Towards Monitoring and Identification of Red Palm Weevil Gender Using Microwave CSRR-Loaded TL Sensors
Abstract
1. Introduction
- Develop microwave CSRR-loaded transmission line (TL) sensors for the potential identification and detection of RPW gender type through the recording of the transmission strength of the sensor.
- Present 3D numerical models that mimic the nature of microwave CSRR sensors in the detection of various RPW genders.
- Present an experimental setup of the microwave identification setup for RPW gender detection. Due to the limited access to a collection of RPWs, only samples were considered in the experimental study.
- Earlier studies focused on the microwave heating treatment of date palm trunks infested with RPW pests. However, this research work explores deeply the effectiveness of the microwave CSRR probes when interacting with RPW pests towards the identification of different gender types of RPWs.
- This study also assesses the performance of the microwave CSRR sensor over a population of 17 RPW samples that were collected from a local infected date palm farm: 5 samples for adult male RPW, another 5 for adult female RPWs and 7 samples for larvae insects.
- This study focuses mainly on isolated RPW samples of various gender types, which is important to quantify the strength and effectiveness of the developed microwave sensor. Future studies will aim to investigate the applicability of machine learning on estimating RPW gender type in a more populated area with different RPW genders and species at different stages. Furthermore, this research study contributed to the field of RPW pest control through the deployment of low-power microwaves to investigate the potential identification of RPW gender instead of the high-power microwave treatments, which were reported in earlier studies; thus, avoiding the need to use harmful radiation that farmers could be exposed to during their daily work.
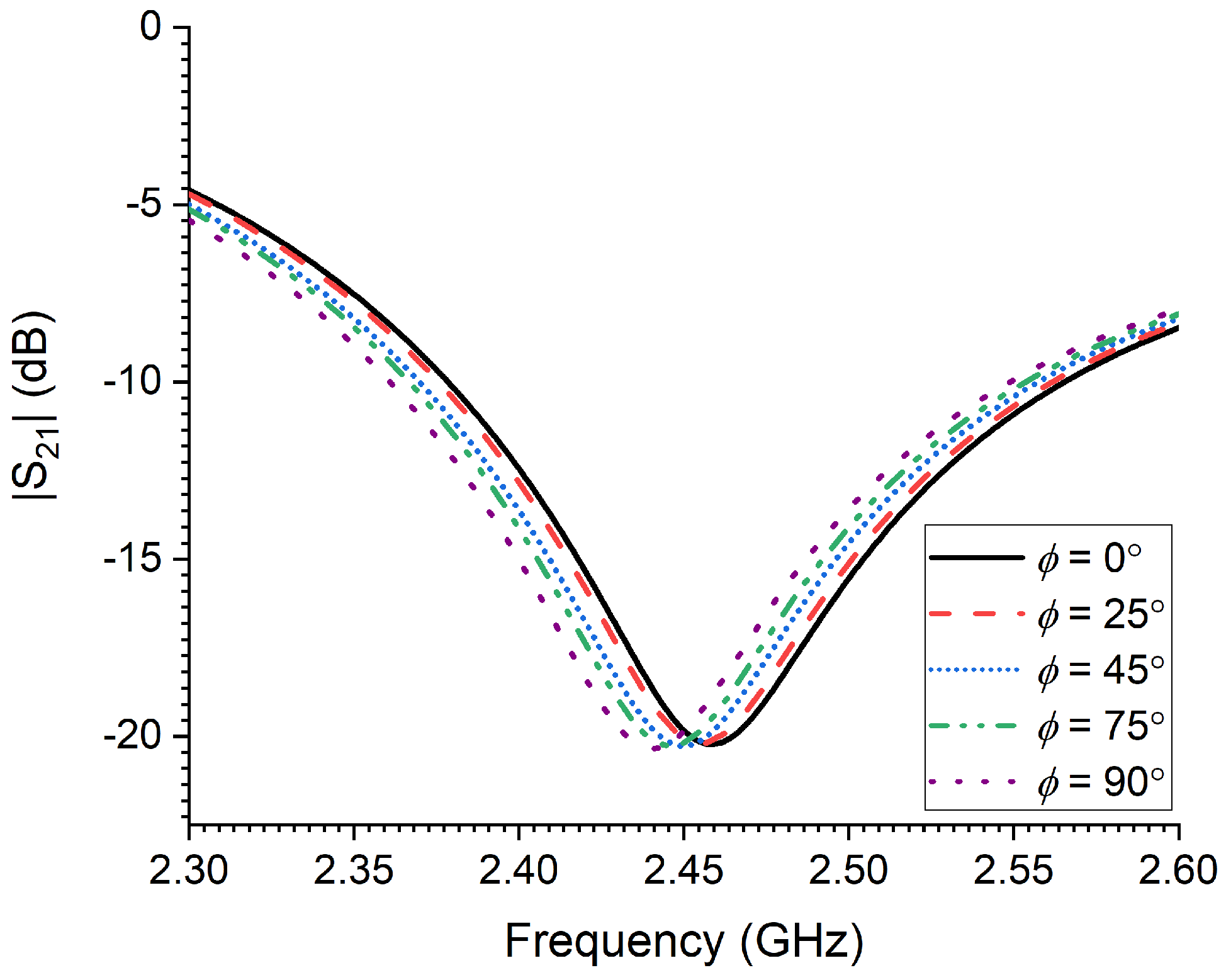
2. Numerical Simulations of RPW Gender Identification
2.1. Numerical Modeling of the CSRR Sensor
2.2. Numerical Setup of the RPW Gender Detection System
3. Experimental Results
4. Conclusions
Funding
Acknowledgments
Conflicts of Interest
References
- Al-Saoud, A.; Al-Deeb, M.; Murchie, A. Effect of color on the trapping effectiveness of red palm weevil pheromone traps. J. Entomol. 2010, 7, 54–59. [Google Scholar] [CrossRef]
- Soomro, M.; Mari, J.; Nizamani, I.; Gilal, A. Performance of ferrolure+pheromone in the red palm weevil, Rhynchophorus ferrugineus (Coleoptera: Dryophthoridae) management in date palm growing areas of Sindh, Pakistan. J. Saudi Soc. Agric. Sci. 2022, 21, 114–124. [Google Scholar] [CrossRef]
- Nangai, V.; Martin, B. Interpreting the acoustic characteristics of RPW towards its detection—A review. IOP Conf. Ser. Mater. Sci. Eng. 2017, 225, 012178. [Google Scholar] [CrossRef]
- Ashry, I.; Mao, Y.; Al-Fehaid, Y.; Al-Shawaf, A.; Al-Bagshi, M.; Al-Brahim, S.; Ng, T.K.; Ooi, B.S. Early detection of red palm weevil using distributed optical sensor. Sci. Rep. 2020, 10, 3155. [Google Scholar] [CrossRef] [PubMed]
- Wang, B.; Mao, Y.; Ashry, I.; Al-Fehaid, Y.; Al-Shawaf, A.; Ng, T.K.; Ooi, C.Y.S. Towards detecting red palm weevil using machine learning and fiber optic distributed acoustic sensing. Sensors 2021, 21, 1592. [Google Scholar] [CrossRef] [PubMed]
- Massa, R.; Panariello, G.; Pinchera, D.; Schettino, F.; Caprio, E.; Griffo, R.; Migliore, M.D. Experimental and numerical evaluations on palm microwave heating for red palm weevil pest control. Sci. Rep. 2017, 7, 45299. [Google Scholar] [CrossRef] [PubMed]
- Bini, M.; Andreuccetti, D.; Ignesti, A.; Olmi, R.; Priori, S.; Vanni, R. A protable microwave system for woodworm disinfestation of artistic painted boards. J. Microw. Power Electrom. Energy 1997, 32, 180–187. [Google Scholar]
- Ali, I.; Al-Jabr, A.; Memari, A. FDTD simulation and experimental investigation of controlled microwave irradiation of red palm weevils. In Proceedings of the 2010 IEEE Middle East Conference on Antennas and Propagation, Cairo, Egypt, 20–22 October 2010; pp. 1–8. [Google Scholar]
- Rmili, H.; Alkhalifeh, K.; Zarouan, M.; Zouch, W.; Islam, M.T. Numerical analysis of the microwave treatment of palm trees infested with the red palm weevil pest by using a circular array of vivaldi antennas. IEEE Access 2020, 8, 152342–152350. [Google Scholar] [CrossRef]
- Bait-Suwailam, M.M. Numerical assessment of red palm weevil detection mechanism in palm trees using CSRR microwave sensors. Prog. Electromagn. Res. Lett. 2021, 100, 63–71. [Google Scholar] [CrossRef]
- Pendry, J.B.; Holden, A.J.; Robbins, D.J.; Stewart, W.J. Magnetism from conductors and enhanced nonlinear phenomena. IEEE Trans. Microw. Theory Tech. 1999, 47, 2075–2084. [Google Scholar] [CrossRef]
- Falcone, F.; Illescas, J.; Jarauta, E.; Estevez, A.; Marcotegui, J.A. Analysis of stripline configurations loaded with complementary split ring resonators. Microw. Opt. Technol. Lett. 2013, 55, 1250–1254. [Google Scholar] [CrossRef]
- Falcone, F.; Lopetegi, T.; Baena, J.D.; Marqués, R.; Martín, F.; Sorolla, M. Effective negative-stopband microstrip lines based on complementary split ring resonators. IEEE Microw. Wirel. Components Lett. 2004, 14, 280–282. [Google Scholar] [CrossRef]
- Boybay, M.S.; Ramahi, O.M. Material characterization using complementary split-ring resonators. IEEE Trans. Instrum. Meas. 2012, 61, 3039–3046. [Google Scholar] [CrossRef]
- Zarifi, M.H.; Daneshmand, M. Non-contact liquid sensing using high resolution microwave microstrip resonator. In Proceedings of the 2015 IEEE MTT-S International Microwave Symposium, Phoenix, AZ, USA, 17–22 May 2015; pp. 1–4. [Google Scholar]
- Rivera-Lavado, A.; García-Lampérez, A.; Jara-Galán, M.E.; Gallo-Valverde, E.; Sanz, P.; Segovia-Vargas, D. Low-cost electromagnetic split-ring resonator sensor system for the petroleum industry. Sensors 2022, 22, 3345. [Google Scholar] [CrossRef] [PubMed]
- Eom, S.; Lim, S. Stretchable complementary split ring resonator (CSRR)-based radio frequency (RF) sensor for strain direction and level detection. Sensors 2016, 16, 1667. [Google Scholar] [CrossRef] [PubMed]
- Maslovski, S.I.; Ikonen, P.M.; Kolmakov, I.; Tretyakov, S.; Kaunisto, M. Artificial magnetic materials based on the new magnetic particle: Metasolenoid. Prog. Electromagn. Res. 2005, 54, 61–81. [Google Scholar] [CrossRef]
- Baena, J.D.; Bonache, J.; Martin, F.; Sillero, R.M.; Falcone, F.; Lopetegi, T.; Garcia-Garcia, J.; Gil, I.; Portillo, M.F.; Sorolla, M.; et al. Equivalent-circuit models for split ring resonators and complementary split-ring resonators coupled to planar transmission lines. IEEE Trans. Microw. Theory Tech. 2005, 53, 1451–1461. [Google Scholar] [CrossRef]
- Bait-Suwailam, M.M.; Yousefi, L.; Alavikia, B.; Ramahi, O. Analytical models for predicting the effective permittivity of complementary metamaterial structures. Microw. Opt. Technol. Lett. 2013, 55, 1565–1569. [Google Scholar] [CrossRef]
- Massa, R.; Migliore, M.D.; Panariello, G.; Pinchera, D.; Schettino, F.; Caprio, E.; Griffo, R. Wide band permittivity measurements of palm (Phoenix canariensis) and Rhynchophorus ferrugineus (coleoptera curculionidae) for RF pest control. J. Microw. Power Electromagn. Energy 2014, 48, 158–169. [Google Scholar] [CrossRef]















| RPW Gender Type | Dielectric Constant | Loss Tangent |
|---|---|---|
| Larva | 38 | 12.5 |
| Pupal chamber | 39.5 | 8.5 |
| Adult RPW | 7.5 | 0.125 |
| Sample No. | Male RPW | Female RPW | Larvae |
|---|---|---|---|
| 1 | 3.79 | 7.03 | 0.65 |
| 2 | 4.20 | 7.43 | 1.33 |
| 3 | 8.24 | 7.43 | 1.37 |
| 4 | 11.48 | 14.30 | 3.80 |
| 5 | 13.08 | 19.15 | 4.61 |
| AVG. | 9.46 | 9.78 | 2.35 |
| Surface Type | Male RPW | Female RPW | Larvae |
|---|---|---|---|
| Front | 2.32 | 2.42 | 2.46 |
| Back | 2.26 | 2.41 | 2.44 |
Disclaimer/Publisher’s Note: The statements, opinions and data contained in all publications are solely those of the individual author(s) and contributor(s) and not of MDPI and/or the editor(s). MDPI and/or the editor(s) disclaim responsibility for any injury to people or property resulting from any ideas, methods, instructions or products referred to in the content. |
© 2023 by the author. Licensee MDPI, Basel, Switzerland. This article is an open access article distributed under the terms and conditions of the Creative Commons Attribution (CC BY) license (https://creativecommons.org/licenses/by/4.0/).
Share and Cite
Bait-Suwailam, M.M. Towards Monitoring and Identification of Red Palm Weevil Gender Using Microwave CSRR-Loaded TL Sensors. Sensors 2023, 23, 6798. https://doi.org/10.3390/s23156798
Bait-Suwailam MM. Towards Monitoring and Identification of Red Palm Weevil Gender Using Microwave CSRR-Loaded TL Sensors. Sensors. 2023; 23(15):6798. https://doi.org/10.3390/s23156798
Chicago/Turabian StyleBait-Suwailam, Mohammed M. 2023. "Towards Monitoring and Identification of Red Palm Weevil Gender Using Microwave CSRR-Loaded TL Sensors" Sensors 23, no. 15: 6798. https://doi.org/10.3390/s23156798
APA StyleBait-Suwailam, M. M. (2023). Towards Monitoring and Identification of Red Palm Weevil Gender Using Microwave CSRR-Loaded TL Sensors. Sensors, 23(15), 6798. https://doi.org/10.3390/s23156798

