Structure, Luminescence and Temperature Detection Capability of [C(NH2)3]M(HCOO)3 (M = Mg2+, Mn2+, Zn2+) Hybrid Organic–Inorganic Formate Perovskites Containing Cr3+ Ions
Abstract
:1. Introduction
2. Materials and Methods
3. Results and Discussion
3.1. Structural Properties
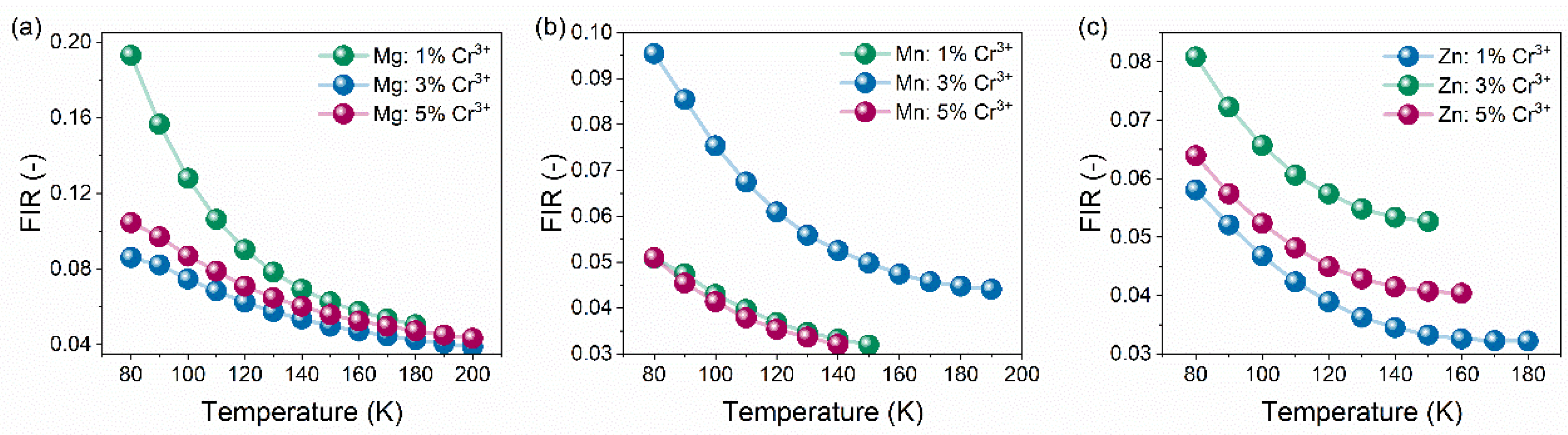
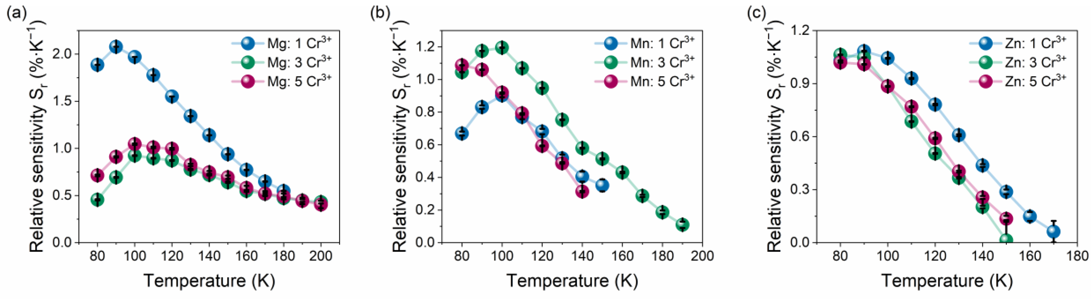
3.2. Optical Properties and Temperature Detection
4. Conclusions
Supplementary Materials
Author Contributions
Funding
Data Availability Statement
Acknowledgments
Conflicts of Interest
References
- Ptak, M.; Sieradzki, A.; Šimėnas, M.; Maczka, M. Molecular Spectroscopy of Hybrid Organic–Inorganic Perovskites and Related Compounds. Coord. Chem. Rev. 2021, 448, 214180. [Google Scholar] [CrossRef]
- Ptak, M.; Zarychta, B.; Stefańska, D.; Ciupa, A.; Paraguassu, W. Novel Bimetallic MOF Phosphors with an Imidazolium Cation: Structure, Phonons, High- Pressure Phase Transitions and Optical Response. Dalt. Trans. 2019, 48, 242–252. [Google Scholar] [CrossRef] [PubMed]
- Drozdowski, D.; Fedoruk, K.; Kabański, A.; Maczka, M.; Sieradzki, A.; Gągor, A. Broadband Yellow and White Emission from Large Octahedral Tilting in (110)-Oriented Layered Perovskites: Imidazolium-Methylhydrazinium Lead Halides. J. Mater. Chem. C 2023, 11, 4907–4915. [Google Scholar] [CrossRef]
- Prochowicz, D.; Franckevičius, M.; Cieślak, A.M.; Zakeeruddin, S.M.; Grätzel, M.; Lewiński, J. Mechanosynthesis of the Hybrid Perovskite CH3NH3PbI3: Characterization and the Corresponding Solar Cell Efficiency. J. Mater. Chem. A 2015, 3, 20772–20777. [Google Scholar] [CrossRef]
- Marimuthu, T.; Yuvakkumar, R.; Kumar, P.S.; Vo, D.V.N.; Xu, X.; Xu, G. Two-Dimensional Hybrid Perovskite Solar Cells: A Review. Environ. Chem. Lett. 2022, 20, 189–210. [Google Scholar] [CrossRef]
- Kim, J.Y.; Lee, J.W.; Jung, H.S.; Shin, H.; Park, N.G. High-Efficiency Perovskite Solar Cells. Chem. Rev. 2020, 120, 7867–7918. [Google Scholar] [CrossRef] [PubMed]
- Ptak, M.; Maczka, M.; Gagor, A.; Sieradzki, A.; Bondzior, B.; Dereń, P.; Pawlus, S. Phase Transitions and Chromium(III) Luminescence in Perovskite-Type [C2H5NH3][Na0.5CrxAl0.5- x(HCOO)3] (x = 0, 0.025, 0.5), Correlated with Structural, Dielectric and Phonon Properties. Phys. Chem. Chem. Phys. 2016, 18, 29629–29640. [Google Scholar] [CrossRef]
- Huang, C.R.; Luo, X.; Chen, X.G.; Song, X.J.; Zhang, Z.X.; Xiong, R.G. A Multiaxial Lead-Free Two-Dimensional Organic-Inorganic Perovskite Ferroelectric. Natl. Sci. Rev. 2021, 8, nwaa232. [Google Scholar] [CrossRef]
- Wang, Z.C.; Rogers, J.D.; Yao, X.; Nichols, R.; Atay, K.; Xu, B.; Franklin, J.; Sochnikov, I.; Ryan, P.J.; Haskel, D.; et al. Colossal Magnetoresistance without Mixed Valence in a Layered Phosphide Crystal. Adv. Mater. 2021, 33, 2005755. [Google Scholar] [CrossRef]
- Kabański, A.; Ptak, M.; Stefańska, D. Metal-Organic Framework Optical Thermometer Based on Cr3+ Ion Luminescence. ACS Appl. Mater. Interfaces 2023, 15, 7074–7082. [Google Scholar] [CrossRef]
- Stefańska, D.; Bondzior, B.; Vu, T.H.Q.; Grodzicki, M.; Dereń, P.J. Temperature Sensitivity Modulation through Changing the Vanadium Concentration in a La2MgTiO6:V5+,Cr3+ double Perovskite Optical Thermometer. Dalt. Trans. 2021, 50, 9851–9857. [Google Scholar] [CrossRef]
- Wu, Y.; Fan, W.; Gao, Z.; Tang, Z.; Lei, L.; Sun, X.; Li, Y.; Cai, H.L.; Wu, X. New Photoluminescence Hybrid Perovskites with Ultrahigh Photoluminescence Quantum Yield and Ultrahigh Thermostability Temperature up to 600 K. Nano Energy 2020, 77, 105170. [Google Scholar] [CrossRef]
- Stefańska, D.; Vu, T.H.Q.; Dereń, P.J. Multiple Ways for Temperature Detection Based on La2MgTiO6 Double Perovskite Co-Doped with Mn4+ and Cr3+ Ions. J. Alloys Compd. 2023, 938, 22–26. [Google Scholar] [CrossRef]
- Ptak, M.; Dziuk, B.; Stefańska, D.; Hermanowicz, K. The Structural, Phonon and Optical Properties of [CH3NH3]M0.5Cr:XAl0.5-x(HCOO)3 (M = Na, K.; X = 0, 0.025, 0.5) Metal-Organic Framework Perovskites for Luminescence Thermometry. Phys. Chem. Chem. Phys. 2019, 21, 7965–7972. [Google Scholar] [CrossRef]
- Mączka, M.; Bondzior, B.; Dereń, P.; Sieradzki, A.; Trzmiel, J.; Pietraszko, A.; Hanuza, J. Synthesis and Characterization of [(CH3)2NH2][Na0.5Cr0.5(HCOO)3]: A Rare Example of Luminescent Metal-Organic Frameworks Based on Cr(III) Ions. Dalt. Trans. 2015, 44, 6871–6879. [Google Scholar] [CrossRef] [PubMed]
- Dereń, P.J.; Malinowski, M.; Strȩk, W. Site Selection Spectroscopy of Cr3+ in MgAl2O4 Green Spinel. J. Lumin. 1996, 68, 91–103. [Google Scholar] [CrossRef]
- Lin, H.; Bai, G.; Yu, T.; Tsang, M.K.; Zhang, Q.; Hao, J. Site Occupancy and Near-Infrared Luminescence in Ca3Ga2Ge3O12: Cr3+ Persistent Phosphor. Adv. Opt. Mater. 2017, 5, 1700227. [Google Scholar] [CrossRef]
- Bolek, P.; Zeler, J.; Carlos, L.D.; Zych, E. Mixing Phosphors to Improve the Temperature Measuring Quality. Opt. Mater. 2021, 122, 111719. [Google Scholar] [CrossRef]
- Yin, H.Q.; Yin, X.B. Metal-Organic Frameworks with Multiple Luminescence Emissions: Designs and Applications. Acc. Chem. Res. 2020, 53, 485–495. [Google Scholar] [CrossRef]
- Maturi, F.E.; Brites, C.D.S.; Ximendes, E.C.; Mills, C.; Olsen, B.; Jaque, D.; Ribeiro, S.J.L.; Carlos, L.D. Going Above and Beyond: A Tenfold Gain in the Performance of Luminescence Thermometers Joining Multiparametric Sensing and Multiple Regression. Laser Photonics Rev. 2021, 15, 2100301. [Google Scholar] [CrossRef]
- Sójka, M.; Brites, C.D.S.; Carlos, L.D.; Zych, E. Exploiting Bandgap Engineering to Finely Control Dual-Mode Lu2(Ge,Si)O5:Pr3+ luminescence Thermometers. J. Mater. Chem. C 2020, 8, 10086–10097. [Google Scholar] [CrossRef]
- Sójka, M.; Runowski, M.; Zheng, T.; Shyichuk, A.; Kulesza, D.; Zych, E.; Lis, S. Eu2+ emission from Thermally Coupled Levels—New Frontiers for Ultrasensitive Luminescence Thermometry. J. Mater. Chem. C 2022, 10, 1220–1227. [Google Scholar] [CrossRef]
- del Rosal, B.; Ximendes, E.; Rocha, U.; Jaque, D. In Vivo Luminescence Nanothermometry: From Materials to Applications. Adv. Opt. Mater. 2017, 5, 1600508. [Google Scholar] [CrossRef]
- Marciniak, L.; Bednarkiewicz, A. Nanocrystalline NIR-to-NIR Luminescent Thermometer Based on Cr3+,Yb3+ Emission. Sens. Actuators B Chem. 2017, 243, 388–393. [Google Scholar] [CrossRef]
- Brites, C.D.S.; Millán, A.; Carlos, L.D. Lanthanides in Luminescent Thermometry. Handb. Phys. Chem. Rare Earths 2016, 49, 339–427. [Google Scholar] [CrossRef]
- Łukaszewicz, M.; Tomala, R.; Lisiecki, R. From Upconversion to Thermal Radiation: Spectroscopic Properties of a Submicron Y2O3:Er3+,Yb3+ Ceramic under IR Excitation in an Extremely Broad Temperature Range. J. Mater. Chem. C 2020, 8, 1072–1082. [Google Scholar] [CrossRef]
- Gavrilović, T.V.; Jovanović, D.J.; Lojpur, V.; Dramićanin, M.D. Multifunctional Eu3+- and Er3+/Yb3+-Doped GdVO4 Nanoparticles Synthesized by Reverse Micelle Method. Sci. Rep. 2014, 4, 4209. [Google Scholar] [CrossRef] [Green Version]
- Łukaszewicz, M.; Klimesz, B.; Szmalenberg, A.; Ptak, M.; Lisiecki, R. Neodymium-Doped Germanotellurite Glasses for Laser Materials and Temperature Sensing. J. Alloys Compd. 2021, 860, 157923. [Google Scholar] [CrossRef]
- Piotrowski, W.; Kniec, K.; Marciniak, L. Enhancement of the Ln3+ Ratiometric Nanothermometers by Sensitization with Transition Metal Ions. J. Alloys Compd. 2021, 870, 159386. [Google Scholar] [CrossRef]
- Marciniak, L.; Kniec, K.; Elżbieciak-Piecka, K.; Trejgis, K.; Stefanska, J.; Dramićanin, M. Luminescence Thermometry with Transition Metal Ions. A Review. Coord. Chem. Rev. 2022, 469, 214671. [Google Scholar] [CrossRef]
- Hu, K.L.; Kurmoo, M.; Wang, Z.; Gao, S. Metal-Organic Perovskites: Synthesis, Structures, and Magnetic Properties of [C(NH2)3][MII(HCOO)3] (M = Mn, Fe, Co, Ni, Cu, and Zn; C(NH2)3=guanidinium). Chem.—A Eur. J. 2009, 15, 12050–12064. [Google Scholar] [CrossRef] [PubMed]
- Shannon, R.D. Revised Effective Ionic Radii and Systematic Studies of Interatomic Distances in Halides and Chalcogenides. Acta Crystallogr. Sect. A 1976, 32, 751–767. [Google Scholar] [CrossRef]
- Gui, D.; Ji, L.; Muhammad, A.; Li, W.; Cai, W.; Li, Y.; Li, X.; Wu, X.; Lu, P. Jahn-Teller Effect on Framework Flexibility of Hybrid Organic-Inorganic Perovskites. J. Phys. Chem. Lett. 2018, 9, 751–755. [Google Scholar] [CrossRef]
- Collings, I.E.; Hill, J.A.; Cairns, A.B.; Cooper, R.I.; Thompson, A.L.; Parker, J.E.; Tang, C.C.; Goodwin, A.L. Compositional Dependence of Anomalous Thermal Expansion in Perovskite-like ABX3 Formates. Dalt. Trans. 2016, 45, 4169–4178. [Google Scholar] [CrossRef] [Green Version]
- Rossin, A.; Chierotti, M.R.; Giambastiani, G.; Gobetto, R.; Peruzzini, M. Amine-Templated Polymeric Mg Formates: Crystalline Scaffolds Exhibiting Extensive Hydrogen Bonding. CrystEngComm 2012, 14, 4454–4460. [Google Scholar] [CrossRef]
- Mączka, M.; Ptak, M.; Macalik, L. Infrared and Raman Studies of Phase Transitions in Metal-Organic Frameworks of [(CH3)2NH2][M(HCOO)3] with M=Zn, Fe. Vib. Spectrosc. 2014, 71, 98–104. [Google Scholar] [CrossRef]
- Ptak, M.; Gągor, A.; Sieradzki, A.; Bondzior, B.; Dereń, P.; Ciupa, A.; Trzebiatowska, M.; Mączka, M. The Effect of K+ Cations on the Phase Transitions, and Structural, Dielectric and Luminescence Properties of [Cat][K0.5Cr0.5(HCOO)3], Where Cat Is Protonated Dimethylamine or Ethylamine. Phys. Chem. Chem. Phys. 2017, 19, 12156–12166. [Google Scholar] [CrossRef] [Green Version]
- Ptak, M.; Stefańska, D.; Gagor, A.; Svane, K.L.; Walsh, A.; Paraguassu, W. Heterometallic Perovskite-Type Metal-Organic Framework with an Ammonium Cation: Structure, Phonons, and Optical Response of [NH4]Na0.5Cr:XAl0.5−x(HCOO)3 (x = 0, 0.025 and 0.5). Phys. Chem. Chem. Phys. 2018, 20, 22284–22295. [Google Scholar] [CrossRef] [Green Version]
- Mikenda, W.; Preisinger, A. N-Lines in the Luminescence Spectra of Cr3+ -Doped Spinels (II) Origins of N-Lines. J. Lumin. 1981, 26, 67–83. [Google Scholar] [CrossRef]
- Li, L.; Zhu, Y.; Zhou, X.; Brites, C.D.S.; Ananias, D.; Lin, Z.; Paz, F.A.A.; Rocha, J.; Huang, W.; Carlos, L.D. Visible-Light Excited Luminescent Thermometer Based on Single Lanthanide Organic Frameworks. Adv. Funct. Mater. 2016, 26, 8677–8684. [Google Scholar] [CrossRef]
- Liu, W.; Liu, L.; Wang, Y.; Chen, L.; McLeod, J.A.; Yang, L.; Zhao, J.; Liu, Z.; Diwu, J.; Chai, Z.; et al. Tuning Mixed-Valent Eu2+/Eu3+in Strontium Formate Frameworks for Multichannel Photoluminescence. Chemistry 2016, 22, 11170–11175. [Google Scholar] [CrossRef] [PubMed]
- Paquin, F.; Rivnay, J.; Salleo, A.; Stingelin, N.; Silva, C. Multi-Phase Semicrystalline Microstructures Drive Exciton Dissociation in Neat Plastic Semiconductors. J. Mater. Chem. C 2015, 3, 10715–10722. [Google Scholar] [CrossRef] [Green Version]
- Kaczmarek, A.M.; Liu, Y.Y.; Wang, C.; Laforce, B.; Vincze, L.; Van Der Voort, P.; Van Deun, R. Grafting of a Eu3+-Tfac Complex on to a Tb3+-Metal Organic Framework for Use as a Ratiometric Thermometer. Dalt. Trans. 2017, 46, 12717–12723. [Google Scholar] [CrossRef] [PubMed]
- Cui, Y.; Song, R.; Yu, J.; Liu, M.; Wang, Z.; Wu, C.; Yang, Y.; Wang, Z.; Chen, B.; Qian, G. Dual-Emitting MOF⊃dye Composite for Ratiometric Temperature Sensing. Adv. Mater. 2015, 27, 1420–1425. [Google Scholar] [CrossRef] [PubMed]
- Back, M.; Trave, E.; Ueda, J.; Tanabe, S. Ratiometric Optical Thermometer Based on Dual Near-Infrared Emission in Cr3+-Doped Bismuth-Based Gallate Host. Chem. Mater. 2016, 28, 8347–8356. [Google Scholar] [CrossRef]
- Back, M.; Ueda, J.; Xu, J.; Asami, K.; Brik, M.G.; Tanabe, S. Effective Ratiometric Luminescent Thermal Sensor by Cr3+-Doped Mullite Bi2Al4O9 with Robust and Reliable Performances. Adv. Opt. Mater. 2020, 8, 2000124. [Google Scholar] [CrossRef]
- Wang, Q.; Liang, Z.; Luo, J.; Yang, Y.; Mu, Z.; Zhang, X.; Dong, H.; Wu, F. Ratiometric Optical Thermometer with High Sensitivity Based on Dual Far-Red Emission of Cr3+ in Sr2MgAl22O36. Ceram. Int. 2020, 46, 5008–5014. [Google Scholar] [CrossRef]
- Ueda, J.; Back, M.; Brik, M.G.; Zhuang, Y.; Grinberg, M.; Tanabe, S. Ratiometric Optical Thermometry Using Deep Red Luminescence from 4T2 and 2E States of Cr3+ in ZnGa2O4 Host. Opt. Mater. 2018, 85, 510–516. [Google Scholar] [CrossRef]
- Yang, S.H.; Lee, Y.C.; Hung, Y.C. Thermometry of Red Nanoflaked SrAl12O19:Mn4+ Synthesized with Boric Acid Flux. Ceram. Int. 2018, 44, 11665–11673. [Google Scholar] [CrossRef]
- Trejgis, K.; Maciejewska, K.; Bednarkiewicz, A.; Marciniak, L. Near-Infrared-to-Near-Infrared Excited-State Absorption in LaPO4:Nd3+Nanoparticles for Luminescent Nanothermometry. ACS Appl. Nano Mater. 2020, 3, 4818–4825. [Google Scholar] [CrossRef]
- Glais, E.; Dordević, V.; Papan, J.; Viana, B.; Dramićanin, M.D. MgTiO3:Mn4+ a Multi-Reading Temperature Nanoprobe. RSC Adv. 2018, 8, 18341–18346. [Google Scholar] [CrossRef] [PubMed]
- Reshchikov, M.A. Mechanisms of Thermal Quenching of Defect-Related Luminescence in Semiconductors. Phys. Status Solidi A 2020, 218, 2000101. [Google Scholar] [CrossRef]
- Shionoya, S. Photoluminescence. In Luminescence of Solids; Springer: Boston, MA, USA, 2021. [Google Scholar] [CrossRef]









| Parameters | GAMn: | GAMg: | GAZn: | ||||||
|---|---|---|---|---|---|---|---|---|---|
| 1%Cr3+ | 3%Cr3+ | 5%Cr3+ | 1%Cr3+ | 3%Cr3+ | 5%Cr3+ | 1%Cr3+ | 3%Cr3+ | 5%Cr3+ | |
| 4A2g–2E (cm−1) | 14,535 | 14,536 | 14,537 | 14,552 | 14,552 | 14,547 | 14,540 | 14,539 | 14,540 |
| 4A2g–4T2g (cm−1) | 15,545 | 15,959 | 15,735 | 15,828 | 15,917 | 16,259 | 15,640 | 15,544 | 15,500 |
| 4A2g–4T1g (cm−1) | 21,972 | 22,156 | 22,439 | 22,703 | 22,682 | 22,952 | 22,062 | 21,901 | 21,869 |
| Dq (cm−1) | 1555 | 1555 | 1574 | 1583 | 1592 | 1626 | 1564 | 1554 | 1550 |
| B (cm−1) | 650 | 675 | 686 | 709 | 692 | 676 | 648 | 641 | 643 |
| Dq/B | 2.39 | 2.30 | 2.29 | 2.23 | 2.30 | 2.41 | 2.41 | 2.43 | 2.41 |
| C (cm−1) | 3242 | 3190 | 3166 | 3122 | 3157 | 3184 | 3247 | 3264 | 3259 |
| C/B | 4.13 | 4.25 | 4.62 | 4.40 | 4.57 | 4.71 | 5.01 | 5.09 | 5.07 |
| Compound | Sr (%K−1) | T (K) | Reference |
| [GA]Mg(HCOO)3: 1% Cr3+ | 2.08 | 90 | This work |
| [GA]Zn(HCOO)3: 1% Cr3+ | 1.08 | 90 | This work |
| [GA]Mn(HCOO)3: 3% Cr3+ | 1.20 | 100 | This work |
| [EA]2NaCr0.21Al0.79(HCOO)6 | 2.84 | 160 | [10] |
| (Me2NH2)3[Eu3(FDC)4(NO3)4]·4H2O | 2.7 | 170 | [40] |
| Sr(HCOO)2:Eu2+/Eu3+ | 3.8 | 293 | [41] |
| Ln-cpda (Ln = Eu, Tb) | 16 | 300 | [42] |
| TbMOF@3%Eu-tfac | 2.59 | 225 | [43] |
| [Eu2(qptca)(NO3)2(DMF)4](CH3CH2OH)3perylene | 1.28 | 293 | [44] |
| Bi2Ga4O9:Cr3+ | 0.7 | 290 | [45] |
| Bi2Al4O9:Cr3+ | 1.24 | 290 | [46] |
| Sr2MgAl22O36:Cr3+ | 1.7 | 310 | [47] |
| ZnGa2O4:Cr3+ | 2.8 | 310 | [48] |
| SrAl12O19:Mn4+ | 0.27 | 393 | [49] |
| LaPO4:Nd3+ | 7.19 | 303 | [50] |
| MgTiO3:Mn4+ | 1.2 | 93 | [51] |
| La2MgTiO6: Cr3+, V4+ | 1.96 | 165 | [11] |
Disclaimer/Publisher’s Note: The statements, opinions and data contained in all publications are solely those of the individual author(s) and contributor(s) and not of MDPI and/or the editor(s). MDPI and/or the editor(s) disclaim responsibility for any injury to people or property resulting from any ideas, methods, instructions or products referred to in the content. |
© 2023 by the authors. Licensee MDPI, Basel, Switzerland. This article is an open access article distributed under the terms and conditions of the Creative Commons Attribution (CC BY) license (https://creativecommons.org/licenses/by/4.0/).
Share and Cite
Stefańska, D.; Kabański, A.; Vu, T.H.Q.; Adaszyński, M.; Ptak, M. Structure, Luminescence and Temperature Detection Capability of [C(NH2)3]M(HCOO)3 (M = Mg2+, Mn2+, Zn2+) Hybrid Organic–Inorganic Formate Perovskites Containing Cr3+ Ions. Sensors 2023, 23, 6259. https://doi.org/10.3390/s23146259
Stefańska D, Kabański A, Vu THQ, Adaszyński M, Ptak M. Structure, Luminescence and Temperature Detection Capability of [C(NH2)3]M(HCOO)3 (M = Mg2+, Mn2+, Zn2+) Hybrid Organic–Inorganic Formate Perovskites Containing Cr3+ Ions. Sensors. 2023; 23(14):6259. https://doi.org/10.3390/s23146259
Chicago/Turabian StyleStefańska, Dagmara, Adam Kabański, Thi Hong Quan Vu, Marek Adaszyński, and Maciej Ptak. 2023. "Structure, Luminescence and Temperature Detection Capability of [C(NH2)3]M(HCOO)3 (M = Mg2+, Mn2+, Zn2+) Hybrid Organic–Inorganic Formate Perovskites Containing Cr3+ Ions" Sensors 23, no. 14: 6259. https://doi.org/10.3390/s23146259
APA StyleStefańska, D., Kabański, A., Vu, T. H. Q., Adaszyński, M., & Ptak, M. (2023). Structure, Luminescence and Temperature Detection Capability of [C(NH2)3]M(HCOO)3 (M = Mg2+, Mn2+, Zn2+) Hybrid Organic–Inorganic Formate Perovskites Containing Cr3+ Ions. Sensors, 23(14), 6259. https://doi.org/10.3390/s23146259

