Research on Finger Pressure Tactile Sensor with Square Hole Structure Based on Fiber Bragg Grating
Abstract
1. Introduction
2. FBG Pressure Tactile Sensing Principle
3. Design and Simulation of FBG Pressure Tactile Sensing Element
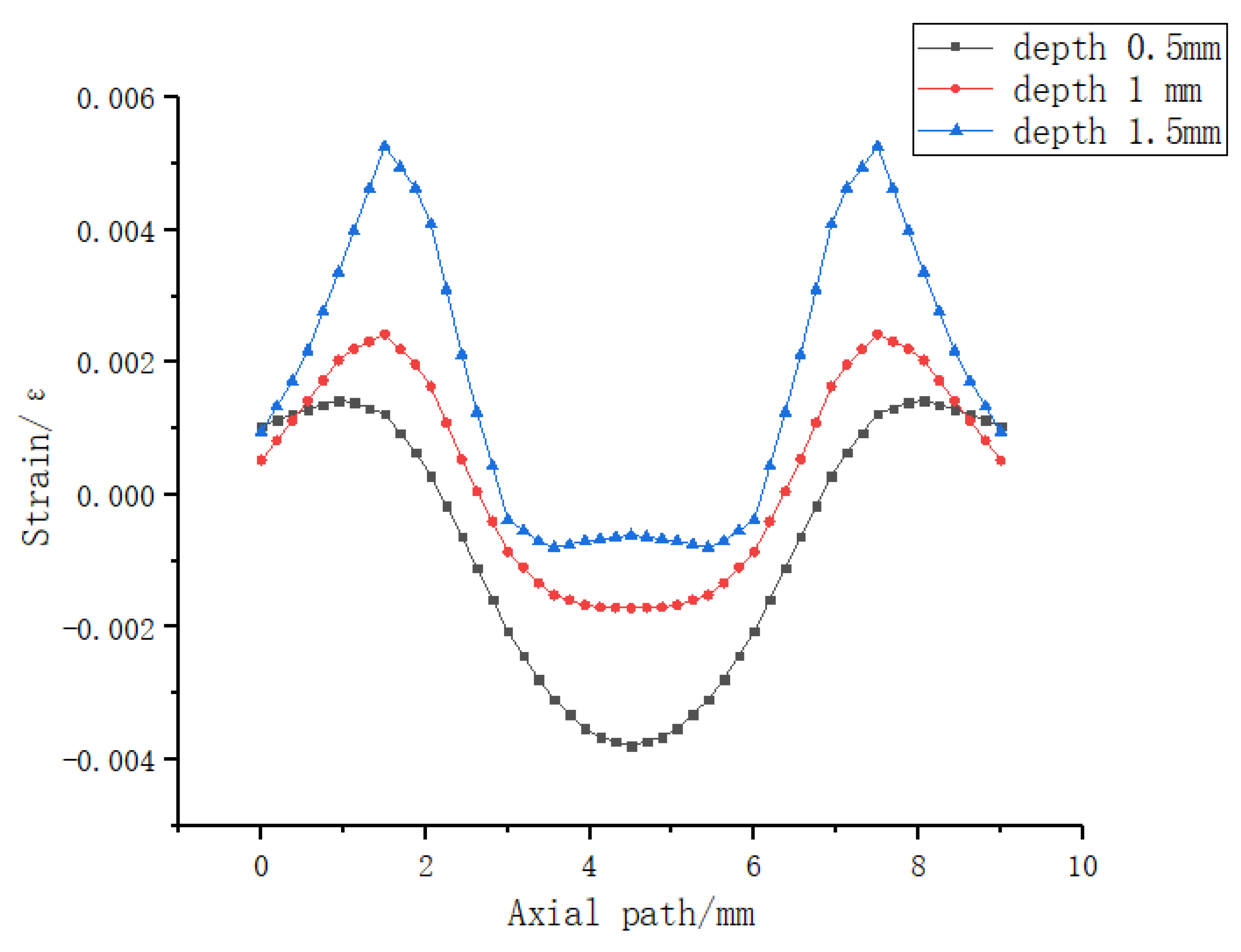
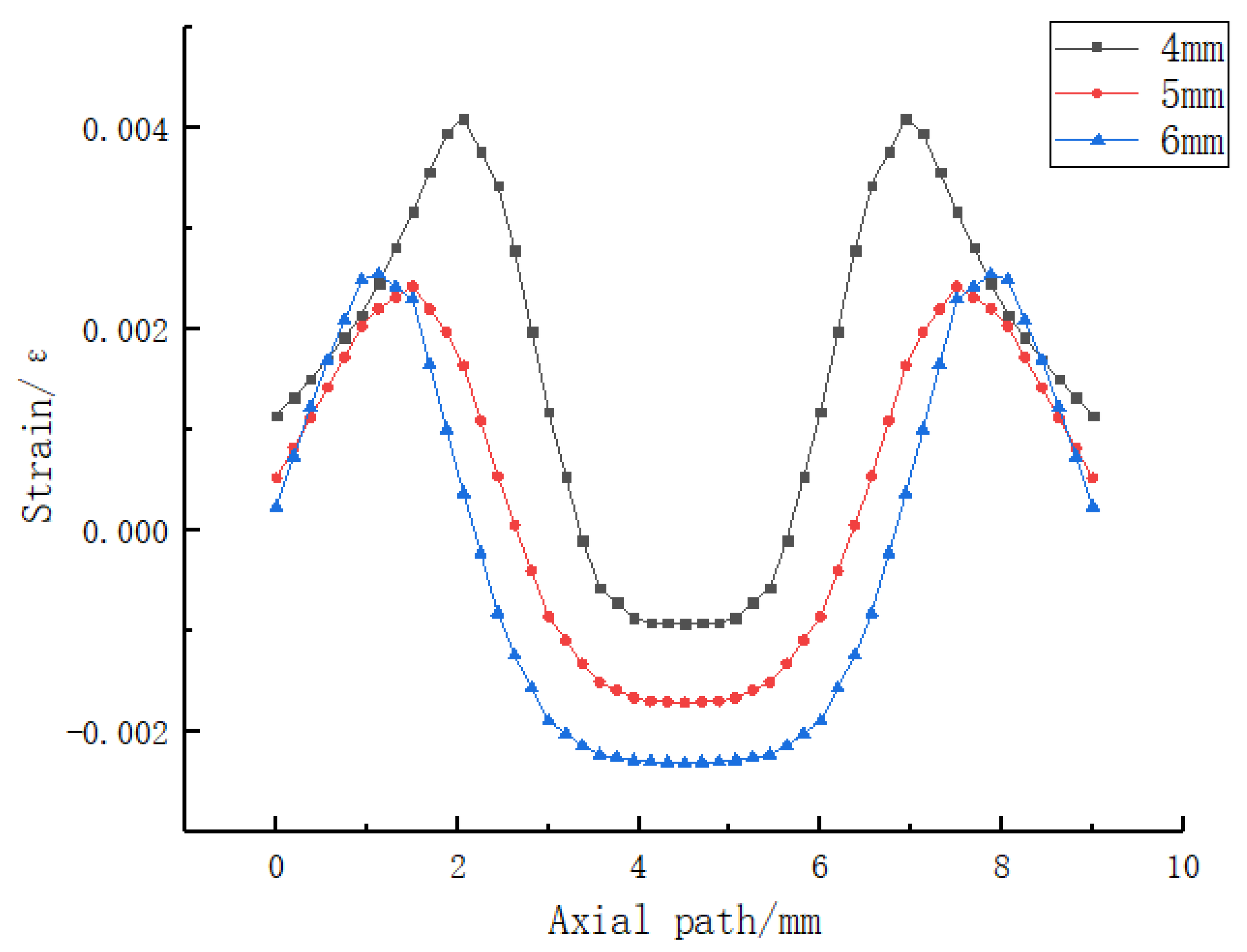
3.1. Sensing Element Modeling and Grating Embedding Depth Analysis
3.2. Design of Pressure Tactile Sensor Element Based on the Robot Finger
4. Sensing Experiment and Analysis of FBG Pressure Tactile Element
4.1. Fabrication of FBG Pressure Tactile Sensing Element
4.2. Pressure Tactile Sensing System
4.3. Experiment and Analysis of Pressure Tactile Sensing
- 1.
- Linearity experiment and analysis
- 2.
- Repeatability experiment and analysis
- 3.
- Creep experiment and analysis
5. Experiment and Analysis of Robot Finger Pressure Tactile Sensing
5.1. Robot Finger Pressure Tactile Sensing System
5.2. Experiment and Analysis of Robot Finger Pressure Tactile Sensation
- Single-finger sensitivity experiment and analysis
- 2.
- Single-finger lateral force pressure experiment and analysis
6. Conclusions
Author Contributions
Funding
Institutional Review Board Statement
Informed Consent Statement
Data Availability Statement
Conflicts of Interest
References
- Wang, F.; Feng, Y.; Zhang, H. Research progress of fiber Bragg grating tactile sensor. Transducer Microsyst. Technol. 2018, 37, 1–4+8. [Google Scholar]
- Wo, H. Design and Preparation of Capacitive Three-Dimensional Force Flexible Tactile Sensor; Zhejiang University: Hangzhou, China, 2019. [Google Scholar]
- Samuel, S.; Kumar, A.; Mukhopadhyay, C. Fiber Bragg grating tactile sensor for imaging. Optik 2019, 198, 163062. [Google Scholar] [CrossRef]
- Wang, F.; Song, Y.; Calogero, O. Three-Dimensional Force Prediction of a Flexible Tactile Sensor Based on Radial Basis Function Neural Networks. J. Sens. 2021, 2021, 8825019. [Google Scholar] [CrossRef]
- Micael, N.; Patrick, I.; Tiago, P. Embedded Fiber Sensors to Monitor Temperature and Strain of Polymeric Parts Fabricated by Additive Manufacturing and Reinforced with NiTi Wires. Senors 2020, 20, 1122. [Google Scholar]
- Vijay, K.; Cui, X.; Hakil, K. Vision-Based Tactile Sensor Mechanism for the Estimation of Contact Position and Force Distribution Using Deep Learning. Sensors 2021, 21, 1920. [Google Scholar] [CrossRef] [PubMed]
- Sonoi, Y.; Tanaka, Y.; Nishizawa, J.; Usuda, N. A soft tactile sensor featuring subcutaneous tissue structure with collagen fibers. Adv. Robot. 2021, 35, 308–319. [Google Scholar] [CrossRef]
- Markowski, K.; Kacper, W.; Pokropek, E.; Marzecki, M. Numerical and Experimental Performance Analysis of the Chirped Fiber Bragg Grating Based Abrasion Sensor for the Maintenance Applications in the Industry 4.0. Sensors 2020, 20, 770. [Google Scholar] [CrossRef]
- Zhao, L.; Dong, M.; Li, H. Research on shape sensing fiber optic sensing method of bionic flexible antenna. Laser Infrared 2018, 48, 509–514. [Google Scholar]
- Feng, J.; Jiang, Q. Slip and roughness detection of robotic fingertip based on FBG. Sens. Actuactors A Phys. 2019, 287, 143–149. [Google Scholar] [CrossRef]
- Yu, Z. Research on Fiber Optioc Pressure Tactile Sensor of Robot Finger; Shan Dong University: Jinan, China, 2017. [Google Scholar]
- Xu, H.; Miao, X.; Wang, S. Robot flexible tactile sensor based on FBG. Robot 2018, 40, 634–639+722. [Google Scholar]
- Fujiwara, E.; Hayashi, G.; Delfino, T. Optical Fiber Anemometer Based on a Multi-FBG Curvature Sensor. IEEE Sens. J. 2019, 19, 8727–8732. [Google Scholar] [CrossRef]
- Yang, Y.; Hong, C.; Abro, Z. A new Fiber Bragg Grating sensor based circumferential strain sensor fabricated using 3D printing method. Sens. Actuators A-Phys. 2019, 295, 663–670. [Google Scholar] [CrossRef]
- Hao, H. Research on Optical Fiber Type Tactile Sensor. Master’s Thesis, Dalian University of Technology, Dalian, China, 2012. [Google Scholar]
- Saccomandi, P.; Oddo, C.; Zollo, L. Feedforward neural network for force coding of an MRI-compatible tactile sensor array based on fiber Bragg grating. J. Sens. 2015, 2015, 367194. [Google Scholar] [CrossRef]
- Jiang, Q.; Wei, G.; Zhao, C. Fiber Bragg grating-based biomimetic whisker for shape and texture recognition. J. Instrum. 2018, 13, 11013. [Google Scholar] [CrossRef]
- Qi, Y.; Qian, M.; Yang, H. Flexible tactile sensor with 2D structure based on Fiber Bragg grating. Proc. SPIE-Int. Soc. Opt. Eng. 2021, 12057, 604–613. [Google Scholar]
- Qian, M.; Zhang, J.; Wei, X. Research on material recognition function of fiber Bragg grating flexible tactile sensor. Chin. J. Sci. Instrum. 2022, 43, 206–212. [Google Scholar]
- Feng, Y.; Wang, H.; Liu, P. Optical fiber Bragg grating based sensing system of flexible wearable smart sleeve for tracking human arm joint movements. Meas. Sci. Technol. 2023, 34, 084010. [Google Scholar] [CrossRef]
- Heo, J.; Lee, J. Development of flexible force sensors using fiber Bragg grating for tactile and its evaluation. In Proceedings of the Third International Conference on Experimental Mechanics and Third Conference of the Asian Committee on Experimental Mechanics, Singapore, 29 November–1 December 2005; Volume 5852, pp. 372–378. [Google Scholar]
- Qi, J.; Xiang, L. Design and Experimental Research on Small-Structures of Tactile Sensor Array Unit Based on Fiber Bragg Grating. IEEE Sens. J. 2017, 17, 2048–2054. [Google Scholar]
- Qian, M.; Qi, Y.; Wei, X. Research on decoupling of fiber Bragg grating tactile signal based on neural network. Chin. J. Sci. Instrum. 2021, 42, 44–51. [Google Scholar]
- Liu, H. Application Research of Fiber Grating Sensor in Structural Health Monitoring. Ph.D. Thesis, Nanjing University of Aeronautics and Astronautics, Nanjing, China, 2012. [Google Scholar]


























| Sensor Number | Sensor Structure Type | Dimensions (mm) | Embedding Depth (mm) | Square Hole Embedding Depth (mm) | Grating Center Wavelength /nm | Grating Length l/mm |
|---|---|---|---|---|---|---|
| 1 | solid | 7 × 9 × 5 | 1 | - | 1550.300 | 2 |
| 2 | square hole | 7 × 9 × 5 | 1 | 2.5 | 1540.100 | 2 |
| 3 | square hole | 7 × 9 × 5 | 1 | 2.5 | 1545.220 | 3 |
| Sensor Number | Sensor Structure Type | Grating Center Wavelength /nm | Grating Length l/mm |
|---|---|---|---|
| 1 | solid | 1550.220 | 2 |
| 2 | square hole | 1540.060 | 2 |
| 3 | square hole | 1540.131 | 3 |
| Sensor 2 | Sensor 1 | ||
|---|---|---|---|
| Pressure/N | Interference Rate/% | Pressure/N | Interference Rate/% |
| 0 | 24.6% | 0 | 10.4% |
| 1 | 8.43% | 1 | 11.25% |
| 2 | 9.13% | 2 | 8.6% |
| 3 | 10.05% | 3 | 7.67% |
| 4 | 5.65% | 4 | 9.09% |
| 5 | 6.91% | 5 | 8.48% |
| 6 | 7.01% | 6 | 9.54% |
| 7 | 6.52% | 7 | 10.05% |
| 8 | 5.48% | 8 | 13.41% |
| 9 | 7.95% | 9 | 15.96% |
| 10 | 9.23% | 10 | 18.04% |
| Average interference value/% | 7.63% | Average interference value/% | 11.21% |
Disclaimer/Publisher’s Note: The statements, opinions and data contained in all publications are solely those of the individual author(s) and contributor(s) and not of MDPI and/or the editor(s). MDPI and/or the editor(s) disclaim responsibility for any injury to people or property resulting from any ideas, methods, instructions or products referred to in the content. |
© 2023 by the authors. Licensee MDPI, Basel, Switzerland. This article is an open access article distributed under the terms and conditions of the Creative Commons Attribution (CC BY) license (https://creativecommons.org/licenses/by/4.0/).
Share and Cite
Lu, G.; Fu, S.; Zhu, T.; Xu, Y. Research on Finger Pressure Tactile Sensor with Square Hole Structure Based on Fiber Bragg Grating. Sensors 2023, 23, 6897. https://doi.org/10.3390/s23156897
Lu G, Fu S, Zhu T, Xu Y. Research on Finger Pressure Tactile Sensor with Square Hole Structure Based on Fiber Bragg Grating. Sensors. 2023; 23(15):6897. https://doi.org/10.3390/s23156897
Chicago/Turabian StyleLu, Guan, Shiwen Fu, Tianyu Zhu, and Yiming Xu. 2023. "Research on Finger Pressure Tactile Sensor with Square Hole Structure Based on Fiber Bragg Grating" Sensors 23, no. 15: 6897. https://doi.org/10.3390/s23156897
APA StyleLu, G., Fu, S., Zhu, T., & Xu, Y. (2023). Research on Finger Pressure Tactile Sensor with Square Hole Structure Based on Fiber Bragg Grating. Sensors, 23(15), 6897. https://doi.org/10.3390/s23156897

