Soft-Computing-Based Estimation of a Static Load for an Overhead Crane
Abstract
1. Introduction
- Develop a novel genetic programming variant called G3PSR that can be used for symbolic regression problems that can be expressed as a linear in the parameters model.
- Apply genetic programming variants, namely G3PSR and MGGP, to identify a mathematical relationship between the payload mass and the trolley position and girder strain.
- Compare the genetic programming models for mass estimation with a method proposed in the literature [39].
2. Methodology
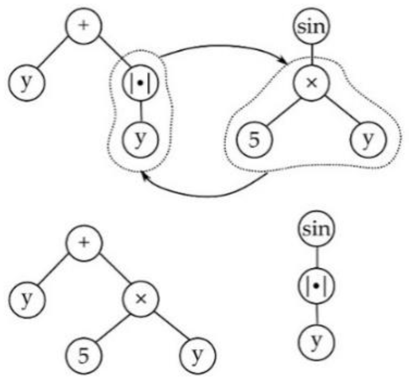
2.1. Multi-Gene Genetic Programming
2.2. Grammar-Guided Genetic Programming with Sparse Regression
| Algorithm 1: mAPG. |
| Input: Initialize: while not converged do Initialize step size and using Barzilai-Borwein method while do end while while do end while end while Output: |
2.3. TS Fuzzy Model
3. Results of Identification Experiments
4. Conclusions
Author Contributions
Funding
Institutional Review Board Statement
Informed Consent Statement
Data Availability Statement
Conflicts of Interest
Appendix A. Symbols and Definitions
| Variable | Definition |
|---|---|
| Squash factor, cluster center, distance between cluster centers | |
| Suspended payload mass | |
| Rule consequent parameters | |
| Cluster radius | |
| Weights of i-th rule | |
| Trolley position | |
| Set of all nonterminal symbols | |
| Set of production rules (also potential of chosen datapoint as cluster center and probability of selection) | |
| Start symbol | |
| Strain | |
| Accept ratio, reject ratio | |
| Step size | |
| Model term coefficients | |
| Normalized coefficients | |
| Sparsification parameter | |
| Regressor matrix | |
| Set of all terminal symbols |
| Abbreviation | Definition |
|---|---|
| GP | Genetic programming |
| G3PSR | Grammar guided genetic programming with sparse regression |
| mAPG | Monotone accelerated proximal gradient descent |
| MGGP | Multi-gene genetic programming |
| PTC2 | Probability tree creation 2 |
| TSF | Takagi–Sugeno fuzzy |
References
- Neitzel, R.L.; Seixas, N.S.; Ren, K.K. A review of crane safety in the construction industry. Appl. Occup. Environ. Hyg. 2001, 16, 1106–1117. [Google Scholar] [CrossRef] [PubMed]
- Fang, Y.; Cho, Y.K.; Chen, J. A framework for real-time pro-active safety assistance for mobile crane lifting operations. Autom. Constr. 2016, 72, 367–379. [Google Scholar] [CrossRef]
- Świder, J.; Szewerda, K.; Herbuś, K.; Jura, J. Testing the impact of braking algorithm parameters on acceleration and braking distance for a suspended monorail with regard to acceptable travel speed in hard coal mines. Energies 2021, 14, 7275. [Google Scholar] [CrossRef]
- Świder, J.; Szewerda, K.; Tokarczyk, J.; Plewa, F.; Grodzicka, A.; Kędzia, K. An overview of possibilities of increasing the permissible speed of underground suspended monorails for transporting people in the conditions of polish underground mining. Energies 2023, 16, 3703. [Google Scholar] [CrossRef]
- Kalairassan, G.; Boopathi, M.; Mohan, R.M. Analysis of load monitoring system in hydraulic mobile cranes. IOP Conf. Ser. Mater. Sci. Eng. 2017, 263, 062045. [Google Scholar] [CrossRef]
- Ramli, L.; Mohamed, Z.; Abdullahi, A.M.; Jaafar, H.I.; Lazim, I.M. Control strategies for crane systems: A comprehensive review. Mech. Syst. Signal Process. 2017, 95, 1–23. [Google Scholar] [CrossRef]
- Hamdy, M.; Shalaby, R.; Sallam, M. A hybrid partial feedback linearization and deadbeat control scheme for a nonlinear gantry crane. J. Frankl. Inst. 2018, 355, 6286–6299. [Google Scholar] [CrossRef]
- Guo, Q.; Chai, L.; Liu, H. Anti-swing sliding mode control of three-dimensional double pendulum overhead cranes based on extended state observer. Nonlinear Dyn. 2023, 111, 391–410. [Google Scholar] [CrossRef]
- Krupa, F.; Nemcik, J.; Ozana, S.; Slanina, Z. NMPC design and embedded application for overhead crane: Case study. IFAC-PapersOnLine 2022, 55, 356–361. [Google Scholar] [CrossRef]
- Bennett, N.; Walawalkar, A.; Schindler, C. Payload estimation in excavators: Model-based evaluation of current payload estimation systems. In Proceedings of the 3rd Commercial Vehicle Technology Symposium (CTV 2014), University of, Kaiserslautern, Kaiserslautern, Germany, 11–13 March 2014; pp. 333–346. [Google Scholar]
- Ferlibas, M.; Ghabcheloo, R. Load weight estimation on an excavator in static and dynamic motions. In Proceedings of the 17th Scandinavian International Conference on Fluid Power (SICFP’21), Linkoping, Sweden, 1–2 June 2021. [Google Scholar]
- Renner, A.; Wind, H.; Sawodny, O. Online payload estimation for hydraulically actuated manipulators. Mechatronics 2020, 66, 102322. [Google Scholar] [CrossRef]
- Sun, G.; Kleeberger, M.; Liu, J. Complete dynamic calculation of lattice mobile crane during hoisting motion. Mech. Mach. Theory 2005, 40, 447–466. [Google Scholar] [CrossRef]
- Bogdevičius, M.; Vik, A. Investigation of the dynamics of an overhead crane lifting process in a vertical plane. Transport 2005, 20, 176–180. [Google Scholar] [CrossRef]
- Gąska, D.; Margielewicz, J.; Haniszewski, T.; Matyja, T.; Konieczny, Ł.; Chróst, P. Numerical identification of the overhead traveling crane’s dynamic factor caused by lifting the load off the ground. J. Meas. Eng. 2015, 3, 34–35. [Google Scholar]
- Haniszewski, T. Modeling the dynamics of cargo lifting process by overhead crane for dynamic overload factor estimation. J. Vibroengineering 2017, 19, 75–86. [Google Scholar] [CrossRef]
- Semykina, I.Y.; Kipervasser, M.V.; Gerasimuk, A.V. Study of drive currents for lifting bridge cranes of metallurgical enterprises or early diagnosis of load excess weight. J. Min. Inst. 2021, 247, 122–131. [Google Scholar] [CrossRef]
- Moi, T.; Cibicik, A.; Rolvag, T. Digital twin based condition monitoring of a knuckle boom crane: An experimental study. Eng. Fail. Anal. 2020, 112, 104517. [Google Scholar] [CrossRef]
- Hindman, J.J. Dynamic Payload Estimation in Four Wheel Drive Loaders. Ph.D. Dissertation, University of Saskatchewan, Saskatoon, SK, Canada, 2008. [Google Scholar]
- Geiger, C.; Greff, D.; Geimer, M.; Starke, M.; Ziesak, M. The potential of a weight detection system for forwarders using an artificial neural network. In Proceedings of the 51st International Symposium on Forestry Mechanization: Improved Forest Mechanisation: Mobilizing Natural Resources and Preventing Wildfires, Madrid, Spain, 25–27 September 2018; pp. 157–164. [Google Scholar]
- Starke, M.; Geiger, C. Field setup and assessment of a cloud-data based crane scale (CCS) considering weight and local green wood density-related volume references. Croat. J. For. Eng. 2022, 43, 29–45. [Google Scholar] [CrossRef]
- Geiger, C.; Maier, N.; Kalinke, F.; Geimer, M. Assistance system for an automated log-quality and assortment estimation based on data-driven approaches using hydraulic signals of forestry machines. In Proceedings of the 12th International Fluid Power Conference (IFK 2020), Dresden, Germany, 12–14 October 2020; pp. 83–92. [Google Scholar]
- Zhou, X.; Hu, X. Load identification method of crane based on vibration acceleration signal and stress signal. Int. Core J. Eng. 2022, 8, 741–747. [Google Scholar]
- Pástor, M.; Lengvarsky, P.; Hagara, M.; Kulka, J. Experimental investigation of the fatigue life of a bridge crane girder using S-N method. Appl. Sci. 2022, 12, 10319. [Google Scholar] [CrossRef]
- Frankovský, P.; Delyová, I.; Sivák, P.; Kurylo, P.; Pivarčiová, E.; Neumann, V. Experimental assessment of time-limited operation and rectification of a bridge crane. Materials 2020, 13, 2708. [Google Scholar] [CrossRef]
- Rettenmeier, P.; Roos, E.; Weihe, S.; Schuler, X. Assessment of mixed mode crack propagation of crane runway girders subjected to cyclic loading. Eng. Fract. Mech. 2016, 153, 11–24. [Google Scholar] [CrossRef]
- Starykov, M.; Kokoshko, E. Approach for measuring a ship to shore crane actual wheel load. J. Marit. 2022, 1, 25–28. [Google Scholar] [CrossRef]
- Mantič, M.; Kuľka, J.; Grega, R.; Virostko, M.; Kopas, M. Application of sensors for incorrect behavior identification in a transport system. Sensors 2023, 23, 1635. [Google Scholar] [CrossRef] [PubMed]
- Grosinger, P.; Rybář, J.; Dunaj, Š.; Ďuriš, S.; Hučko, B. A new payload swing angle sensing device and its accuracy. Sensors 2021, 21, 6612. [Google Scholar] [CrossRef] [PubMed]
- Michaltsos, G.T.; Sophianopoulos, D.; Kounadis, A.N. The effect of a moving mass and other parameters on the dynamic response of a simply supported beam. J. Sound Vib. 1996, 191, 357–362. [Google Scholar] [CrossRef]
- Oguamanam, D.C.D.; Hansen, J.S.; Heppler, G.R. Dynamic response of an overhead crane system. J. Sound Vib. 1998, 213, 889–906. [Google Scholar] [CrossRef]
- Dyniewicz, B.; Bajer, C.I. New feature of the solution of a Timoshenko beam carrying the moving mass particle. Arch. Mech. 2010, 62, 327–341. [Google Scholar]
- Xin, Y.; Xu, G.; Su, N.; Dong, Q. Nonlinear vibration of ladle crane due to a moving trolley. Math. Probl. Eng. 2018, 2018, 5756180. [Google Scholar] [CrossRef]
- Chen, Q.; Cheng, W.; Gao, L.; Du, R. Dynamic response of a gantry crane’s beam subjected to a two-axle moving trolley. Math. Probl. Eng. 2020, 2020, 3096213. [Google Scholar] [CrossRef]
- Wu, J.J. Transverse and longitudinal vibrations of a frame structure due to a moving trolley and the hoisted object using moving finite element. Int. J. Mech. Sci. 2008, 50, 613–625. [Google Scholar] [CrossRef]
- Zrnic, N.D.; Hoffmann, K.; Bosnjak, S.M. Modelling of dynamic interaction between structure and trolley for mega container cranes. Math. Comput. Model. Dyn. Syst. 2009, 15, 295–311. [Google Scholar] [CrossRef]
- Jaafar, H.I.; Mohamed, Z.; Jamian, J.J.; Abidin, A.F.Z.; Kassim, A.M.; Ghani, Z.A. Dynamic behavior of a nonlinear gantry crane system. Proc. Technol. 2013, 11, 419–425. [Google Scholar] [CrossRef]
- Milana, G.; Banisoleiman, K.; González, A. An investigation into the moving load problem for the lifting boom of a ship unloader. Eng. Struct. 2021, 234, 111899. [Google Scholar] [CrossRef]
- Smoczek, J.; Hyla, P.; Kusznir, T. Machine learning based approach to a crane load estimation. J. KONBiN 2021, 51, 1–10. [Google Scholar] [CrossRef]
- Huan, L.; Zhouchen, L. Accelerated proximal gradient methods for nonconvex programming. In Proceedings of the NIPS15 28th International Conference on Neural Information Processing Systems, Montreal, QC, Canada, 7–12 December 2015; pp. 379–387. [Google Scholar]
- Goharoodi, S.K.; Dekemele, K.; Loccufier, M.; Dupre, L.; Crevecoeur, G. Evolutionary-based sparse regression for the experimental identification of Duffing oscillator. Math. Probl. Eng. 2020, 2020, 7286575. [Google Scholar]
- Kusznir, T.; Smoczek, J. Genetic programming based identification of an overhead crane. J. KONBiN 2021, 51, 123–133. [Google Scholar] [CrossRef]
- Kusznir, T.; Smoczek, J. Multi-gene genetic programming-based identification of a dynamic prediction model of an overhead traveling crane. Sensors 2022, 22, 339. [Google Scholar] [CrossRef] [PubMed]
- Kawada, K.; Yamamoto, T. Evolutionary identification using closed-loop data for a mechanical system. In Proceedings of the SICE Annual Conference, IEEE, Taipei, Taiwan, 18–21 August 2010; pp. 1065–1070. [Google Scholar]
- Duong, S.C.; Uezato, E.; Kinjo, H.; Yamamoto, T. A hybrid evolutionary algorithm for recurrent neural network control of a three-dimensional tower crane. Autom. Constr. 2012, 23, 55–63. [Google Scholar] [CrossRef]
- Smoczek, J.; Szpytko, J. Evolutionary algorithm-based design of a fuzzy TBF predictive model and TSK fuzzy anti-sway crane control system. Eng. Appl. Artif. Intell. 2014, 28, 190–200. [Google Scholar] [CrossRef]
- Çakan, A.; Önen, U. Anti-swing control of an overhead crane by using genetic algorithm based LQR. Int. J. Eng. Comput. Sci. 2017, 6, 21612–21616. [Google Scholar]
- Koza, J.R. Genetic Programming: On the Programming of Computers by Means of Natural Selection; MIT Press: Cambridge, MA, USA, 1992. [Google Scholar]
- Willis, M.; Hiden, H.; Hinchliffe, M.; McKay, B.; Barton, G.W. Systems modelling using genetic programming. Comput. Chem. Eng. 1997, 21, 1161–1166. [Google Scholar] [CrossRef]
- Banzhaf, W. Genetic programming for pedestrians. In Proceedings of the Fifth International Conference on Genetic Algorithms (ICGA’93), San Mateo, CA, USA, 17–22 July 1993; Forrest, S., Ed.; Morgan Kaufmann: San Francisco, CA, USA, 1993. [Google Scholar]
- Ryan, C.; Collins, J.; Neill, M.O. Grammatical evolution: Evolving programs for an arbitrary language. In Genetic Programming, Proceedings of the First European Workshop, EuroGP’98, Paris, France, 14–15 April 1998; Banzhaf, W., Poli, R., Schoenauer, M., Fogarty, T.C., Eds.; Springer: Berlin/Heidelberg, Germany, 1998; pp. 83–96. [Google Scholar]
- De Melo, V.V. Kaizen programming. In Proceedings of the 2014 Annual Conference on Genetic and Evolutionary Computation, ACM, Vancouver, BC, Canada, 12–16 July 2014; pp. 895–902. [Google Scholar]
- Searson, D.P. Chapter 22—GPTIPS 2: An open-source software platform for symbolic data mining. In Handbook of Genetic Programming Applications; Gandomi, A.H., Alavi, A.H., Ryan, C., Eds.; Springer: New York, NY, USA, 2015. [Google Scholar]
- Riahi-Madvar, H.; Dehghani, M.; Seifi, A.; Singh, V.P. Pareto optimal multigene genetic programming for prediction of longitudinal dispersion coefficient. Water Resour. Manag. 2019, 33, 905–921. [Google Scholar] [CrossRef]
- Natarajan, B.K. Sparse approximate solutions to linear systems. SIAM J. Comput. 1995, 24, 227–234. [Google Scholar] [CrossRef]
- La Cava, W.; Moore, J.H. Learning feature spaces for regression with genetic programming. Genet. Program. Evolvable Mach. 2020, 21, 433–467. [Google Scholar] [CrossRef]
- Whigham, P.A. Grammatically-based genetic programming. In Proceedings of the Workshop on Genetic Programming: From Theory to Real-World Applications, Tahoe City, CA, USA, 9 July 1995; Rosca, J., Ed.; University of Rochester: Rochester, NY, USA, 1995; pp. 33–41. [Google Scholar]
- Ratle, A.; Sebag, M. Grammar-guided genetic programming and dimensional consistency: Application to non-parametric identification in mechanics. Appl. Soft Comput. 2001, 1, 105–118. [Google Scholar] [CrossRef]
- Takagi, T.; Sugeno, M. Fuzzy identification of systems and its application to modeling and control. IEEE Trans. Syst. Man Cybern. 1985, 15, 116–132. [Google Scholar] [CrossRef]
- Sugeno, M.; Kang, T. Structure identification of fuzzy model. Fuzzy Sets Syst. 1988, 28, 15–33. [Google Scholar] [CrossRef]
- Chiu, S.L. Fuzzy model identification based in cluster estimation. J. Intell. Fuzzy Syst. 1994, 2, 267–278. [Google Scholar] [CrossRef]
- Efkolidis, N.; Markopoulos, A.; Κarkalos, N.; Hernández, C.G.; Talón, J.L.H.; Kyratsis, P. Optimizing models for sustainable drilling operations using genetic algorithm for the optimum ANN. Appl. Artif. Intell. 2019, 33, 881–901. [Google Scholar] [CrossRef]
- Karkalos, N.E.; Efkolidis, N.; Kyratsis, P.; Markopoulos, A.P. A comparative study between regression and neural networks for modeling Al6082-T6 alloy drilling. Machines 2019, 7, 13. [Google Scholar] [CrossRef]














| Parameters | Settings |
|---|---|
| Function set | ×, √, inv |
| Terminal set | x, ε |
| Population size | 100 |
| Number of generations | 500 |
| Initialization | Ramped Half-and-Half |
| Maximum number of genes | 25 |
| Maximum tree depth | 5 |
| Tournament size | 2 |
| Crossover probability | 0.84 |
| Mutation probability | 0.14 |
| Direct reproduction | 0.02 |
| Parameters | Settings |
|---|---|
| Set of nonterminal symbols N | ×, √, inv |
| Set of terminal symbols Σ | x, ε |
| Population size | 100 |
| Number of generations | 500 |
| Initialization | Probability tree creation 2 (PTC2) |
| Number of candidate model terms | 25 |
| Maximum tree depth during initialization | 8 |
| Tournament size | 2 |
| Subtree crossover probability | 0.75 |
| High-level crossover probability | 0.15 |
| Mutation probability | 0.1 |
| Sparsification parameter λ | 0.001 |
| 〈S〉 | ::= | 〈exp〉 |
| 〈exp〉 | ::= | 〈opb〉 〈exp〉 〈exp〉 | 〈opu〉 〈exp〉 | 〈T〉 |
| 〈opb〉 | ::= | × |
| 〈opu〉 | ::= | √ | inv |
| 〈T〉 | ::= | x | ε |
| G3PSR | MGGP | ||
|---|---|---|---|
| Model Coefficients | Model Terms | Model Coefficients | Model Terms |
| −0.0058 | −5.2140 × 105 | 1 | |
| 4.5510 × 1022 | 879.6109 | ||
| 15.6505 | −1.2297 × 104 | ||
| 1.1976 × 105 | −5.0552 × 105 | ||
| 1.6163 × 10−7 | 8.3531 × 104 | ||
| −161.6078 | 8.2332 × 105 | ||
| 4.4107 × 10−4 | 2.0059 × 104 | ||
| 18.2220 | 1.5669 × 104 | ||
| −3.2326 × 1013 | −1.3150 × 105 | ||
| 2.3790 × 10−8 | 3.3940 × 105 | ||
| 14.1349 | −3.0590 × 105 | ||
| −3.2074 | 1.2318 × 105 | ||
| 9.7761 × 107 | 9.8117 × 103 | ||
| −5.7385 × 10−9 | 1.1880 × 105 | ||
| 8.2782 × 105 | |||
| −3.7918 × 103 | |||
| −982.1465 | |||
| Rule Number | Antecedent (Gaussian) Parameters | Consequent (Linear Function) Parameters | |
|---|---|---|---|
| i | |||
| 1 | [0.250, 0.8652] | [2.447, 5.8133] | |
| 2 | [0.250, 0.8523] | [2.447, 9.4161] | |
| 3 | [0.250, 1.2646] | [2.447, 5.2689] | |
| 4 | [0.250, 0.4850] | [2.447, 5.0614] | |
| 5 | [0.250, 1.2048] | [2.447, 3.3429] | |
| 6 | [0.250, 1.2379] | [2.447, 9.1502] | |
| 7 | [0.250, 0.5311] | [2.447, 3.4812] | |
| 8 | [0.250, 0.4473] | [2.447, 7.4674] | |
| G3PSR | MGGP | TSF | |
|---|---|---|---|
| RMSE | 1.7813 | 1.8069 | 1.8875 |
| MRE | 0.0285 | 0.0283 | 0.0294 |
| No. of parameters | 14 | 17 | 56 |
| Mean execution time (ms) ± standard deviation |
| G3PSR | MGGP | TSF | ||||
|---|---|---|---|---|---|---|
| Payload Mass (kg) | MRE | max RE | MRE | max RE | MRE | max RE |
| 30 | 0.0502 | 0.1523 | 0.0449 | 0.1570 | 0.0499 | 0.1108 |
| 50 | 0.0302 | 0.0883 | 0.0320 | 0.0862 | 0.0344 | 0.1033 |
| 70 | 0.0200 | 0.0585 | 0.0219 | 0.0606 | 0.0207 | 0.0802 |
| 90 | 0.0148 | 0.0395 | 0.0156 | 0.0388 | 0.0142 | 0.0402 |
| G3PSR | MGGP | TSF | |||||||
|---|---|---|---|---|---|---|---|---|---|
| ε | ε + σ | ε − σ | ε | ε + σ | ε − σ | ε | ε + σ | ε − σ | |
| RMSE | 1.7813 | 2.2115 | 2.0835 | 1.8069 | 2.2104 | 2.2169 | 1.8875 | 2.2889 | 2.2169 |
| Payload mass (kg) | MRE | ||||||||
| 30 | 0.0502 | 0.0793 | 0.0504 | 0.0449 | 0.0748 | 0.0469 | 0.0499 | 0.0771 | 0.0532 |
| 50 | 0.0302 | 0.0255 | 0.0487 | 0.0320 | 0.0246 | 0.0518 | 0.0344 | 0.0348 | 0.0474 |
| 70 | 0.0200 | 0.0296 | 0.0155 | 0.0219 | 0.0318 | 0.0172 | 0.0207 | 0.260 | 0.0196 |
| 90 | 0.0148 | 0.0161 | 0.0169 | 0.0156 | 0.0172 | 0.0166 | 0.0142 | 0.0177 | 0.0153 |
| G3PSR | MGGP | TSF | |
|---|---|---|---|
| Payload Mass (kg) | Standard Error (kg) | ||
| 30 | 2.2297 | 2.0670 | 2.2066 |
| 50 | 2.1200 | 2.1813 | 2.4352 |
| 70 | 1.9005 | 2.0492 | 2.0698 |
| 90 | 1.7460 | 1.7786 | 1.7740 |
Disclaimer/Publisher’s Note: The statements, opinions and data contained in all publications are solely those of the individual author(s) and contributor(s) and not of MDPI and/or the editor(s). MDPI and/or the editor(s) disclaim responsibility for any injury to people or property resulting from any ideas, methods, instructions or products referred to in the content. |
© 2023 by the authors. Licensee MDPI, Basel, Switzerland. This article is an open access article distributed under the terms and conditions of the Creative Commons Attribution (CC BY) license (https://creativecommons.org/licenses/by/4.0/).
Share and Cite
Kusznir, T.; Smoczek, J. Soft-Computing-Based Estimation of a Static Load for an Overhead Crane. Sensors 2023, 23, 5842. https://doi.org/10.3390/s23135842
Kusznir T, Smoczek J. Soft-Computing-Based Estimation of a Static Load for an Overhead Crane. Sensors. 2023; 23(13):5842. https://doi.org/10.3390/s23135842
Chicago/Turabian StyleKusznir, Tom, and Jaroslaw Smoczek. 2023. "Soft-Computing-Based Estimation of a Static Load for an Overhead Crane" Sensors 23, no. 13: 5842. https://doi.org/10.3390/s23135842
APA StyleKusznir, T., & Smoczek, J. (2023). Soft-Computing-Based Estimation of a Static Load for an Overhead Crane. Sensors, 23(13), 5842. https://doi.org/10.3390/s23135842

