An Innovative Approach for Removing Stripe Noise in Infrared Images
Abstract
1. Introduction
- (a)
- We experimentally demonstrate and analyze the effectiveness and underlying mechanisms of using LatLRR decomposition to extract the low-rank component containing stripe noise in noisy infrared images while preserving the rich texture information in the salient component. Based on this, MIDILatLRR was proposed to fully extract the effective texture information in infrared images, separating the stripe noise from useful information. This approach only requires denoising the final low-rank part image while maintaining the texture details in salient part images.
- (b)
- A denoising model was proposed based on MSCR to address the difference between the effective smooth and stripe noise parts in the final low-rank part image obtained through MIDILatLRR. The MSCR model takes advantage of the sparsity of stripe noise, the smoothness of effective information present in the final low-rank component, and the sparse difference in gradients in different directions to impose the sparsity constraint and extract the noise component.
- (c)
- In solving MIDILatLRR, an adaptive level decomposition was established based on the richness of the detail features in different input noisy images, making it an adaptive cut-off in the decomposition, and the chosen level of decomposition is convergent. In the MSCR model, the L1 norm was used to constrain the directional gradient sparsity of stripe noise and the edge sparsity of low-rank smooth information, which generates a non-convex optimization model. This model is solved using the ADMM.
2. Preliminaries
2.1. Latent Low-Rank Representation
2.2. Experimental Verification and Analysis
3. Primary Algorithms
3.1. Multi-Level Image Decomposition Method Based on Improved LATLRR
3.2. Establishment of Sparse Regularization Terms for MSCR
3.2.1. Smoothness of Effective Information
3.2.2. The Sparsity and Directionality of Stripe Noise
3.3. Multi-Sparse Constraint Representation Model
3.4. Solution Process
3.4.1. Adaptive Determination of the Decomposition Level for MIDILatLRR
3.4.2. ADMM Optimization for MSCR
- a.
- H problem
- b.
- R problem.
- c.
- M problem.
- d.
- The N problem.
4. Experimental Results
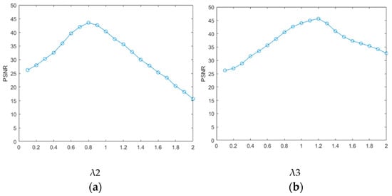
4.1. Parameter Analysis
4.2. Experimental Contents
4.2.1. Ablation Experiments
4.2.2. Comparison Experiments
5. Conclusions
Author Contributions
Funding
Institutional Review Board Statement
Informed Consent Statement
Data Availability Statement
Acknowledgments
Conflicts of Interest
References
- Wu, Z.; Wang, X. Non-uniformity correction for medium wave infrared focal plane array-based compressive imaging. Opt. Express 2020, 28, 8541–8559. [Google Scholar] [CrossRef]
- Yang, P.; Wu, H.; Cheng, L.; Luo, S. Infrared image denoising via adversarial learning with multi-level feature attention network. Infrared Phys. Technol. 2023, 128, 104527. [Google Scholar] [CrossRef]
- Yao, S.; Zhu, Q.; Zhang, T.; Cui, W.; Yan, P. Infrared image small-target detection based on improved FCOS and spatio-temporal features. Electronics 2022, 11, 933. [Google Scholar] [CrossRef]
- Quarmby, N. Noise removal for SPOT HRV imagery. Int. J. Remote Sens. 1987, 8, 1229–1234. [Google Scholar] [CrossRef]
- Chen, J.; Shao, Y.; Guo, H.; Wang, W.; Zhu, B. Destriping CMODIS data by power filtering. IEEE Trans. Geosci. Remote Sens. 2003, 41, 2119–2124. [Google Scholar] [CrossRef]
- Wang, E.; Jiang, P.; Li, X.; Cao, H. Infrared stripe correction algorithm based on wavelet decomposition and total variation-guided filtering. J. Eur. Opt. Soc. Publ. 2020, 16, 1–12. [Google Scholar] [CrossRef]
- Chen, B.; Feng, X.; Wu, R.; Guo, Q.; Wang, X.; Ge, S. Adaptive wavelet filter with edge compensation for remote sensing image denoising. IEEE Access 2019, 7, 91966–91979. [Google Scholar] [CrossRef]
- Wang, E.; Jiang, P.; Hou, X.; Zhu, Y.; Peng, L. Infrared stripe correction algorithm based on wavelet analysis and gradient equalization. Appl. Sci. 2019, 9, 1993. [Google Scholar] [CrossRef]
- Carfantan, H.; Idier, J. Statistical linear destriping of satellite-based pushbroom-type images. IEEE Trans. Geosci. Remote Sens. 2009, 48, 1860–1871. [Google Scholar] [CrossRef]
- Rudin, L.I.; Osher, S.; Fatemi, E. Nonlinear total variation based noise removal algorithms. Phys. D Nonlinear Phenom. 1992, 60, 259–268. [Google Scholar] [CrossRef]
- Farsiu, S.; Robinson, D.; Elad, M.; Milanfar, P. Fast and robust super-resolution. In Proceedings of the 2003 International Conference on Image Processing (Cat. No. 03CH37429), Barcelona, Spain, 14–17 September 2003; p. II–291. [Google Scholar]
- Chen, Y.; Huang, T.-Z.; Zhao, X.-L.; Deng, L.-J.; Huang, J. Stripe noise removal of remote sensing images by total variation regularization and group sparsity constraint. Remote Sens. 2017, 9, 559. [Google Scholar] [CrossRef]
- Li, M.; Nong, S.; Nie, T.; Han, C.; Huang, L.; Qu, L. A novel stripe noise removal model for infrared images. Sensors 2022, 22, 2971. [Google Scholar] [CrossRef]
- Li, M.; Nong, S.; Nie, T.; Han, C.; Huang, L. An infrared stripe noise removal method based on multi-scale wavelet transform and multinomial sparse representation. Comput. Intell. Neurosci. 2022, 2022, 4044071. [Google Scholar] [CrossRef]
- Scribner, D.A.; Sarkady, K.A.; Kruer, M.R.; Caulfield, J.T.; Hunt, J.; Herman, C. Adaptive nonuniformity correction for IR focal-plane arrays using neural networks. In Proceedings of the Infrared Sensors: Detectors, Electronics, and Signal Processing, San Diego, CA, USA, 21–26 July 1991; pp. 100–109. [Google Scholar]
- Vera, E.; Torres, S. Fast adaptive nonuniformity correction for infrared focal-plane array detectors. EURASIP J. Adv. Signal Process. 2005, 2005, 560759. [Google Scholar] [CrossRef]
- Rossi, A.; Diani, M.; Corsini, G. Bilateral filter-based adaptive nonuniformity correction for infrared focal-plane array systems. Opt. Eng. 2010, 49, 057003–057013. [Google Scholar] [CrossRef]
- Xu, K.; Zhao, Y.; Li, F.; Xiang, W. Single infrared image stripe removal via deep multi-scale dense connection convolutional neural network. Infrared Phys. Technol. 2022, 121, 104008. [Google Scholar] [CrossRef]
- Zhang, T.; Zhang, X. A novel algorithm for infrared image contrast enhancement based on neutrosophic sets. Quant. Infrared Thermogr. J. 2021, 18, 344–356. [Google Scholar] [CrossRef]
- Liu, G.; Yan, S. Latent low-rank representation for subspace segmentation and feature extraction. In Proceedings of the 2011 International Conference on Computer Vision, Barcelona, Spain, 6–13 November 2011; pp. 1615–1622. [Google Scholar]
- Pan, L.; Li, H.-C.; Sun, Y.-J.; Du, Q. Hyperspectral image reconstruction by latent low-rank representation for classification. IEEE Geosci. Remote Sens. Lett. 2018, 15, 1422–1426. [Google Scholar] [CrossRef]
- Liu, X.; Wang, L. Infrared polarization and intensity image fusion method based on multi-decomposition LatLRR. Infrared Phys. Technol. 2022, 123, 104129. [Google Scholar] [CrossRef]
- Li, Y.; Liu, G.; Bavirisetti, D.P.; Gu, X.; Zhou, X. Infrared-visible image fusion method based on sparse and prior joint saliency detection and LatLRR-FPDE. Digit. Signal Process. 2023, 134, 103910. [Google Scholar] [CrossRef]
- Xie, W.-S.; Yang, Y.-F.; Zhou, B. An ADMM algorithm for second-order TV-based MR image reconstruction. Numer. Algorithms 2014, 67, 827–843. [Google Scholar] [CrossRef]
- Xu, J.; Wang, N.; Xu, Z.; Xu, K. Weighted Norm Sparse Error Constraint Based ADMM for Image Denoising. Math. Probl. Eng. 2019, 2019, 1262171. [Google Scholar] [CrossRef]
- Liu, G.; Lin, Z.; Yu, Y. Robust subspace segmentation by low-rank representation. In Proceedings of the 27th International Conference on Machine Learning (ICML-10), Haifa, Israel, 21–24 June 2010; pp. 663–670. [Google Scholar]
- Wang, Y.; Morariu, V.I.; Davis, L.S. Unsupervised feature extraction inspired by latent low-rank representation. In Proceedings of the 2015 IEEE Winter Conference on Applications of Computer Vision, Waikoloa, HI, USA, 5–9 January 2015; pp. 542–549. [Google Scholar]
- Li, H.; Wu, X.-J.; Kittler, J. MDLatLRR: A novel decomposition method for infrared and visible image fusion. IEEE Trans. Image Process. 2020, 29, 4733–4746. [Google Scholar] [CrossRef]
- Zhang, H.; Lin, Z.; Zhang, C. A counterexample for the validity of using nuclear norm as a convex surrogate of rank. In Proceedings of the Machine Learning and Knowledge Discovery in Databases: European Conference, ECML PKDD 2013, Prague, Czech Republic, 23–27 September 2013; pp. 226–241. [Google Scholar]
- Lyu, H.; Sha, N.; Qin, S.; Yan, M.; Xie, Y.; Wang, R. Advances in Neural Information Processing Systems; The MIT Press: Cambridge, MA, USA, 2019; Volume 32. [Google Scholar]
- Van Vliet, L.J.; Young, I.T.; Beckers, G.L. A nonlinear Laplace operator as edge detector in noisy images. Comput. Vis. Graph. Image Process. 1989, 45, 167–195. [Google Scholar] [CrossRef]
- Wright, S.J.; Nowak, R.D.; Figueiredo, M.A. Sparse reconstruction by separable approximation. IEEE Trans. Signal Process. 2009, 57, 2479–2493. [Google Scholar] [CrossRef]
- Boyd, S.; Parikh, N.; Chu, E.; Peleato, B.; Eckstein, J. Distributed optimization and statistical learning via the alternating direction method of multipliers. Found. Trends Mach. Learn. 2011, 3, 1–122. [Google Scholar] [CrossRef]
- Bhatele, K.R.; Bhadauria, S.S. Glioma Segmentation and Classification System Based on Proposed Texture Features Extraction Method and Hybrid Ensemble Learning. Trait. Signal 2020, 37, 989–1001. [Google Scholar] [CrossRef]
- Cao, Y.; Yang, M.Y.; Tisse, C.-L. Effective strip noise removal for low-textured infrared images based on 1-D guided filtering. IEEE Trans. Circuits Syst. Video Technol. 2015, 26, 2176–2188. [Google Scholar] [CrossRef]
- Li, Y.; Liu, N.; Xu, J. Infrared scene-based non-uniformity correction based on deep learning model. Optik 2021, 227, 165899. [Google Scholar] [CrossRef]
- Wang, J.-L.; Huang, T.-Z.; Ma, T.-H.; Zhao, X.-L.; Chen, Y. A sheared low-rank model for oblique stripe removal. Appl. Math. Comput. 2019, 360, 167–180. [Google Scholar] [CrossRef]
- Shen, H.; Zhang, L.J.I.T.o.G.; Sensing, R. A MAP-based algorithm for destriping and inpainting of remotely sensed images. IEEE Trans. Geosci. Remote Sens. 2008, 47, 1492–1502. [Google Scholar] [CrossRef]
- Zeng, Q.; Qin, H.; Yan, X.; Yang, T. Fourier domain anomaly detection and spectral fusion for stripe noise removal of TIR imagery. Remote Sens. 2020, 12, 3714. [Google Scholar] [CrossRef]
- Li, Q.; Zhong, R.; Wang, Y. A method for the destriping of an orbita hyperspectral image with adaptive moment matching and unidirectional total variation. Remote Sens. 2019, 11, 2098. [Google Scholar] [CrossRef]
- Chen, Y.; Huang, T.-Z.; Deng, L.-J.; Zhao, X.-L.; Wang, M. Group sparsity based regularization model for remote sensing image stripe noise removal. Neurocomputing 2017, 267, 95–106. [Google Scholar] [CrossRef]
- Guan, J.; Lai, R.; Xiong, A. Learning spatiotemporal features for single image stripe noise removal. IEEE Access 2019, 7, 144489–144499. [Google Scholar] [CrossRef]





















| Image | Indices | MSGF | WAGE | FLCN | 1D-GF | Non-MIDILATLRR | Proposed Method |
|---|---|---|---|---|---|---|---|
| Person | NR | 2.03 | 2.49 | 3.72 | 4.05 | 4.02 | 4.08 |
| MRD (%) | 2.92 | 3.68 | 3.95 | 4.12 | 4.12 | 3.09 | |
| ID | 0.999 | 0.995 | 0.978 | 0.972 | 0.984 | 0.988 | |
| Building | NR | 2.43 | 2.75 | 3.67 | 3.86 | 3.89 | 3.98 |
| MRD (%) | 3.94 | 4.33 | 4.87 | 4.30 | 4.28 | 4.13 | |
| ID | 0.999 | 0.992 | 0.978 | 0.979 | 0.983 | 0.986 | |
| Car | NR | 3.29 | 3.35 | 3.42 | 3.49 | 3.47 | 3.52 |
| MRD (%) | 2.76 | 2.57 | 3.40 | 2.81 | 2.86 | 2.47 | |
| ID | 0.999 | 0.992 | 0.976 | 0.986 | 0.985 | 0.991 | |
| Complex scene image | NR | 3.08 | 3.16 | 3.43 | 3.39 | 3.38 | 3.43 |
| MRD (%) | 3.18 | 2.75 | 4.12 | 2.62 | 2.59 | 2.28 | |
| ID | 0.999 | 0.992 | 0.981 | 0.991 | 0.989 | 0.994 |
Disclaimer/Publisher’s Note: The statements, opinions and data contained in all publications are solely those of the individual author(s) and contributor(s) and not of MDPI and/or the editor(s). MDPI and/or the editor(s) disclaim responsibility for any injury to people or property resulting from any ideas, methods, instructions or products referred to in the content. |
© 2023 by the authors. Licensee MDPI, Basel, Switzerland. This article is an open access article distributed under the terms and conditions of the Creative Commons Attribution (CC BY) license (https://creativecommons.org/licenses/by/4.0/).
Share and Cite
Zhao, X.; Li, M.; Nie, T.; Han, C.; Huang, L. An Innovative Approach for Removing Stripe Noise in Infrared Images. Sensors 2023, 23, 6786. https://doi.org/10.3390/s23156786
Zhao X, Li M, Nie T, Han C, Huang L. An Innovative Approach for Removing Stripe Noise in Infrared Images. Sensors. 2023; 23(15):6786. https://doi.org/10.3390/s23156786
Chicago/Turabian StyleZhao, Xiaohang, Mingxuan Li, Ting Nie, Chengshan Han, and Liang Huang. 2023. "An Innovative Approach for Removing Stripe Noise in Infrared Images" Sensors 23, no. 15: 6786. https://doi.org/10.3390/s23156786
APA StyleZhao, X., Li, M., Nie, T., Han, C., & Huang, L. (2023). An Innovative Approach for Removing Stripe Noise in Infrared Images. Sensors, 23(15), 6786. https://doi.org/10.3390/s23156786
