Surface Roughness Effects on the Vibration Characteristics of AT-Cut Quartz Crystal Plate
Abstract
1. Introduction
2. Theoretical Analysis of a Quartz Crystal Plate
3. Numerical Results and Discussions
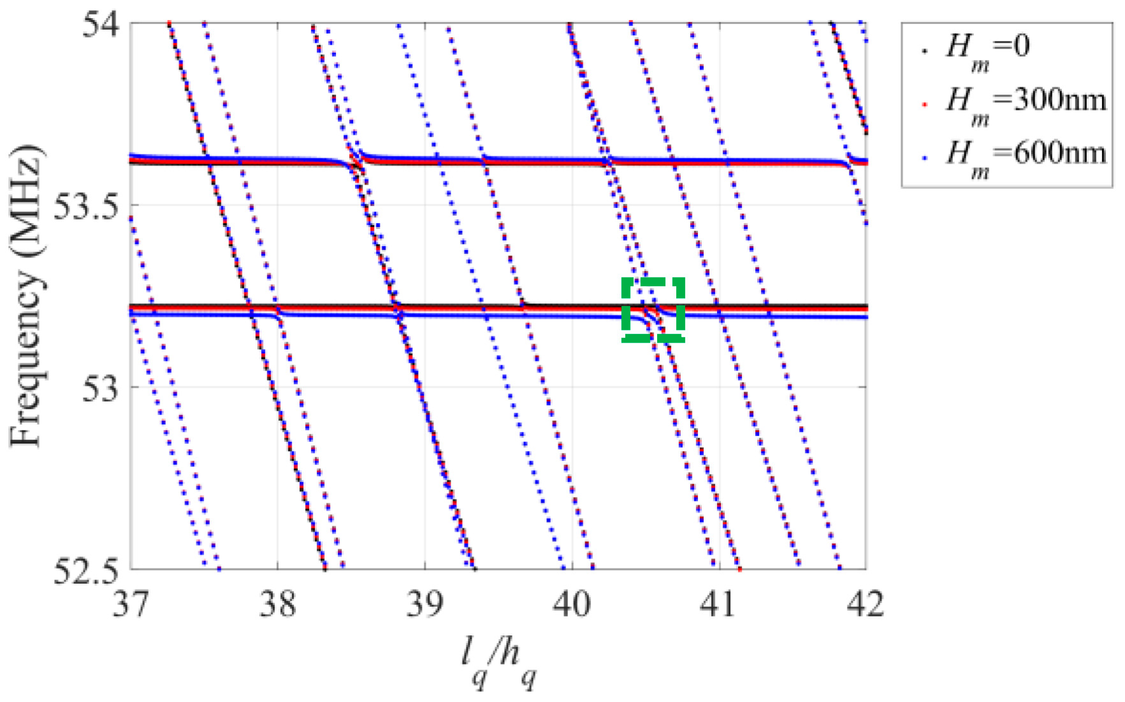
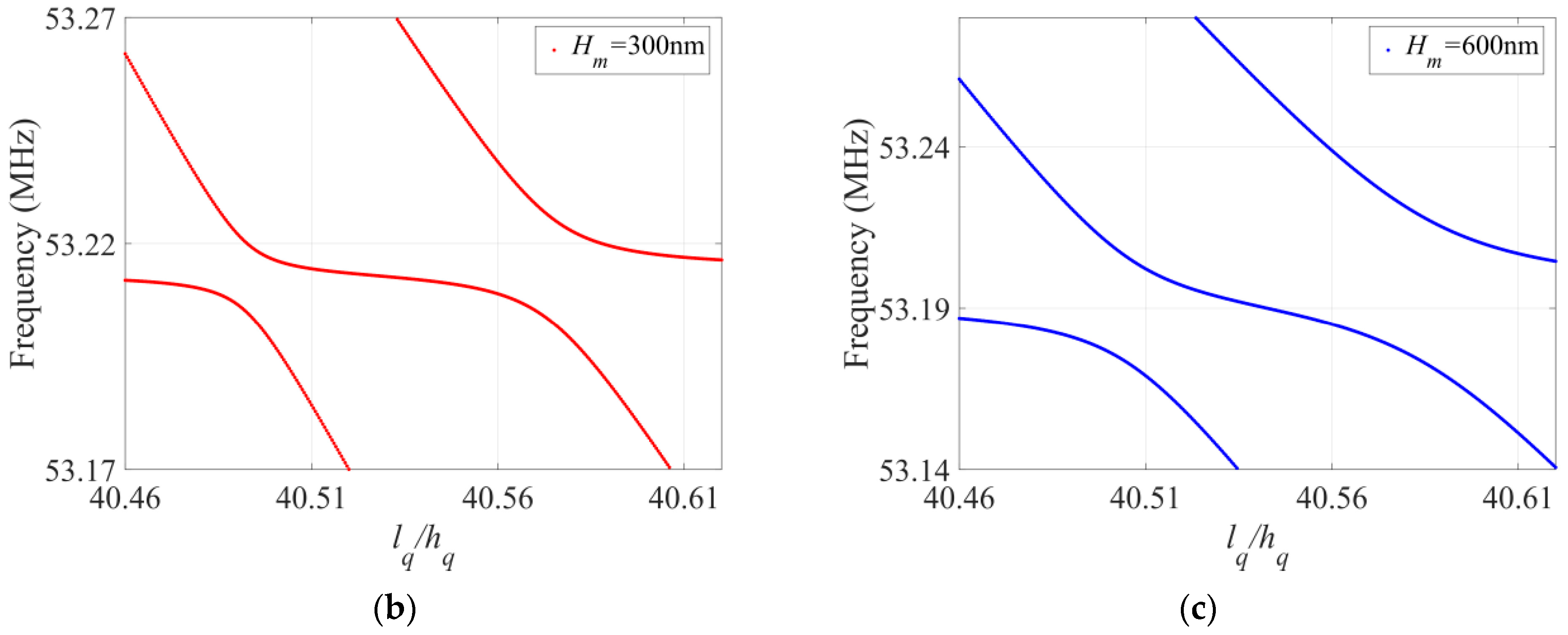
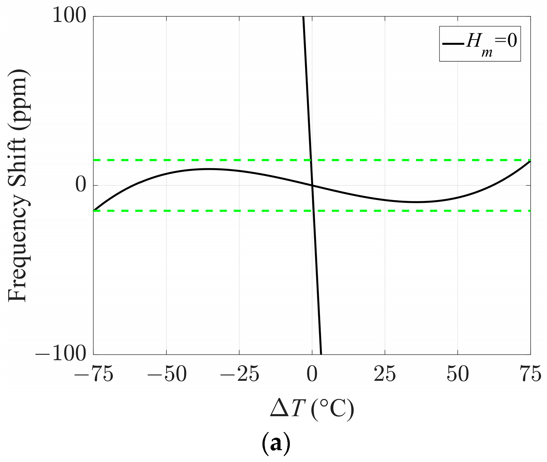
3.1. Free Vibrations Analysis
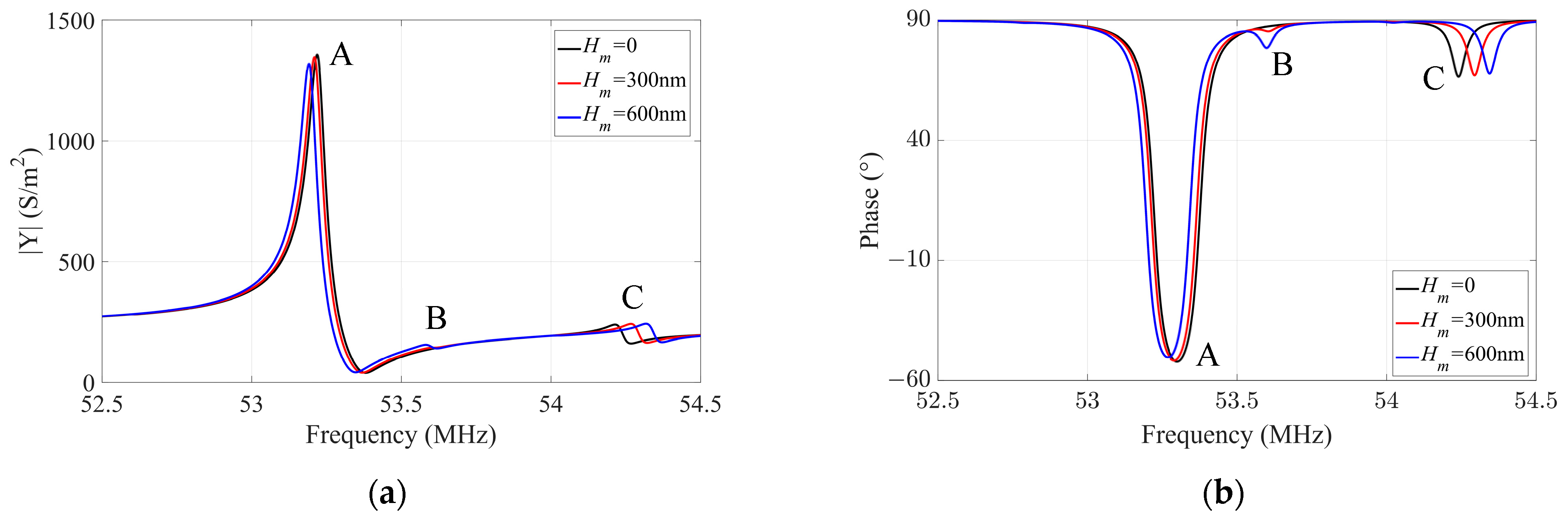
3.2. Forced Vibration Analysis
4. Conclusions
- (1)
- The resonant frequencies, frequency–temperature curves and vibration modes of the quartz crystal plates are investigated via the free vibration analysis. It is shown that the crystal surface roughness reduces the operating frequency of resonators and further causes mode coupling, which is the primary reason for the activity dip in the resonator when subjected to temperature variations.
- (2)
- For forced vibration analysis, the admittance response and phase response curve of the quartz crystal plate are calculated through the piezoelectricity module. It is shown that surface roughness decreases the admittance and phase values of resonators. When the crystal surface is rough, the positive and negative charges generated by the piezoelectric effect cannot be completely balanced, resulting in the generation of ripples in the admittance and phase values, which is not conducive to the operation of resonators in the circuit.
Author Contributions
Funding
Institutional Review Board Statement
Informed Consent Statement
Data Availability Statement
Conflicts of Interest
References
- Hajime, S.; Kuraudo, Y.; Masayuki, S.; Takashi, A. Temperature characteristics of a thickness shear mode quartz crystal resonator bonded to a support substrate. Appl. Phys. Lett. 2022, 121, 252903. [Google Scholar] [CrossRef]
- Matko, V. Next generation AT-Cut quartz crystal sensing devices. Sensors 2011, 11, 4474–4482. [Google Scholar] [CrossRef]
- Murozaki, Y.; Nogawa, K.; Arai, F. Miniaturized load sensor using quartz crystal resonator constructed through microfabrication and bonding. Robomech J. 2014, 1, 3. [Google Scholar] [CrossRef]
- Mindlin, R.D.; Spencer, W.J. Anharmonic, Thickness-twist overtones of thickness-shear and flexural vibrations of rectangular, AT-Cut quartz plates. J. Acoust. Soc. Am. 1967, 42, 1268–1277. [Google Scholar] [CrossRef]
- Wang, J.N.; Hu, Y.T.; Yang, J.S. Frequency spectra of AT-cut quartz plates with electrodes of unequal thickness. IEEE Trans. Ultrason. Ferroelectr. Freq. Control 2010, 57, 1146–1151. [Google Scholar] [CrossRef] [PubMed]
- Li, N.; Wang, B.; Qian, Z.H. Coupling vibration analysis of trapped-energy rectangular quartz resonators by variational formulation of Mindlin’s theory. Sensors 2018, 18, 986. [Google Scholar] [CrossRef]
- Chen, G.J.; Wu, R.X.; Wang, J.; Du, J.K.; Yang, J.S. Five-mode frequency spectra of x3-dependent modes in AT-cut quartz resonators. IEEE Trans. Ultrason. Ferroelectr. Freq. Control 2012, 59, 811–816. [Google Scholar] [CrossRef]
- Yong, Y.K.; Stewart, J.T. Mass-frequency influence surface, mode shapes, and frequency spectrum of a rectangular AT-cut quartz plate. IEEE Trans. Ultrason. Ferroelectr. Freq. Control 1991, 38, 67–73. [Google Scholar] [CrossRef]
- Zhang, C.L.; Chen, W.Q.; Yang, J.S. Electrically forced vibration of a rectangular piezoelectric plate of monoclinic crystals. Int. J. Appl. Electrom. 2009, 31, 207–218. [Google Scholar] [CrossRef]
- Liu, B.; Jiang, Q.; Hu, Y.; Yang, J.S. High-frequency vibrations of piezoelectric plates driven by lateral electric fields. Int. J. Eng. Sci. 2011, 49, 1435–1442. [Google Scholar] [CrossRef]
- Wang, B.; Dai, X.Y.; Zhao, X.T.; Qian, Z.H. A semi-analytical solution for the thickness-vibration of centrally partially-electroded circular AT-Cut quartz resonators. Sensors 2017, 17, 1820. [Google Scholar] [CrossRef]
- He, H.J.; Yang, J.S.; Zhang, W.P.; Wang, J. Effects of mode coupling on the admittance of an AT-cut quartz thickness-shear resonator. Chin. Phys. B 2013, 22, 47702. [Google Scholar] [CrossRef]
- Zhao, Z.N.; Wang, B.; Qian, Z.H.; Yong, Y.K. A novel approach to quantitative predictions of high-frequency coupled vibrations in layered piezoelectric plates. Int. J. Eng. Sci. 2020, 157, 103407. [Google Scholar] [CrossRef]
- Li, N.; Qian, Z.H.; Yang, S.J. Two-dimensional equations for piezoelectric thin-film acoustic wave resonators. Int. J. Solids Struct. 2017, 110–111, 170–177. [Google Scholar] [CrossRef]
- Koga, I.; Aruga, M.; Yoshinaka, Y. Theory of plane elastic waves in a piezoelectric crystalline medium and determination of elastic and piezoelectric constants of quartz. Phys. Rev. 1958, 109, 1467–1473. [Google Scholar] [CrossRef]
- Bechmann, R.; Ballato, A.D.; Lukaszek, T.J. Frequency-temperature characteristics of quartz resonators derived from the temperature behavior of the elastic constants. In Proceedings of the 16th Annual Symposium on Frequency Control, Atlantic City, NJ, USA, 6–8 June 1962; pp. 77–109. [Google Scholar] [CrossRef]
- Bechmann, R.; Ballato, A.D.; Lukaszek, T.J. Frequency-temperature behavior of thickness modes of double-rotated quartz plates. In Proceedings of the 15th Annual Symposium on Frequency Control, Atlantic City, NJ, USA, 31 May–2 June 1961; pp. 22–48. [Google Scholar] [CrossRef]
- Kahan, A. Turnover temperatures for doubly rotated quartz. In Proceedings of the 36th Annual Symposium on Frequency Control, Philadelphia, PA, USA, 2–4 June 1982; pp. 170–180. [Google Scholar] [CrossRef]
- Yong, Y.K.; Wei, W. Lagrangian temperature coefficients of the piezoelectric stress constants and dielectric permittivity of quartz. In Proceedings of the 2000 IEEE/EIA International Frequency Control Symposium and Exhibition, Kansas, MI, USA, 9 June 2000; pp. 364–372. [Google Scholar] [CrossRef]
- Zelenka, J.; Lee, P.C.Y. On the Temperature coefficients of the elastic stiffnesses and compliances of Alpha-Quartz. IEEE Trans. Sonics Ultrason. 1971, 18, 79–80. [Google Scholar] [CrossRef]
- Zelenka, J. The influence of electrodes on the frequency-temperature characteristics of rotated Y-cut quartz resonators. Ultrasonics 1997, 35, 171–177. [Google Scholar] [CrossRef]
- Sekimoto, H.; Goka, S.; Ishizaki, A.; Watanabe, Y. Frequency-temperature behavior of spurious vibrations of rectangular AT-cut quartz plates. IEEE Trans. Ultrason. Ferroelectr. Freq. Control 1998, 45, 1017–1021. [Google Scholar] [CrossRef]
- Huang, Q.; Wang, J.; Gan, N.; Ma, T.F.; Huang, B.; Neubig, B.; Johannsmann, D. An analysis of the thermal behavior and effects of circular quartz crystal resonators for microbalance applications. IEEE Trans. Ultrason. Ferroelectr. Freq. Control 2022, 69, 2569–2578. [Google Scholar] [CrossRef]
- Ballato, A.; Tilton, R. Electronic activity dip measurement. IEEE Trans. Instrum. Meas. 1978, 27, 59–65. [Google Scholar] [CrossRef]
- Koyama, M.; Watanabe, Y.; Sekimoto, H.; Oomura, Y. An experimental study of frequency jumps during the aging of quartz oscillators. IEEE Trans. Ultrason. Ferroelectr. Freq. Control 1996, 43, 907–910. [Google Scholar] [CrossRef]
- Dulmet, B.; Fichet, F. Couplings of thickness vibrations in contoured resonators and their effect on frequency spectrum and frequency temperature behavior. In Proceedings of the IEEE 1984 Ultrasonics Symposium, Dallas, TX, USA, 14–16 November 1984; pp. 383–393. [Google Scholar] [CrossRef]
- Bourquin, R.; Dulmet, B.; Genestier, G. Jumps in frequency temperature response of contoured resonators: An analysis performed with a perturbation model and X-ray patterns. In Proceedings of the IEEE 1984 Ultrasonics Symposium, Dallas, TX, USA, 14–16 November 1984; pp. 394–399. [Google Scholar] [CrossRef]
- Dulmet, B. Finite element analysis of activity-dips in BAW resonators and sensors. In Proceedings of the 2002 IEEE International Frequency Control Symposium and PDA Exhibition, New Orleans, LO, USA, 31 May 2002; pp. 29–31. [Google Scholar] [CrossRef]
- Imai, T.; Tanaka, M.; Yong, Y.K. Surface charge measurement/calculations for the prediction of spurious modes and frequency jumps in AT-cut quartz resonators. In Proceedings of the 2001 IEEE International Frequncy Control Symposium and PDA Exhibition, Seattle, WA, USA, 8 June 2001; pp. 616–622. [Google Scholar] [CrossRef]
- Wang, P.Y.; Ling, M.X.; Li, M.H. Design and analysis of quartz crystal microbalance with a new ring-shaped interdigital electrode. Sensors 2022, 22, 7422. [Google Scholar] [CrossRef] [PubMed]
- Rahimi, S.; Abdi, Y.; Arzi, E. Impact of TiO2/Graphene-Oxide coated on quartz crystal resonator on the sensing performance of NH3, N2 and ethanol at room temperature. Phys. B 2021, 623, 413348. [Google Scholar] [CrossRef]
- Yakuhina, A.V.; Kadochkin, A.S.; Gorelov, D.V.; Svetukhin, V.V.; Generalov, S.S.; Amelichev, V.V. Influence of the surface roughness of a silicon disk resonator on its Q-factor. Photonics 2021, 8, 225. [Google Scholar] [CrossRef]
- Saddik, G.N.; Son, J.; Stemmer, S.; York, R.A. Improvement of barium strontium titanate solidly mounted resonator quality factor by reduction in electrode surface roughness. J. Appl. Phys. 2011, 109, 91606. [Google Scholar] [CrossRef]
- Urbakh, M.; Daikhin, L. Roughness effect of the frequency of a quartz-crystal resonator in contact with a liquid. Phys. Rev. B. 1994, 49, 4866–4870. [Google Scholar] [CrossRef]
- Theisen, L.A.; Martin, S.J.; Hillman, A.R. A model for the quartz crystal microbalance frequency response to wetting characteristics of corrugated surfaces. Anal. Chem. 2004, 76, 796–804. [Google Scholar] [CrossRef]
- Kunert, C.; Harting, J. Roughness induced boundary slip in microchannel flows. Phys. Rev. Lett. 2007, 17, 17600. [Google Scholar] [CrossRef]
- Whitehouse, D.J.; Archard, J.F. The properties of random surfaces of significance in their contact. Proc. R. Soc. Lond. A Math. Phys. 1970, 316, 97–121. [Google Scholar] [CrossRef]
- Zhang, Q.; Piao, S.C.; Chen, H.J. A theoretical model of the intermittent contact of piezoelectric actuator based on Greenwood-Williamson theory. Ultrasonics 2021, 114, 106428. [Google Scholar] [CrossRef]
- Lee, P.C.Y.; Yong, Y.K. Frequency-temperature behavior of thickness vibrations of doubly rotated quartz plates affected by plate dimensions and orientations. J. Appl. Phys. 1986, 60, 2327–2342. [Google Scholar] [CrossRef]
- Lee, P.C.Y.; Yong, Y.K. Temperature derivatives of elastic stiffness derived from the frequency-temperature behavior of quartz plates. J. Appl. Phys. 1984, 56, 1514–1521. [Google Scholar] [CrossRef]
- Yong, Y.K.; Wu, W. Lagrangean versus classical formulation of frequency temperature problems in quartz resonators. In Proceedings of the 2001 IEEE International Frequncy Control Symposium and PDA Exhibition, Seattle, WA, USA, 8 June 2001; pp. 828–837. [Google Scholar] [CrossRef]
- Zhang, W.P. Analytical modeling of resistance for AT-cut quartz strips. In Proceedings of the 1998 IEEE International Frequency Control Symposium, Pasadena, CA, USA, 29 May 1998; pp. 981–988. [Google Scholar] [CrossRef]












Disclaimer/Publisher’s Note: The statements, opinions and data contained in all publications are solely those of the individual author(s) and contributor(s) and not of MDPI and/or the editor(s). MDPI and/or the editor(s) disclaim responsibility for any injury to people or property resulting from any ideas, methods, instructions or products referred to in the content. |
© 2023 by the authors. Licensee MDPI, Basel, Switzerland. This article is an open access article distributed under the terms and conditions of the Creative Commons Attribution (CC BY) license (https://creativecommons.org/licenses/by/4.0/).
Share and Cite
Li, M.; Li, P.; Li, N.; Liu, D.; Kuznetsova, I.E.; Qian, Z. Surface Roughness Effects on the Vibration Characteristics of AT-Cut Quartz Crystal Plate. Sensors 2023, 23, 5168. https://doi.org/10.3390/s23115168
Li M, Li P, Li N, Liu D, Kuznetsova IE, Qian Z. Surface Roughness Effects on the Vibration Characteristics of AT-Cut Quartz Crystal Plate. Sensors. 2023; 23(11):5168. https://doi.org/10.3390/s23115168
Chicago/Turabian StyleLi, Mengjie, Peng Li, Nian Li, Dianzi Liu, Iren E. Kuznetsova, and Zhenghua Qian. 2023. "Surface Roughness Effects on the Vibration Characteristics of AT-Cut Quartz Crystal Plate" Sensors 23, no. 11: 5168. https://doi.org/10.3390/s23115168
APA StyleLi, M., Li, P., Li, N., Liu, D., Kuznetsova, I. E., & Qian, Z. (2023). Surface Roughness Effects on the Vibration Characteristics of AT-Cut Quartz Crystal Plate. Sensors, 23(11), 5168. https://doi.org/10.3390/s23115168

