- : FLOPs for exponents.
- (6)
- : FLOPs for raising to a real power.
- (7)
- : FLOPs for square roots.
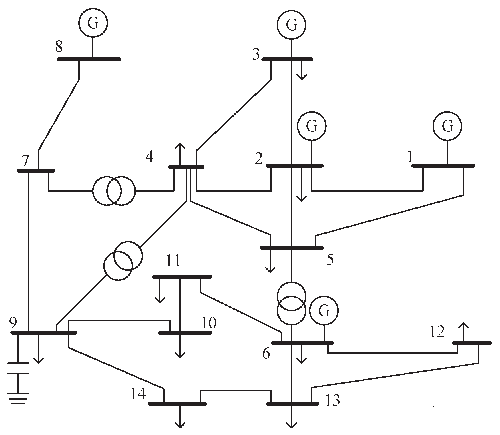
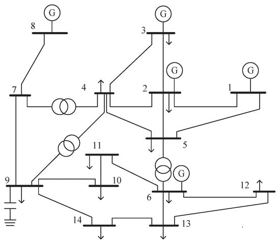
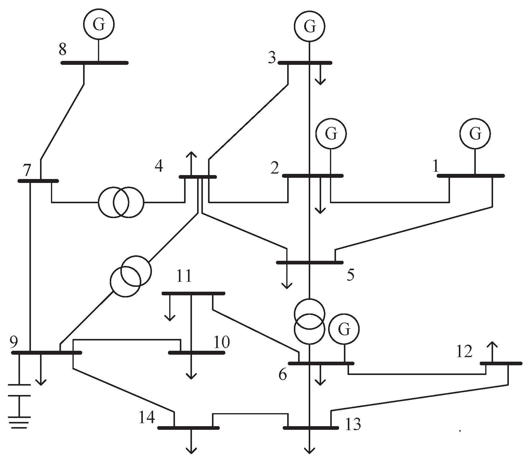
6. Simulation
7. Conclusions
Author Contributions
Funding
Institutional Review Board Statement
Informed Consent Statement
Data Availability Statement
Acknowledgments
Conflicts of Interest
References
- Zhao, J.; Gómez-Expósito, A.; Netto, M.; Mili, L.; Abur, A.; Terzija, V.; Kamwa, I.; Pal, B.; Singh, A.K.; Qi, J.; et al. Power system dynamic state estimation: Motivations, definitions, methodologies, and future work. IEEE Trans. Power Syst. 2019, 34, 3188–3198. [Google Scholar] [CrossRef]
- Kang, J.W.; Xie, L.; Choi, D.H. Impact of data quality in home energy management system on distribution system state estimation. IEEE Access 2018, 6, 11024–11037. [Google Scholar] [CrossRef]
- Wang, Y.; Tian, J.; Sun, Z.; Wang, L.; Xu, R.; Li, M.; Chen, Z. A comprehensive review of battery modeling and state estimation approaches for advanced battery management systems. Renew. Sustain. Energy 2020, 131, 110015. [Google Scholar] [CrossRef]
- Zhao, J.; Mili, L. A theoretical framework of robust H-infinity unscented Kalman filter and its application to power system dynamic state estimation. IEEE Trans. Signal Process. 2019, 67, 2734–2746. [Google Scholar] [CrossRef]
- Liu, S.; Zhao, Y.; Lin, Z.; Liu, Y.; Ding, Y.; Yang, L.; Yi, S. Data-driven event detection of power systems based on unequal-interval reduction of PMU data and local outlier factor. IEEE Trans. Smart Grid 2019, 11, 1630–1643. [Google Scholar] [CrossRef]
- Wei, S.; Xu, J.; Wu, Z.; Hu, Q.; Yu, X. A False Data Injection Attack Detection Strategy for Unbalanced Distribution Networks State Estimation. IEEE Trans. Smart Grid 2023, 14, 3992–4006. [Google Scholar] [CrossRef]
- Abdolkarimzadeh, M.; Aghdam, F.H. A novel and efficient power system state estimation algorithm based on Weighted Least Square (WLS) approach service. J. Power Technol. 2019, 99, 15–24. Available online: https://papers.itc.pw.edu.pl/index.php/JPT/article/view/1258 (accessed on 15 June 2023).
- Wang, L.; Zhou, Q.; Jin, S. Physics-guided deep learning for power system state estimation. J. Mod. Power Syst. Clean Energy 2020, 8, 607–615. [Google Scholar] [CrossRef]
- Kotha, S.K.; Rajpathak, B. Power system state estimation using non-iterative weighted least square method based on wide area measurements with maximum redundancy. Electr. Pow. Syst. Res. 2022, 206, 107794. [Google Scholar] [CrossRef]
- Tan, S.; Wu, W.; Shao, Z.; Li, Q.; Li, B.; Huang, J. CALPA-NET: Channel-pruning-assisted deep residual network for steganalysis of digital images. IEEE Trans. Inf. Forensics Secur. 2020, 16, 131–146. [Google Scholar] [CrossRef]
- Kirchgässner, W.; Wallscheid, O.; Böcker, J. Estimating electric motor temperatures with deep residual machine learning. IEEE Trans. Power Electron. 2020, 36, 7480–7488. [Google Scholar] [CrossRef]
- Bhatti, B.A.; Broadwater, R. Distributed Nash equilibrium seeking for a dynamic micro-grid energy trading game with non-quadratic payoffs. Energy 2020, 202, 117709. [Google Scholar] [CrossRef]
- Asadi, S.; Khayatian, A.; Dehghani, M.; Vafam, N.; Khooban, M.H. Robust sliding mode observer design for simultaneous fault reconstruction in perturbed Takagi-Sugeno fuzzy systems using non-quadratic stability analysis. J. Vib. Control 2020, 26, 1092–1105. [Google Scholar] [CrossRef]
- Sun, Y.; Babu, P.; Palomar, D.P. Majorization-minimization algorithms in signal processing, communications, and machine learning. IEEE Trans. Signal Process. 2016, 65, 794–816. [Google Scholar] [CrossRef]
- Arora, A.; Tsinos, C.G.; Rao, B.S.M.R.; Chatzinotas, S.; Ottersten, B. Hybrid transceivers design for large-scale antenna arrays using majorization-minimization algorithms. IEEE Trans. Signal Process. 2019, 68, 701–714. [Google Scholar] [CrossRef]
- Panwar, K.; Katwe, M.; Babu, P.; Ghare, P.; Singh, K. A majorization-minimization algorithm for hybrid TOA-RSS based localization in NLOS environment. IEEE Commun. Lett. 2022, 26, 1017–1021. [Google Scholar] [CrossRef]
- Tian, G.L.; Huang, X.F.; Xu, J. An assembly and decomposition approach for constructing separable minorizing functions in a class of MM algorithms. Stat. Sin. 2019, 29, 961–982. [Google Scholar] [CrossRef]
- Tian, G.L.; Ju, D.; Chuen Yuen, K.; Zhang, C. New expectation–maximization-type algorithms via stochastic representation for the analysis of truncated normal data with applications in biomedicine. Stat. Methods Med. Res. 2018, 27, 2459–2477. [Google Scholar] [CrossRef]
- Tavakoli, S.; Yooseph, S. Learning a mixture of microbial networks using minorization–maximization. Bioinformatics 2019, 35, i23–i30. [Google Scholar] [CrossRef]
- Shen, K.; Yu, W.; Zhao, L.; Palomar, D.P. Optimization of MIMO device-to-device networks via matrix fractional programming: A minorization–maximization approach. IEEE/ACM Trans. Netw. 2019, 27, 2164–2177. [Google Scholar] [CrossRef]
- Ortega, J.M.; Rheinboldt, W.C. Iterative Solution of Nonlinear Equations in Several Variables; Academic Press: New York, NY, USA, 1970. [Google Scholar]
- De Leeuw, J. Applications of Convex Analysis to Multidimensional Scaling. 2005. Available online: https://escholarship.org/uc/item/7wg0k7xq (accessed on 6 July 2023).
- Lange, K.; Hunter, D.R.; Yang, I. Optimization transfer using surrogate objective functions. J. Comput. Graph. Stat. 2000, 9, 1–20. Available online: https://www.tandfonline.com/doi/abs/10.1080/10618600.2000.10474858 (accessed on 3 July 2023).
- Zhao, J.; Mili, L. A framework for robust hybrid state estimation with unknown measurement noise statistics. IEEE Trans. Industr. Inform. 2017, 14, 1866–1875. [Google Scholar] [CrossRef]
- Zhang, T.; Wang, Y.; Ning, J.; Zhai, M. Detection and identification of bad data based on neural network and k-means clustering. In Proceedings of the IEEE Innovative Smart Grid Technologies-Asia (ISGT Asia), Chengdu, China, 21–24 May 2019; pp. 3634–3639. [Google Scholar] [CrossRef]
- Huang, T.; Peng, H.; Zhang, K. Model selection for Gaussian mixture models. Stat. Sin. 2017, 27, 147–169. Available online: https://www.jstor.org/stable/44114365 (accessed on 5 May 2023). [CrossRef]
- Hosseini, R.; Sra, S. An alternative to EM for Gaussian mixture models: Batch and stochastic Riemannian optimization. Math. Program. 2020, 181, 187–223. Available online: https://archive.ics.uci.edu/ml/datasets (accessed on 2 June 2023). [CrossRef]
- Pfeifer, T.; Protzel, P. Expectation-maximization for adaptive mixture models in graph optimization. International conference on robotics and automation (ICRA). In Proceedings of the 2019 International Conference on Robotics and Automation (ICRA), Montreal, QC, Canada, 20–24 May 2019; pp. 3151–3157. [Google Scholar] [CrossRef]
- Yin, F.; Fritsche, C.; Gustafsson, F.; Zoubir, A.M. EM-and JMAP-ML based joint estimation algorithms for robust wireless geolocation in mixed LOS/NLOS environments. IEEE Trans. Signal Process. 2013, 62, 168–182. [Google Scholar] [CrossRef]
- Eisen, M.; Mokhtari, A.; Ribeiro, A. Decentralized quasi-Newton methods. IEEE Trans. Signal Process. 2017, 65, 2613–2628. [Google Scholar] [CrossRef]
- Li, M. A three term Polak-Ribière-Polyak conjugate gradient method close to the memoryless BFGS quasi-Newton method. J. Ind. Manag. Optim. 2018, 16, 245–260. [Google Scholar] [CrossRef]
- Li, M. A modified Hestense–Stiefel conjugate gradient method close to the memoryless BFGS quasi-Newton method. Optim. Methods Softw. 2018, 33, 336–353. [Google Scholar] [CrossRef]
- Degirmenci, A.; Karal, O. Robust incremental outlier detection approach based on a new metric in data streams. IEEE Access 2021, 9, 160347–160360. [Google Scholar] [CrossRef]












| Parameter | Value |
|---|---|
| M | 41 |
| 0.8 | |
| 0.2 | |
| 0 | |
| 0.03 | |
| 0.01 | |
| 0.0025 | |
| 100 |
Disclaimer/Publisher’s Note: The statements, opinions and data contained in all publications are solely those of the individual author(s) and contributor(s) and not of MDPI and/or the editor(s). MDPI and/or the editor(s) disclaim responsibility for any injury to people or property resulting from any ideas, methods, instructions or products referred to in the content. |
© 2023 by the authors. Licensee MDPI, Basel, Switzerland. This article is an open access article distributed under the terms and conditions of the Creative Commons Attribution (CC BY) license (https://creativecommons.org/licenses/by/4.0/).
Share and Cite
Qiao, L.; Gao, W.; Li, Y.; Guo, X.; Hu, P.; Hua, F. Smart Grid Outlier Detection Based on the Minorization–Maximization Algorithm. Sensors 2023, 23, 8053. https://doi.org/10.3390/s23198053
Qiao L, Gao W, Li Y, Guo X, Hu P, Hua F. Smart Grid Outlier Detection Based on the Minorization–Maximization Algorithm. Sensors. 2023; 23(19):8053. https://doi.org/10.3390/s23198053
Chicago/Turabian StyleQiao, Lina, Wengen Gao, Yunfei Li, Xinxin Guo, Pengfei Hu, and Feng Hua. 2023. "Smart Grid Outlier Detection Based on the Minorization–Maximization Algorithm" Sensors 23, no. 19: 8053. https://doi.org/10.3390/s23198053
APA StyleQiao, L., Gao, W., Li, Y., Guo, X., Hu, P., & Hua, F. (2023). Smart Grid Outlier Detection Based on the Minorization–Maximization Algorithm. Sensors, 23(19), 8053. https://doi.org/10.3390/s23198053

