Avalanche Photodiodes and Silicon Photomultipliers of Non-Planar Designs
Abstract
1. Introduction
- using a few micrometer light spot for localized studies of microplasmas under controlled photoinjection [5];
2. Non-Planar APD and SiPM Designs
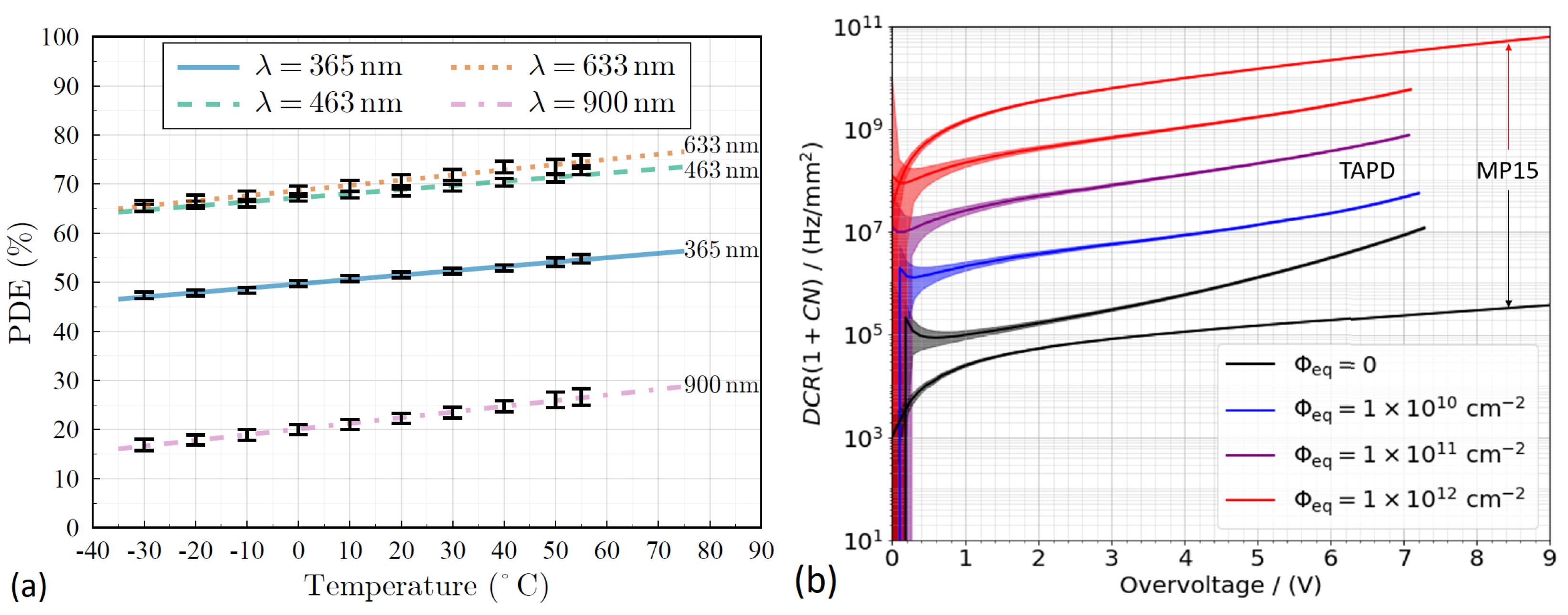
2.1. Spherical APD
- Uniformity of an avalanche multiplication over the sensitive region at the cone tip in the space angle ;
- Enhancement of an electric field at the cone tip to lower breakdown voltage;
- Protection from edge breakdown without guard ring structures;
- Reduction of an electric field at the surface of the silicon to lower dark current.
2.2. Metal-Resistor-Semiconductor APD


2.3. Micro-Well APD
2.4. Discrete Amplification APD
2.5. Avalanche Drift Diode—Back Illumination Drift SiPM
2.6. Nano-Multiplication-Region APD

2.7. Germanium APD for Silicon Photonics
2.8. HgCdTe Electron APD

2.9. 3D Silicon Detector
2.10. Tip APD
- The first issue is a trade-off between geometric efficiency (and, hence, PDE) and dynamic range: the larger the cell size, the higher ratio of active area to inactive area (PDE), and the lower total number of cells per SiPM area, i.e., the dynamic range of the SiPM. Moreover, larger cells with larger capacitance have a longer recovery time, affecting the dynamic range in CW and long light pulse detection modes [30,31].
- The second issue is an inclusion of a probability of avalanche triggering into PDE as well as into probability of correlated noise events (crosstalk and afterpulsing): the higher the PDE, the higher the correlated noise up to unacceptable values and the so-called second breakdown effect. Regarding optical crosstalk, this problem is partially eliminated by metal-filled trenches at the cell borders, but this measure emphasizes the first trade-off [30,31].
- The third issue in the development of planar NIR SiPM with an extended spectral range to NIR wavelengths is the so-called border effect: the deeper the sensitive epilayer for more efficient the NIR absorption, the larger the insensitive volume at the edges of the p–n junction with losses of NIR efficiency [32].
2.11. Current-Assisted APD and SPAD
2.12. Dot APD and Multi-Dot APD


2.13. Charge-Focusing SPAD
2.14. Charge-Focusing SPAD Image Sensor
2.15. Nanophotonic SiPM—Quantum Silicon Detector
- Optical focusing of the photons to very small SPADs to fight against the fill factor losses;
- Electron focusing on an even smaller amplification region, to further reduce the capacitance and to reduce the effects of field non-homogeneities;
- Enhancement of the photonic density of states in a well defined depth of the structure (actually in a thin hyperbolic metamaterial layer), to increase the probability of photon-electron coupling (and therefore the PDE through the QE) and to reduce the time jitter by forcing the start of the avalanches at a well defined depth, particularly important for LIDAR applications.
3. Discussion
3.1. Features of Non-Planar Designs
3.1.1. Breakdown Voltage
3.1.2. Electric Field
3.1.3. Excess Noise Factor
- dead-space affected ionization rate (emphasized by a nanoscale confinement of the multiplication region);
- hot-electron initiation of the avalanche (electrons have high initial energy entering multiplication region at saturation velocity);
- large electric field gradients in the multiplication region could result in the fast acceleration of secondary carriers towards the ionization threshold as modeled in [125].
3.1.4. Depletion
3.1.5. Dark Noise
- Pronounced peak of the electric field should increase a field-enhanced dark generation (band-to-band and trap-assisted tunneling, Pool-Frenkel effect);
- The small volume of the high-field avalanche region should decrease the same field-enhanced generation;
3.1.6. Correlated Noise
3.1.7. Capacitance
3.1.8. Efficiency
3.1.9. Dynamic Range
3.1.10. Timing
3.1.11. Radiation Hardness
3.2. Overall Performance in Detective Quantum Efficiency
4. Conclusions
Funding
Institutional Review Board Statement
Informed Consent Statement
Data Availability Statement
Conflicts of Interest
Abbreviations
| ADD | avalanche drift diode |
| APD | avalanche photodiode |
| BEOL | back end of line |
| BID | back illumination drift |
| BSI | backside-illumination |
| BW | bandwidth |
| CMOS | complimentary MOS |
| CPTA | Center of Perspective Technologies and Apparatus |
| CA-APD | current-assisted APD |
| CA-SPAD | current-assisted SPAD |
| CF-APD | charge-focusing APD |
| DAPD | discrete amplification APD |
| DQE | detective quantum efficiency |
| ENF | excess noise factor |
| FBK | Fondazione Bruno Kessler |
| FSI | frontside-illuminated |
| FWHM | full width at half maximum |
| LAAPD | large-area APD |
| MAPD | micropixel avalanche photodiode |
| MIS | metal-insulator-semiconductor |
| MOS | metal-oxide-silicon |
| MOSFET | MOS field effect transistor |
| MRS | metal-resistor-semiconductor |
| NAPD | nano-multiplication-region APD |
| NFAD | negative feedback APD |
| NIR | near-infrared |
| PDE | photon detection efficiency |
| PET | positron emission tomography |
| PDP | photon detection probability |
| RMS | root mean square |
| SACM | separate absorption, charge and multiplication |
| SER | single electron response |
| SDD | silicon drift detector |
| SiPM | silicon photomultiplier |
| SNR | signal-to-noise ratio |
| SPAD | single photon APD |
| SSPM | solid state photomultiplier |
| SWIR | shortwave infrared |
| TAPD | tip avalanche photodiode |
| TOF | time of flight |
References
- Ohl, R. Light-Sensitive Electric Device. U.S. Patent 2,402,662, 25 June 1941. [Google Scholar]
- Fisher, E.M. Principles and Early Historical Development of Silicon Avalanche and Geiger-Mode Photodiodes. In Photon Counting—Fundamentals and Applications; InTech: London, UK, 2018; Volume 11, p. 37. [Google Scholar] [CrossRef]
- Nishizawa, J. P-I-N Photo-Diode. Japan Patent JP1955-8969A, 1952. [Google Scholar]
- Senitzky, B.; Moll, J.L. Breakdown in Silicon. Phys. Rev. 1958, 110, 612–620. [Google Scholar] [CrossRef]
- Haitz, R.H.; Goetzberger, A.; Scarlett, R.M.; Shockley, W. Avalanche Effects in Silicon p–n Junctions. I. Localized Photomultiplication Studies on Microplasmas. J. Appl. Phys. 1963, 34, 1581–1590. [Google Scholar] [CrossRef]
- Batdorf, R.L.; Chynoweth, A.G.; Dacey, G.C.; Foy, P.W. Uniform Silicon p-n Junctions. I. Broad Area Breakdown. J. Appl. Phys. 1960, 31, 1153–1160. [Google Scholar] [CrossRef]
- Goetzberger, A.; McDonald, B.; Haitz, R.H.; Scarlett, R.M. Avalanche Effects in Silicon p–n Junctions. II. Structurally Perfect Junctions. J. Appl. Phys. 1963, 34, 1591–1600. [Google Scholar] [CrossRef]
- Anderson, L.K.; McMullin, P.G.; D’Asaro, L.A.; Goetzberger, A. Microwave photodiodes exhibiting microplasma-free carrier multiplication. Appl. Phys. Lett. 1965, 6, 62–64. [Google Scholar] [CrossRef]
- McIntyre, R. The distribution of gains in uniformly multiplying avalanche photodiodes: Theory. IEEE Trans. Electron Devices 1972, 19, 703–713. [Google Scholar] [CrossRef]
- Conradi, J. The distribution of gains in uniformly multiplying avalanche photodiodes: Experimental. IEEE Trans. Electron Devices 1972, 19, 713–718. [Google Scholar] [CrossRef]
- Webb, P.P.; McIntyre, R.J.; Conradi, J. Properties of avalanche photodiodes. RCA Rev. 1974, 35, 234–278. [Google Scholar]
- Śzécésnyi-Nagy, G. The Avalanche Photodiode—A Promising Low Light Level Detector for Astronomical Photometry. Int. Astron. Union Colloq. 1993, 136, 160–168. [Google Scholar] [CrossRef]
- Renker, D.; Lorenz, E. Advances in solid state photon detectors. J. Instrum. 2009, 4, P04004. [Google Scholar] [CrossRef]
- Advanced Photonix. Advanced Photonix Avalanche Photodiodes. 2023. Available online: https://www.advancedphotonix.com/product/detectors/avalanche-photodiodes (accessed on 28 May 2023).
- Foss, N.A.; Ward, S.A. Large-area metal-oxide-semiconductor avalanche photodiodes. J. Appl. Phys. 1973, 44, 728–731. [Google Scholar] [CrossRef]
- Sadygov, Z.; Sadigov, A.; Khorev, S. Silicon Photomultipliers: Status and Prospects. Phys. Part. Nucl. Lett. 2020, 17, 160–176. [Google Scholar] [CrossRef]
- Gol’braikh, N.I.; Plotnikov, A.F.; Shubin, V.É. Pulse avalanche photodetector based on a metal-insulator-semiconductor structure. Sov. J. Quantum Electron. 1975, 5, 1435–1436. [Google Scholar] [CrossRef]
- Kravchenko, A.B.; Plotnikov, A.F.; Shubin, V.É. Feasibility of construction of a pulsed avalanche photodetector based on an MIS structure with stable internal amplification. Sov. J. Quantum Electron. 1978, 8, 1086–1089. [Google Scholar] [CrossRef]
- Shushakov, D.A.; Shubin, V.E. New solid state photomultiplier. In Proceedings of the SPIE Optoelectronic Integrated Circuit Materials, Physics, and Devices; Razeghi, M., Park, Y.S., Witt, G.L., Eds.; International Society for Optics and Photonics, SPIE: Bellingham, WA, USA, 1995; Volume 2397, p. 544. [Google Scholar] [CrossRef]
- Shushakov, D.A.; Shubin, V.E. New avalanche device with an ability of few-photon light pulse detection in analog mode. In Proceedings of the Free-Space Laser Communication Technologies VIII; Mecherle, G.S., Ed.; International Society for Optics and Photonics, SPIE: Bellingham, WA, USA, 1996; Volume 2699, pp. 173–183. [Google Scholar] [CrossRef]
- Shubin, V.E.; Shushakov, D.A. Avalanche Photodetectors. In Encyclopedia of Optical Engineering; Marcel Dekker, Inc.: New York, NY, USA, 2003; Chapter 11; pp. 121–141. [Google Scholar] [CrossRef]
- Gasanov, A.; Golovin, V.; Sadygov, Z.; Yusipov, N. An avalanche detector on the basis of metal-resistive layer-semiconductor. Sov. Tech. Phys. Lett. 1988, 14, 313. [Google Scholar]
- Gasanov, A.; Golovin, V.; Sadygov, Z.; Yusipov, N. Effect of local inhomogeneities in a semiconductor substrate on the characteristics of avalanche photodetectors. Sov. Tech. Phys. Lett. 1989, 16, 14. [Google Scholar]
- Sadygov, Z.; Zheleznykh, I.; Malakhov, N.; Jejer, V.; Kirillova, T. Avalanche semiconductor radiation detectors. In Proceedings of the Third European Conference on Radiation and its Effects on Components and Systems, Arcachon, France, 18–22 September 1995; Volume 43, pp. 460–464. [Google Scholar] [CrossRef]
- Sadygov, Z.; Olshevski, A.; Chirikov, I.; Zheleznykh, I.; Novikov, A. Three advanced designs of micro-pixel avalanche photodiodes: Their present status, maximum possibilities and limitations. Nucl. Instrum. Methods Phys. Res. Sect. A Accel. Spectrometers Detect. Assoc. Equip. 2006, 567, 70–73. [Google Scholar] [CrossRef]
- Akindinov, A.; Martemianov, A.; Polozov, P.; Golovin, V.; Grigoriev, E. New results on MRS APDs. Nucl. Instrum. Methods Phys. Res. Sect. A Accel. Spectrometers Detect. Assoc. Equip. 1997, 387, 231–234. [Google Scholar] [CrossRef]
- Bondarenko, G.; Dolgoshein, B.; Golovin, V.; Ilyin, A.; Klanner, R.; Popova, E. Limited Geiger-mode silicon photodiode with very high gain. Nucl. Phys. B Proc. Suppl. 1998, 61, 347–352. [Google Scholar] [CrossRef]
- Buzhan, P.; Dolgoshein, B.; Ilyin, A.; Kantserov, V.; Kaplin, V.; Karakash, A.; Pleshko, A.; Popova, E.; Smirnov, S.; Volkov, Y. An advanced study of silicon photomultiplier. Proc. ICFA Instrum. Bull. 2001, 23, 28–41. [Google Scholar]
- Dolgoshein, B.; Balagura, V.; Buzhan, P.; Danilov, M.; Filatov, L.; Garutti, E.; Groll, M.; Ilyin, A.; Kantserov, V.; Kaplin, V.; et al. Status report on silicon photomultiplier development and its applications. Nucl. Instrum. Methods Phys. Res. Sect. A Accel. Spectrometers Detect. Assoc. Equip. 2006, 563, 368–376. [Google Scholar] [CrossRef]
- Vinogradov, S.; Vinogradova, T.; Shubin, V.; Shushakov, D.; Sitarsky, C.; Sitarsky, K.; Sitarsky, C. Efficiency of Solid State Photomultipliers in Photon Number Resolution. IEEE Trans. Nucl. Sci. 2011, 58, 9–16. [Google Scholar] [CrossRef]
- Vinogradov, S.; Popova, E. Status and perspectives of solid state photon detectors. Nucl. Instrum. Methods Phys. Res. Sect. A Accel. Spectrometers Detect. Assoc. Equip. 2020, 952, 161752. [Google Scholar] [CrossRef]
- Acerbi, F.; Paternoster, G.; Gola, A.; Zorzi, N.; Piemonte, C. Silicon photomultipliers and single-photon avalanche diodes with enhanced NIR detection efficiency at FBK. Nucl. Instrum. Methods Phys. Res. Sect. A Accel. Spectrometers Detect. Assoc. Equip. 2018, 912, 309–314. [Google Scholar] [CrossRef]
- Sigmund, H. Photoelectrical properties of spherical avalanche diodes in silicon. Infrared Phys. 1968, 8, 259–264. [Google Scholar] [CrossRef]
- Sadyigov, Z.Y.; Gasanov, A.G.; Yusipov, N.Y.; Golovin, V.M.; Gulanian, E.H.; Vinokurov, Y.S.; Simonov, A.V. Investigation of the possibility of creating a multichannel photodetector based on the avalanche MRS-structure. In Optical Memory and Neural Networks; Mikaelian, A.L., Ed.; SPIE: Bellingham, WA, USA, 1991; Volume 1621, pp. 158–168. [Google Scholar] [CrossRef]
- Bondarenko, G.; Buzhan, P.; Dolgoshein, B.; Golovin, V.; Guschin, E.; Ilyin, A.; Kaplin, V.; Karakash, A.; Klanner, R.; Pokachalov, V.; et al. Limited Geiger-mode microcell silicon photodiode: New results. Nucl. Instrum. Methods Phys. Res. Sect. A Accel. Spectrometers Detect. Assoc. Equip. 2000, 442, 187–192. [Google Scholar] [CrossRef]
- McIntyre, R. Multiplication noise in uniform avalanche diodes. IEEE Trans. Electron Devices 1966, ED-13, 164–168. [Google Scholar] [CrossRef]
- McNally, D.; Golovin, V. Review of solid state photomultiplier developments by CPTA and photonique SA. Nucl. Instrum. Methods Phys. Res. Sect. A Accel. Spectrometers Detect. Assoc. Equip. 2009, 610, 150–153. [Google Scholar] [CrossRef]
- Sato, K.; Yamamoto, K.; Yamamura, K.; Kamakura, S.; Ohsuka, S. Application oriented development of multi-pixel photon counter (MPPC). In Proceedings of the IEEE Nuclear Science Symposuim Medical Imaging Conference, Knoxville, TN, USA, 30 October–6 November 2010; pp. 243–245. [Google Scholar] [CrossRef]
- Stewart, A.G.; Saveliev, V.; Bellis, S.J.; Herbert, D.J.; Hughes, P.J.; Jackson, J.C. Performance of 1-mm2 Silicon Photomultiplier. IEEE J. Quantum Electron. 2008, 44, 157–164. [Google Scholar] [CrossRef]
- Mazzillo, M.; Condorelli, G.; Sanfilippo, D.; Valvo, G.; Carbone, B.; Fallica, G.; Billotta, S.; Belluso, M.; Bonanno, G.; Cosentino, L.; et al. Silicon Photomultiplier Technology at STMicroelectronics. IEEE Trans. Nucl. Sci. 2009, 56, 2434–2442. [Google Scholar] [CrossRef]
- Piemonte, C. A new Silicon Photomultiplier structure for blue light detection. Nucl. Instrum. Methods Phys. Res. Sect. A Accel. Spectrometers Detect. Assoc. Equip. 2006, 568, 224–232. [Google Scholar] [CrossRef]
- Bérard, P.; Couture, M.; Deschamps, P.; Laforce, F.; Dautet, H. Characterization study of a new UV–SiPM with low dark count rate. Nucl. Instrum. Methods Phys. Res. Sect. A Accel. Spectrometers Detect. Assoc. Equip. 2012, 695, 35–39. [Google Scholar] [CrossRef]
- Dietzinger, C.; Ganka, T.R.; Gebauer, W.; Miyakawa, N.; Iskra, P.; Wiest, F. Silicon Photomultipliers with enhanced Blue-Light Sensitivity. In Proceedings of the PhotoDet 2012, LAL, Orsay, France, 13–15 June 2012; pp. 1–20. [Google Scholar]
- Sadygov, Z. Three advanced designs of avalanche micro-pixel photodiodes. In Proceedings of the 4th International Conference on New Developments in Photodetection (NDIP 05), Beaune, France, 19–24 June 2005. [Google Scholar]
- Musienko, Y.; Heering, A. Studies of large dynamic range silicon photomultipliers for the CMS HCAL upgrade. In Proceedings of the New Developments in Photodetection (NDIP 11), Lyon, France, 4–8 July 2011. [Google Scholar]
- Linga, K.; Krutov, A.; Godik, E.; Seemungal, W.; Shushakov, D.; Shubin, V. Ultra low noise photodetectors with internal discrete amplification. Proc. SPIE 2005, 5726, 43–51. [Google Scholar] [CrossRef]
- Linga, K.; Godik, E.; Krutov, J.; Shushakov, D.; Shubin, L.; Vinogradov, S.L.; Levin, E.V. Solid state photomultiplier: Noise parameters of photodetectors with internal discrete amplification. In Proceedings of SPIE; Cohen, M.J., Dereniak, E.L., Eds.; SPIE: Bellingham, WA, USA, 2006; Volume 6119, p. 61190K. [Google Scholar] [CrossRef]
- Levin, E.; Shelegeda, E.; Shubin, V.E.; Shushakov, D.A.; Sitarsky, C.; Vinogradov, S. Advances in the development of solid state photomultipliers for medical imaging. In Proceedings of the Medical Imaging 2008: Physics of Medical Imaging, Pts 1–3; Hsieh, J., Samei, E., Eds.; SPIE: Bellingham, WA, USA, 2008; Volume 6913, p. 69130J. [Google Scholar] [CrossRef]
- Becker, H.N.; Farr, W.H.; Zhu, D.Q. Radiation Response of Emerging High Gain, Low Noise Detectors. IEEE Trans. Nucl. Sci. 2007, 54, 1129–1135. [Google Scholar] [CrossRef]
- Linga, K.; Yevtukhov, Y.; Liang, B. Very high-gain and low-excess noise near-infrared single-photon avalanche detector: An NIR solid state photomultiplier. In Proceedings of SPIE; Itzler, M.A., Campbell, J.C., Eds.; SPIE: Bellingham, WA, USA, 2009; p. 73200Z. [Google Scholar] [CrossRef]
- Itzler, M.A.; Jiang, X.; Nyman, B.; Slomkowski, K. InP-based negative feedback avalanche diodes. In Proceedings of SPIE; Razeghi, M., Sudharsanan, R., Brown, G.J., Eds.; SPIE: Bellingham, WA, USA, 2009; Volume 7222, p. 72221K. [Google Scholar] [CrossRef]
- Gatti, E.; Rehak, P. Semiconductor drift chamber—An application of a novel charge transport scheme. Nucl. Instrum. Methods Phys. Res. 1984, 225, 608–614. [Google Scholar] [CrossRef]
- Kemmer, J.; Lutz, G.; Belau, E.; Prechtel, U.; Welser, W. Low capacity drift diode. Nucl. Instrum. Methods Phys. Res. Sect. A Accel. Spectrometers Detect. Assoc. Equip. 1987, 253, 378–381. [Google Scholar] [CrossRef]
- Lutz, G.; Otte, N.; Richter, R.H.; Strüder, L. The avalanche drift diode: A new detector concept for single photon detection. IEEE Trans. Nucl. Sci. 2005, 52, 1156–1159. [Google Scholar] [CrossRef]
- Merck, C.; Eckhardt, R.; Hartmann, R.; Holl, P.; Koitsch, C.; Mirzoyan, R.; Moser, H.G.; Ninkovic, J.; Richter, R.H.; Schaller, G.; et al. Back Illuminated Drift Silicon Photomultiplier as Novel Detector for Single Photon Counting. In Proceedings of the 2006 IEEE Nuclear Science Symposium Conference Record, San Diego, CA, USA, 29 October–4 November 2006; Volume 3, pp. 1562–1565. [Google Scholar] [CrossRef]
- Ninković, J.; Eckhart, R.; Hartmann, R.; Holl, P.; Koitsch, C.; Lutz, G.; Merck, C.; Mirzoyan, R.; Moser, H.G.; Otte, A.N.; et al. The avalanche drift diode—A back illumination drift silicon photomultiplier. Nucl. Instrum. Methods Phys. Res. Sect. A Accel. Spectrometers Detect. Assoc. Equip. 2007, 580, 1013–1015. [Google Scholar] [CrossRef]
- Ninkovic, J. SiPM Device development @ MPI–HLL. In Proceedings of the PHOTODAC Meeting, MPI for Physics, Munich, Germany, 18 October 2007. [Google Scholar]
- Ninković, J.; Andriček, L.; Liemann, G.; Lutz, G.; Moser, H.G.; Richter, R.; Schopper, F. SiMPl—Novel high QE photosensor. Nucl. Instrum. Methods Phys. Res. Sect. A Accel. Spectrometers Detect. Assoc. Equip. 2009, 610, 142–144. [Google Scholar] [CrossRef]
- Zheng, X.; Lane, A.L.; Pain, B.; Cunningham, T.J.; Ma, S.; Wang, K.L. Modeling and Fabrication of a Nano-multiplication-region Avalanche Photodiode. In Proceedings of the NASA Science Technology Conference, College Park, MD, USA, 19 June 2007. [Google Scholar]
- Guo, X.; Ma, S.G.; Zheng, X.Y.; Wang, K.L. Scaling behavior and negative gain of NAPD. In Proceedings of SPIE; Dobisz, E.A., Eldada, L.A., Eds.; SPIE: Bellingham, WA, USA, 2008; Volume 7039, p. 70390N. [Google Scholar] [CrossRef]
- Hong, R.; Zhou, Y.; Wang, K.L.; Wu, Z. 4H-SiC nano-pillar avalanche photodiode with illumination-dependent characteristics. IEEE Photonics Technol. Lett. 2011, 23, 816–818. [Google Scholar] [CrossRef]
- NASA’s Jet Propulsion Laboratory. Nano-Multiplication-Region Avalanche Photodiodes. 2008. Available online: http://www.techbriefs.com/component/content/article/2651 (accessed on 28 May 2023).
- Kang, Y.; Liu, H.D.; Morse, M.; Paniccia, M.J.; Zadka, M.; Litski, S.; Sarid, G.; Pauchard, A.; Kuo, Y.H.; Chen, H.W.; et al. Monolithic germanium/silicon avalanche photodiodes with 340 GHz gain–bandwidth product. Nat. Photonics 2009, 3, 59–63. [Google Scholar] [CrossRef]
- Assefa, S.; Xia, F.; Vlasov, Y.A. Reinventing germanium avalanche photodetector for nanophotonic on-chip optical interconnects. Nature 2010, 464, 80–84. [Google Scholar] [CrossRef] [PubMed]
- Assefa, S.; Vlasov, Y.; Xia, F. Avalanche Impact Ionization Amplification Devices. U.S. Patent 8,541,734 B2, 24 September 2013. [Google Scholar]
- Beck, J.; Wan, C.; Kinch, M.; Robinson, J.; Mitra, P.; Scritchfield, R.; Ma, F.; Campbell, J. The HgCdTe Electron Avalanche Photodiode. In Proceedings of the 2006 Digest of the LEOS Summer Topical Meetings, Quebec City, QC, Canada, 17–19 July 2006; pp. 36–37. [Google Scholar] [CrossRef]
- Kinch, M.A.; Beck, J.D.; Wan, C.F.; Ma, F.; Campbell, J. HgCdTe electron avalanche photodiodes. J. Electron. Mater. 2004, 33, 630–639. [Google Scholar] [CrossRef]
- Rothman, J.; Mollard, L.; Goût, S.; Bonnefond, L.; Wlassow, J. History-Dependent Impact Ionization Theory Applied to HgCdTe e-APDs. J. Electron. Mater. 2011, 40, 1757–1768. [Google Scholar] [CrossRef]
- Finger, G.; Baker, I.; Alvarez, D.; Ives, D.; Mehrgan, L.; Meyer, M.; Stegmeier, J.; Thorne, P.; Weller, H.J. Evaluation and optimization of NIR HgCdTe avalanche photodiode arrays for adaptive optics and interferometry. In Proceedings of the SPIE High Energy, Optical, and Infrared Detectors for Astronomy; Holland, A.D., Beletic, J.W., Eds.; SPIE: Bellingham, WA, USA, 2012; p. 84530T. [Google Scholar] [CrossRef]
- Sun, X.; Abshire, J.B.; Beck, J.D.; Mitra, P.; Reiff, K.; Yang, G. HgCdTe avalanche photodiode detectors for airborne and spaceborne lidar at infrared wavelengths. Opt. Express 2017, 25, 16589. [Google Scholar] [CrossRef]
- Parker, S.; Kenney, C.; Segal, J. 3D—A proposed new architecture for solid-state radiation detectors. Nucl. Instrum. Methods Phys. Res. Sect. A Accel. Spectrometers Detect. Assoc. Equip. 1997, 395, 328–343. [Google Scholar] [CrossRef]
- Dalla Betta, G.F.; Boscardin, M.; Darbo, G.; Mendicino, R.; Meschini, M.; Messineo, A.; Ronchin, S.; Sultan, D.M.S.; Zorzi, N. Development of a new generation of 3D pixel sensors for HL-LHC. Nucl. Instrum. Methods Phys. Res. Sect. A Accel. Spectrometers Detect. Assoc. Equip. 2016, 824, 386–387. [Google Scholar] [CrossRef]
- Dalla Betta, G.F.; Povoli, M. Progress in 3D Silicon Radiation Detectors. Front. Phys. 2022, 10, 1–17. [Google Scholar] [CrossRef]
- Mikuž, M.; Cindro, V.; Kramberger, G.; Mandić, I.; Zavrtanik, M. Study of anomalous charge collection efficiency in heavily irradiated silicon strip detectors. Nucl. Instrum. Methods Phys. Res. Sect. A Accel. Spectrometers Detect. Assoc. Equip. 2011, 636, S50–S55. [Google Scholar] [CrossRef]
- Diehl, L.; Mori, R.; Hauser, M.; Hönig, J.C.; Wiik-Fuchs, L.; Parzefall, U.; Jakobs, K. Investigation of charge multiplication in irradiated p-type silicon strip sensors designed for the ATLAS phase II tracking detector. Nucl. Instrum. Methods Phys. Res. Sect. A Accel. Spectrometers Detect. Assoc. Equip. 2020, 967, 163900. [Google Scholar] [CrossRef]
- Betta, G.F.D.; Ayllon, N.; Boscardin, M.; Hoeferkamp, M.; Mattiazzo, S.; McDuff, H.; Mendicino, R.; Povoli, M.; Seidel, S.; Sultan, D.; et al. Investigation of leakage current and breakdown voltage in irradiated double-sided 3D silicon sensors. J. Instrum. 2016, 11, P09006. [Google Scholar] [CrossRef]
- Povoli, M.; Betta, G.f.D.; Vià, C.D.; Lai, C.H.; Pancheri, L.; Watts, S. Numerical simulation of thin 3D detectors with built-in charge multiplication. In Proceedings of the 8th “Trento” Workshop on Advanced Silicon Radiation Detectors, Trento, Italy, 18–20 February 2013; pp. 1–16. [Google Scholar]
- Dolgoshein, B.; Mirzoyan, R.; Popova, E.; Buzhan, P.; Ilyin, A.; Kaplin, V.; Stifutkin, A.; Teshima, M.; Zhukov, A. Large area UV SiPMs with extremely low cross-talk. Nucl. Instrum. Methods Phys. Res. Sect. A Accel. Spectrometers Detect. Assoc. Equip. 2012, 695, 40–43. [Google Scholar] [CrossRef]
- Nuriyev, S.; Ahmadov, F.; Sadygov, Z.; Akberov, R.; Ahmadov, G.; Abbasov, I. Performance of a new generation of micropixel avalanche photodiodes with high pixel density and high photon detection efficiency. Nucl. Instrum. Methods Phys. Res. Sect. A Accel. Spectrometers Detect. Assoc. Equip. 2018, 912, 320–322. [Google Scholar] [CrossRef]
- Iskra, P.; Vinogradov, S. Radiation Detector, Method for Producing a Radiation Detector and Method for Operating a Radiation Detector. EP Patent 3,640,682 A1, 2018. [Google Scholar]
- Engelmann, E.; Schmailzl, W.; Iskra, P.; Wiest, F.; Popova, E.; Vinogradov, S. Tip Avalanche Photodiode—A New Generation Silicon Photomultiplier Based on Non-Planar Technology. IEEE Sens. J. 2021, 21, 6024–6034. [Google Scholar] [CrossRef]
- Vinogradov, S.; Popova, E.; Schmailzl, W.; Engelmann, E. Tip Avalanche Photodiode—A New Wide Spectral Range Silicon Photomultiplier. In Radiation Detection Systems; CRC Press: Boca Raton, FL, USA, 2021; Chapter IX; pp. 257–288. [Google Scholar] [CrossRef]
- Vinogradov, S. Tip Avalanche Photodiode—A spherical-junction SiPM concept. Nucl. Instrum. Methods Phys. Res. Sect. A Accel. Spectrometers Detect. Assoc. Equip. 2023, 1045, 167596. [Google Scholar] [CrossRef]
- Broadcom. Broadcom’s NIR SiPM Technology Sets New Performance Standards for LiDAR. 2020. Available online: https://https://www.broadcom.com/blog/broadcoms-nir-sipm-technology-sets-performance-standards-for-lidar (accessed on 28 May 2023).
- On Semiconductor. Product Data Sheet RB-Series SiPM. 2020. Available online: https://www.onsemi.com/pub/Collateral/MICRORB-SERIES-D.PDF (accessed on 28 May 2023).
- Schmailzl, W.; Piemonte, C.; Schelhase, S.; Hansch, W. Characterization of the photo-detection efficiency temperature dependence of silicon photomultipliers from −30 °C to 70 °C. J. Instrum. 2022, 17, P12009. [Google Scholar] [CrossRef]
- Römer, J.; Garutti, E.; Schmailzl, W.; Schwandt, J.; Martens, S. Radiation hardness of a wide spectral range SiPM with quasi-spherical junction. Nucl. Instrum. Methods Phys. Res. Sect. A Accel. Spectrometers Detect. Assoc. Equip. 2023, 1047, 167792. [Google Scholar] [CrossRef]
- Gurimskaya, Y.; Dias de Almeida, P.; Fernandez Garcia, M.; Mateu Suau, I.; Moll, M.; Fretwurst, E.; Makarenko, L.; Pintilie, I. Radiation damage in p-type EPI silicon pad diodes irradiated with protons and neutrons. Nucl. Instrum. Methods Phys. Res. Sect. A Accel. Spectrometers Detect. Assoc. Equip. 2020, 958, 30–33. [Google Scholar] [CrossRef]
- Jegannathan, G.; Ingelberts, H.; Boulanger, S.; Kuijk, M. Current assisted avalanche photo diodes (CAAPDs) with separate absorption and multiplication region in conventional CMOS. Appl. Phys. Lett. 2019, 115, 132101. [Google Scholar] [CrossRef]
- Jegannathan, G.; van den Dries, T.; Kuijk, M. Current-Assisted SPAD with Improved p-n Junction and Enhanced NIR Performance. Sensors 2020, 20, 7105. [Google Scholar] [CrossRef]
- Jegannathan, G.; van den Dries, T.; Kuijk, M. Active-quenched CA-SPADs demonstrating high PDP at NIR wavelengths. In Proceedings of the SPIE Silicon Photonics XVII; Reed, G.T., Knights, A.P., Eds.; SPIE: Bellingham, WA, USA, 2022; Volume 1200608, p. 10. [Google Scholar] [CrossRef]
- Goll, B.; Schneider-Hornstein, K.; Zimmermann, H. Ultra-Low Capacitance Spot PIN Photodiodes. IEEE Photonics J. 2023, 15, 1–6. [Google Scholar] [CrossRef]
- Goll, B.; Schneider-Hornstein, K.; Zimmermann, H. Dot PIN Photodiodes With a Capacitance Down to 1.14 aF/um2. IEEE Photonics Technol. Lett. 2023, 35, 301–304. [Google Scholar] [CrossRef]
- Kohneh Poushi, S.S.; Goll, B.; Schneider-Hornstein, K.; Hofbauer, M.; Zimmermann, H. Area and Bandwidth Enhancement of an n+/p-Well Dot Avalanche Photodiode in 0.35 μm CMOS Technology. Sensors 2023, 23, 3403. [Google Scholar] [CrossRef]
- Vinogradov, S.L. Evaluation of performance of silicon photomultipliers in lidar applications. In Proceedings of the SPIE Photon Counting Applications 2017; Prochazka, I., Sobolewski, R., James, R.B., Eds.; International Society for Optics and Photonics, SPIE: Bellingham, WA, USA, 2017; Volume 10229, p. 102290L. [Google Scholar] [CrossRef]
- Villa, F.; Severini, F.; Madonini, F.; Zappa, F. SPADs and SiPMs Arrays for Long-Range High-Speed Light Detection and Ranging (LiDAR). Sensors 2021, 21, 3839. [Google Scholar] [CrossRef] [PubMed]
- Van Sieleghem, E.; Suss, A.; Boulenc, P.; Rosmeulen, M.; Van Hoof, C. A NIR-enhanced silicon BSI SPAD with low sensitivity to process fluctuations and 15 µm pitch. In Proceedings of the Single Photon Workshop 2019, Politecnico di Milano, Milan, Italy, 21–25 October 2019. [Google Scholar]
- Van Sieleghem, E.; Karve, G.; De Munck, K.; Vinci, A.; Cavaco, C.; Suss, A.; Van Hoof, C.; Lee, J. A Backside-Illuminated Charge-Focusing Silicon SPAD With Enhanced Near-Infrared Sensitivity. IEEE Trans. Electron Devices 2022, 69, 1129–1136. [Google Scholar] [CrossRef]
- Morimoto, K.; Charbon, E. High fill-factor miniaturized SPAD arrays with a guard-ring-sharing technique. Opt. Express 2020, 28, 13068. [Google Scholar] [CrossRef] [PubMed]
- Charbon, E.; Bruschini, C. Large-format SPAD image sensors for biomedical and HEP applications. In Proceedings of the 9th International Conference on New Developments in Photodetection, Troyes, France, 4–8 July 2022. [Google Scholar]
- Morimoto, K. Charge-Focusing SPAD Image Sensors for Low Light Imaging Applications. In Proceedings of the International SPAD Sensor Workshop (ISSW 2020), Edinburgh, UK, 8–10 June 2020. [Google Scholar]
- Morimoto, K. Megapixel SPAD Cameras for Time-Resolved Applications. Ph.D. Thesis, Ecole Polytechnique Federale de Lausanne (EPFL), Lausanne, Switzerland, 2020. [Google Scholar] [CrossRef]
- Morimoto, K.; Iwata, J.; Shinohara, M.; Sekine, H.; Abdelghafar, A.; Tsuchiya, H.; Kuroda, Y.; Tojima, K.; Endo, W.; Maehashi, Y.; et al. 3.2 Megapixel 3D-Stacked Charge Focusing SPAD for Low-Light Imaging and Depth Sensing. In Proceedings of the 2021 IEEE International Electron Devices Meeting (IEDM), San Francisco, CA, USA, 13–15 December 2021; pp. 20.2.1–20.2.4. [Google Scholar] [CrossRef]
- Ota, Y.; Morimoto, K.; Sasago, T.; Shinohara, M.; Kuroda, Y.; Endo, W.; Maehashi, Y.; Maekawa, S.; Tsuchiya, H.; Abdelahafar, A.; et al. A 0.37W 143dB-Dynamic-Range 1Mpixel Backside-Illuminated Charge-Focusing SPAD Image Sensor with Pixel-Wise Exposure Control and Adaptive Clocked Recharging. In Proceedings of the 2022 IEEE International Solid-State Circuits Conference (ISSCC), San Francisco, CA, USA, 20–26 February 2022; pp. 94–96. [Google Scholar] [CrossRef]
- Lecoq, P. Pushing the Limits in Time-of-Flight PET Imaging. IEEE Trans. Radiat. Plasma Med. Sci. 2017, 1, 473–485. [Google Scholar] [CrossRef]
- Lecoq, P. On the way to the 10 ps time-of-flight PET challenge. Eur. Phys. J. Plus 2022, 137, 964. [Google Scholar] [CrossRef] [PubMed]
- Vinogradov, S. SPAD design optimization for fast timing. In Proceedings of the Talk Given at the Brainstorming Workshop on Factors Influencing the Timing Resolution of SiPMs, Calvi, Corsica, France, 7–8 May 2015. [Google Scholar]
- FAST—Fast Advanced Scintillator Timing COST Action TD1401. 2015. Available online: https://fast-cost.web.cern.ch (accessed on 28 May 2023).
- Lecoq, P. The 10 ps TOF-PET Challenge. 2018. Available online: https://the10ps-challenge.org (accessed on 28 May 2023).
- PHOTOQUANT Project of ATTRACT-EU Program. 2019. Available online: https://phase1.attract-eu.com/showroom/project/nano-photonics-applied-to-ultrafast-single-photon-quantum-sensors-photoquant (accessed on 28 May 2023).
- Enoch, S.; Gola, A.; Lecoq, P.; Rivetti, A. Design considerations for a new generation of SiPMs with unprecedented timing resolution. J. Instrum. 2021, 16, P02019. [Google Scholar] [CrossRef]
- Gola, A.; Penna, M.; Ruzzarin, M.; Zorzi, N. Status and perspectives of SiPMs at FBK Fondazione Bruno Kessler. In Proceedings of the Talk Given at the CERN Detector Seminar, Geneva, Switzerland, 21 April 2023. [Google Scholar]
- Sze, S.; Gibbons, G. Effect of junction curvature on breakdown voltage in semiconductors. Solid-State Electron. 1966, 9, 831–845. [Google Scholar] [CrossRef]
- Sze, S.; Ng, K.K. Physics of Semiconductor Devices, 3rd ed.; John Wiley and Sons, Inc.: Hoboken, NJ, USA, 2006. [Google Scholar] [CrossRef]
- Slobodyan, O.; Flicker, J.; Dickerson, J.; Shoemaker, J.; Binder, A.; Smith, T.; Goodnick, S.; Kaplar, R.; Hollis, M. Analysis of the dependence of critical electric field on semiconductor bandgap. J. Mater. Res. 2022, 37, 849–865. [Google Scholar] [CrossRef]
- Saleh, B.; Hayat, M.; Teich, M. Effect of dead space on the excess noise factor and time response of avalanche photodiodes. IEEE Trans. Electron Devices 1990, 37, 1976–1984. [Google Scholar] [CrossRef]
- Hayat, M.; Saleh, B.; Teich, M. Effect of dead space on gain and noise of double-carrier-multiplication avalanche photodiodes. IEEE Trans. Electron Devices 1992, 39, 546–552. [Google Scholar] [CrossRef]
- McIntyre, R. A new look at impact ionization-Part I: A theory of gain, noise, breakdown probability, and frequency response. IEEE Trans. Electron Devices 1999, 46, 1623–1631. [Google Scholar] [CrossRef]
- Yuan, P.; Anselm, K.; Hu, C.; Nie, H.; Lenox, C.; Holmes, A.L.; Streetman, B.; Campbell, J.; McIntyre, R. A new look at impact ionization-Part II: Gain and noise in short avalanche photodiodes. IEEE Trans. Electron Devices 1999, 46, 1632–1639. [Google Scholar] [CrossRef]
- van Vliet, K.; Friedmann, A.; Rucker, L. Theory of carrier multiplication and noise in avalanche devices—Part II: Two-carrier processes. IEEE Trans. Electron Devices 1979, 26, 752–764. [Google Scholar] [CrossRef]
- Hossain, M.M.; David, J.P.R.; Hayat, M.M. Exact Analytical Formula for the Excess Noise Factor for Mixed Carrier Injection Avalanche Photodiodes. J. Light. Technol. 2019, 37, 3315–3323. [Google Scholar] [CrossRef]
- Dalla Betta, G.F.; Pancheri, L.; Boscardin, M.; Paternoster, G.; Piemonte, C.; Cartiglia, N.; Cenna, F.; Bruzzi, M. Design and TCAD simulation of double-sided pixelated low gain avalanche detectors. Nucl. Instrum. Methods Phys. Res. Sect. A Accel. Spectrometers Detect. Assoc. Equip. 2015, 796, 154–157. [Google Scholar] [CrossRef]
- Nešić, D.; Smiljanić, M. Characteristics of an avalanche photodiode with a spherical contact surface. Semicond. Sci. Technol. 1997, 12, 1003–1009. [Google Scholar] [CrossRef]
- Wu, Z.; Guo, J.; Li, Y.; Zhao, Y. Low-Noise 3-D Avalanche Photodiodes. IEEE Photonics J. 2016, 8, 1–10. [Google Scholar] [CrossRef]
- Mun, S.C.L.T.; Tan, C.H.; Goh, Y.L.; Marshall, A.R.J.; David, J.P.R. Modeling of avalanche multiplication and excess noise factor in In0.52Al0.48As avalanche photodiodes using a simple Monte Carlo model. J. Appl. Phys. 2008, 104, 013114. [Google Scholar] [CrossRef]
- Gola, A.; Acerbi, F.; Capasso, M.; Marcante, M.; Mazzi, A.; Paternoster, G.; Piemonte, C.; Regazzoni, V.; Zorzi, N. NUV-Sensitive Silicon Photomultiplier Technologies Developed at Fondazione Bruno Kessler. Sensors 2019, 19, 308. [Google Scholar] [CrossRef] [PubMed]
- Vinogradov, S. Analytical model of SiPM time resolution and order statistics with crosstalk. Nucl. Instrum. Methods Phys. Res. Sect. A Accel. Spectrometers Detect. Assoc. Equip. 2015, 787, 229–233. [Google Scholar] [CrossRef]
- Gundacker, S.; Martinez Turtos, R.; Kratochwil, N.; Pots, R.H.; Paganoni, M.; Lecoq, P.; Auffray, E. Experimental time resolution limits of modern SiPMs and TOF-PET detectors exploring different scintillators and Cherenkov emission. Phys. Med. Biol. 2020, 65, 025001. [Google Scholar] [CrossRef] [PubMed]















Disclaimer/Publisher’s Note: The statements, opinions and data contained in all publications are solely those of the individual author(s) and contributor(s) and not of MDPI and/or the editor(s). MDPI and/or the editor(s) disclaim responsibility for any injury to people or property resulting from any ideas, methods, instructions or products referred to in the content. |
© 2023 by the author. Licensee MDPI, Basel, Switzerland. This article is an open access article distributed under the terms and conditions of the Creative Commons Attribution (CC BY) license (https://creativecommons.org/licenses/by/4.0/).
Share and Cite
Vinogradov, S. Avalanche Photodiodes and Silicon Photomultipliers of Non-Planar Designs. Sensors 2023, 23, 5369. https://doi.org/10.3390/s23125369
Vinogradov S. Avalanche Photodiodes and Silicon Photomultipliers of Non-Planar Designs. Sensors. 2023; 23(12):5369. https://doi.org/10.3390/s23125369
Chicago/Turabian StyleVinogradov, Sergey. 2023. "Avalanche Photodiodes and Silicon Photomultipliers of Non-Planar Designs" Sensors 23, no. 12: 5369. https://doi.org/10.3390/s23125369
APA StyleVinogradov, S. (2023). Avalanche Photodiodes and Silicon Photomultipliers of Non-Planar Designs. Sensors, 23(12), 5369. https://doi.org/10.3390/s23125369

