Exploring the Applicability of Physiological Monitoring to Manage Physical Fatigue in Firefighters
Abstract
1. Introduction
2. Materials and Methods
2.1. Experimental Design
2.2. Data Processing and Modelling
2.2.1. Physiological Variables
2.2.2. Data Preprocessing
2.2.3. Physical Fatigue Classification Model
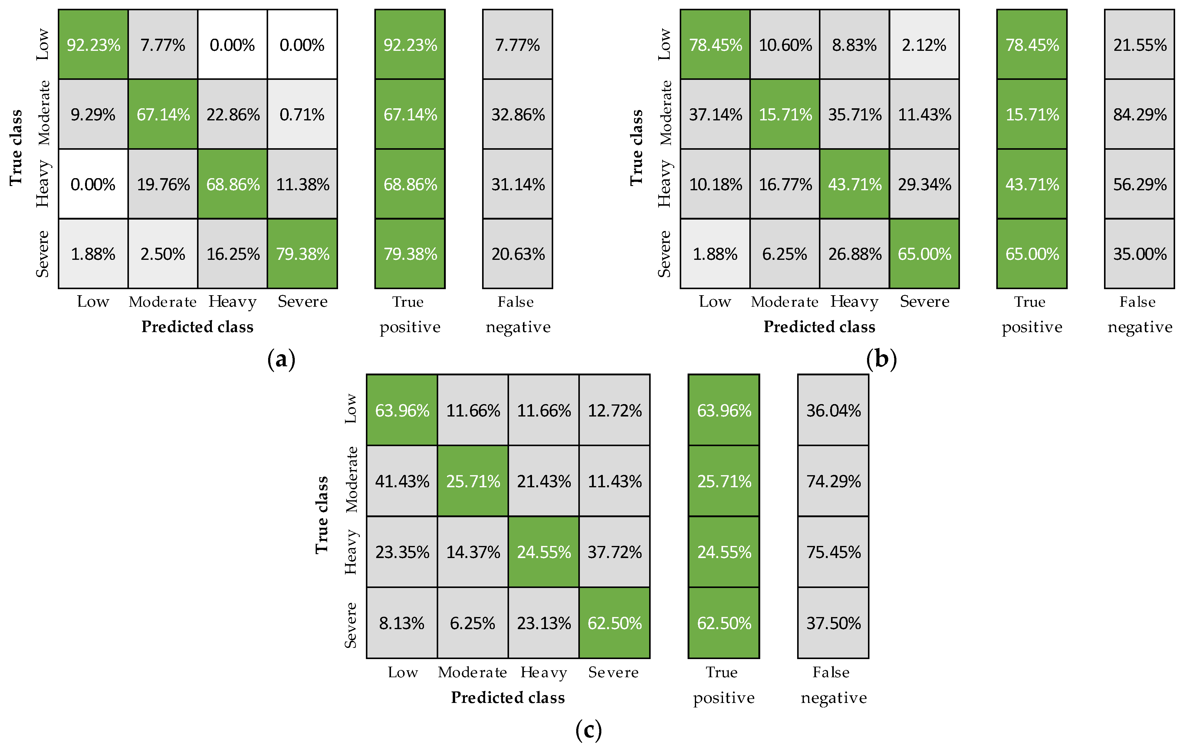
3. Results
4. Discussion
5. Conclusions
Author Contributions
Funding
Institutional Review Board Statement
Informed Consent Statement
Data Availability Statement
Acknowledgments
Conflicts of Interest
References
- Tanaka, M.; Tajima, S.; Mizuno, K.; Ishii, A.; Konishi, Y.; Miike, T.; Watanabe, Y. Frontier studies on fatigue, autonomic nerve dysfunction, and sleep-rhythm disorder. J. Physiol. Sci. 2015, 65, 483–498. [Google Scholar] [CrossRef] [PubMed]
- Techera, U.; Hallowell, M.; Littlejohn, R.; Rajendran, S. Measuring and Predicting Fatigue in Construction: Empirical Field Study. J. Constr. Eng. Manag. 2018, 144, 04018062. [Google Scholar] [CrossRef]
- Adão Martins, N.R.; Annaheim, S.; Spengler, C.M.; Rossi, R.M. Fatigue Monitoring through Wearables: A State-of-the-Art Review. Front. Physiol. 2021, 12, 790292. [Google Scholar] [CrossRef] [PubMed]
- Hooda, R.; Joshi, V.; Shah, M. A comprehensive review of approaches to detect fatigue using machine learning techniques. Chronic Dis. Transl. Med. 2021, 8, 26–35. [Google Scholar] [CrossRef]
- Escobar-Linero, E.; Domínguez-Morales, M.; Sevillano, J.L. Worker’s physical fatigue classification using neural networks. Expert Syst. Appl. 2022, 198, 116784. [Google Scholar] [CrossRef]
- Bustos, D.; Guedes, J.; Vaz, M.; Pombo, E.; Fernandes, R.J.; Torres Costa, J.; Santos Baptista, J. Non-Invasive Physiological Monitoring for Physical Exertion and Fatigue Assessment in Military Personnel: A Systematic Review. Int. J. Environ. Res. Public Health 2021, 18, 8815. [Google Scholar] [CrossRef]
- Tomes, C.; Schram, B.; Orr, R. Relationships between Heart Rate Variability, Occupational Performance, and Fitness for Tactical Personnel: A Systematic Review. Front. Public Health 2020, 8, 583336. [Google Scholar] [CrossRef]
- Bustos, D.; Guedes, J.C.; Vaz, M.; Costa, J.T.; Fernandes, R.J.; Santos Baptista, J. Fatigue Assessment through Physiological Monitoring during March-Run Series: Preliminary Results. In Occupational and Environmental Safety and Health III; Arezes, P.M., Baptista, J.S., Carneiro, P., Castelo Branco, J., Eds.; Springer International Publishing: Cham, Switzerland, 2022; Volume 406, pp. 307–319. [Google Scholar]
- Nazari, G.; Lu, S.; MacDermid, J.C. Quantifying physiological responses during simulated tasks among Canadian firefighters: A systematic review and meta-analysis. J. Mil. Veteran Fam. Health 2021, 7, 55–75. [Google Scholar] [CrossRef]
- Le, A.; McNulty, L.A.; Dyal, M.-A.; DeJoy, D.M.; Smith, T.D. Firefighter Overexertion: A Continuing Problem Found in an Analysis of Non-Fatal Injury among Career Firefighters. Int. J. Environ. Res. Public Health 2020, 17, 7906. [Google Scholar] [CrossRef]
- Barros, B.; Oliveira, M.; Morais, S. Firefighters’ occupational exposure: Contribution from biomarkers of effect to assess health risks. Environ. Int. 2021, 156, 106704. [Google Scholar] [CrossRef]
- Bustos, D.; Guedes, J.C.; Santos Baptista, J.; Vaz, M.; Torres Costa, J.; Fernandes, R.J. Physiological Monitoring Systems for Firefighters (A Short Review). In Occupational and Environmental Safety and Health III; Arezes, P.M., Baptista, J.S., Carneiro, P., Castelo Branco, J., Eds.; Springer International Publishing: Cham, Switzerland, 2022; Volume 406, pp. 293–305. [Google Scholar]
- Buller, M.J.; Welles, A.P.; Friedl, K.E. Wearable physiological monitoring for human thermal-work strain optimisation. J. Appl. Physiol. 2017, 124, 432–441. [Google Scholar] [CrossRef]
- Moshawrab, M.; Adda, M.; Bouzouane, A.; Ibrahim, H.; Raad, A. Smart Wearables for the Detection of Occupational Physical Fatigue: A Literature Review. Sensors 2022, 22, 7472. [Google Scholar] [CrossRef] [PubMed]
- Arias-Torres, D.; José; Hernández, N.; Adán; Wister, M.A. Detection of fatigue on gait using accelerometer data and supervised machine learning. Int. J. Grid Util. Comput. 2020, 11, 474–485. [Google Scholar] [CrossRef]
- Zhang, L.; Diraneyya, M.; Ryu, J.; Haas, C.; Abdel-Rahman, E. Automated monitoring of physical fatigue using jerk. In Proceedings of the ISARC, International Symposium on Automation and Robotics in Construction, Banff, AB, Canada, 21–24 May 2019; pp. 989–997. [Google Scholar]
- Sedighi Maman, Z.; Chen, Y.-J.; Baghdadi, A.; Lombardo, S.; Cavuoto, L.A.; Megahed, F.M. A data analytic framework for physical fatigue management using wearable sensors. Expert Syst. Appl. 2020, 155, 113405. [Google Scholar] [CrossRef]
- Nasirzadeh, F.; Mir, M.; Hussain, S.; Tayarani Darbandy, M.; Khosravi, A.; Nahavandi, S.; Aisbett, B. Physical Fatigue Detection Using Entropy Analysis of Heart Rate Signals. Sustainability 2020, 12, 2714. [Google Scholar] [CrossRef]
- Aryal, A.; Ghahramani, A.; Becerik-Gerber, B. Monitoring fatigue in construction workers using physiological measurements. Autom. Constr. 2017, 82, 154–165. [Google Scholar] [CrossRef]
- Aguirre, A.; Pinto, M.J.; Cifuentes, C.A.; Perdomo, O.; Díaz, C.A.R.; Múnera, M. Machine Learning Approach for Fatigue Estimation in Sit-to-Stand Exercise. Sensors 2021, 21, 5006. [Google Scholar] [CrossRef]
- Ameli, S.; Naghdy, F.; Stirling, D.; Naghdy, G.; Aghmesheh, M. Quantitative and non-invasive measurement of exercise-induced fatigue. Proc. Inst. Mech. Eng. Part P J. Sport. Eng. Technol. 2018, 233, 34–45. [Google Scholar] [CrossRef]
- Tsao, L.; Ma, L.; Papp, C.-T. Using Non-invasive Wearable Sensors to Estimate Perceived Fatigue Level in Manual Material Handling Tasks. In Advances in Human Factors in Wearable Technologies and Game Design; Ahram, T.Z., Ed.; Springer International Publishing: Cham, Switzerland, 2019; Volume 795, pp. 65–74. [Google Scholar]
- Sedighi Maman, Z.; Alamdar Yazdi, M.A.; Cavuoto, L.A.; Megahed, F.M. A data-driven approach to modeling physical fatigue in the workplace using wearable sensors. Appl. Ergon. 2017, 65, 515–529. [Google Scholar] [CrossRef]
- Kupschick, S.; Pendzich, M.; Gardas, D.; Jürgensohn, T.; Wischniewski, S.; Adolph, L. Predicting Firefighters’ Exertion Based on Machine Learning Techniques; Federal Institute for Occupational Safety and Health: Dortmund, Germany, 2016. [Google Scholar] [CrossRef]
- Pluntke, U.; Gerke, S.; Sridhar, A.; Weiss, J.; Michel, B. Evaluation and Classification of Physical and Psychological Stress in Firefighters using Heart Rate Variability. In Proceedings of the 41st Annual International Conference of the IEEE Engineering in Medicine and Biology Society (EMBC), Berlin, Germany, 23–27 July 2019; pp. 2207–2212. [Google Scholar]
- Bustos, D.; Cardoso, F.; Rios, M.; Vaz, M.; Guedes, J.; Torres Costa, J.; Santos Baptista, J.; Fernandes, R.J. Machine Learning Approach to Model Physical Fatigue during Incremental Exercise among Firefighters. Sensors 2023, 23, 194. [Google Scholar] [CrossRef]
- Cardoso, F.; Coelho, E.P.; Gay, A.; Vilas-Boas, J.P.; Pinho, J.C.; Pyne, D.B.; Fernandes, R.J. Case Study: A Jaw-Protruding Dental Splint Improves Running Physiology and Kinematics. Int. J. Sport. Physiol. Perform. 2022, 17, 791–795. [Google Scholar] [CrossRef]
- Cardoso, F.; Monteiro, A.S.; Vilas-Boas, J.P.; Pinho, J.C.; Pyne, D.B.; Fernandes, R.J. Effects of Wearing a 50% Lower Jaw Advancement Splint on Biophysical and Perceptual Responses at Low to Severe Running Intensities. Life 2022, 12, 253. [Google Scholar] [CrossRef]
- Guedes, J.C.; Costa, E.Q.; Baptista, J.S. Using a Climatic Chamber to Measure the Human Psychophysiological Response under Different Combinations of Temperature and Humidity. Thermol. Int. 2012, 22, 49–54. Available online: https://ww.uhlen.at/thermology-international/archive/EAT2012_Book_of_Proceedings.pdf#page=50 (accessed on 13 January 2023).
- Sousa, A.N.A.; Figueiredo, P.; Zamparo, P.; Pyne, D.B.; Vilas-Boas, J.P.; Fernandes, R.J. Exercise Modality Effect on Bioenergetical Performance at VO2max Intensity. Med. Sci. Sport. Exerc. 2015, 47, 1705–1713. Available online: https://journals.lww.com/acsm-msse/Fulltext/2015/08000/Exercise_Modality_Effect_on_Bioenergetical.19.aspx (accessed on 20 January 2023). [CrossRef]
- Bongers, C.C.W.G.; Daanen, H.A.M.; Bogerd, C.P.; Hopman, M.T.E.; Eijsvogels, T.M.H. Validity, Reliability, and Inertia of Four Different Temperature Capsule Systems. Med. Sci. Sport. Exerc. 2018, 50, 169–175. Available online: https://journals.lww.com/acsm-msse/Fulltext/2018/01000/Validity,_Reliability,_and_Inertia_of_Four.21.aspx (accessed on 10 January 2023). [CrossRef] [PubMed]
- Pratas, P.; Bustos, D.; Guedes, J.C.; Mendes, J.; Baptista, J.S.; Vaz, M. Physiological Monitoring Systems for Fatigue Detection within Firefighters: A Brief Systematic Review. In Occupational and Environmental Safety and Health IV; Arezes, P.M., Baptista, J.S., Melo, R.B., Castelo Branco, J., Eds.; Springer International Publishing: Cham, Switzerland, 2023; Volume 449, pp. 469–486. [Google Scholar]
- Friedl, K.E. Military applications of soldier physiological monitoring. J. Sci. Med. Sport 2018, 21, 1147–1153. [Google Scholar] [CrossRef] [PubMed]
- Bustos, D.; Guedes, J.; Santos Baptista, J.; Vaz, M.; Torres Costa, J.; Fernandes, R.J. Applicability of Physiological Monitoring Systems within Occupational Groups: A Systematic Review. Sensors 2021, 21, 7249. [Google Scholar] [CrossRef]
- Smith, D.L.; Haller, J.M.; Benedict, R.; Moore-Merrell, L. Firefighter incident rehabilitation: Interpreting heart rate responses. Prehospital Emerg. Care 2016, 20, 28–36. [Google Scholar] [CrossRef] [PubMed]
- Johnson, Q.R.; Goatcher, J.D.; Diehl, C.; Lockie, R.G.; Orr, R.M.; Alvar, B.; Smith, D.B.; Dawes, J.J. Heart Rate Responses during Simulated Fire Ground Scenarios among Full-Time Firefighters. Int. J. Exerc. Sci. 2020, 13, 374–382. Available online: https://www.ncbi.nlm.nih.gov/pmc/articles/PMC7039485/ (accessed on 13 February 2023).
- Nicolò, A.; Massaroni, C.; Schena, E.; Sacchetti, M. The Importance of Respiratory Rate Monitoring: From Healthcare to Sport and Exercise. Sensors 2020, 20, 6396. [Google Scholar] [CrossRef]
- Anwer, S.; Li, H.; Antwi-Afari, M.F.; Umer, W.; Wong, A.Y.L. Cardiorespiratory and Thermoregulatory Parameters Are Good Surrogates for Measuring Physical Fatigue during a Simulated Construction Task. Int. J. Environ. Res. Public Health 2020, 17, 5418. [Google Scholar] [CrossRef]
- Umer, W.; Li, H.; Yantao, Y.; Antwi-Afari, M.F.; Anwer, S.; Luo, X. Physical exertion modeling for construction tasks using combined cardiorespiratory and thermoregulatory measures. Autom. Constr. 2020, 112, 103079. [Google Scholar] [CrossRef]
- Alhadad, S.B.; Tan, P.M.S.; Lee, J.K.W. Efficacy of Heat Mitigation Strategies on Core Temperature and Endurance Exercise: A Meta-Analysis. Front. Physiol. 2019, 10, 71. [Google Scholar] [CrossRef] [PubMed]
- Ioannou, L.G.; Mantzios, K.; Tsoutsoubi, L.; Nintou, E.; Vliora, M.; Gkiata, P.; Dallas, C.N.; Gkikas, G.; Agaliotis, G.; Sfakianakis, K.; et al. Occupational Heat Stress: Multi-Country Observations and Interventions. Int. J. Environ. Res. Public Health 2021, 18, 6303. [Google Scholar] [CrossRef]
- Pinto-Bernal, M.J.; Cifuentes, C.A.; Perdomo, O.; Rincón-Roncancio, M.; Múnera, M. A Data-Driven Approach to Physical Fatigue Management Using Wearable Sensors to Classify Four Diagnostic Fatigue States. Sensors 2021, 21, 6401. [Google Scholar] [CrossRef] [PubMed]
- Umer, W. Simultaneous monitoring of physical and mental stress for construction tasks using physiological measures. J. Build. Eng. 2022, 46, 103777. [Google Scholar] [CrossRef]
- Jiang, T.; Gradus, J.L.; Rosellini, A.J. Supervised Machine Learning: A Brief Primer. Behav. Ther. 2020, 51, 675–687. [Google Scholar] [CrossRef]
- Chopra, S.; Dhiman, G.; Sharma, A.; Shabaz, M.; Shukla, P.; Arora, M. Taxonomy of Adaptive Neuro-Fuzzy Inference System in Modern Engineering Sciences. Comput. Intell. Neurosci. 2021, 2021, 6455592. [Google Scholar] [CrossRef]
- Torti, E.; Fontanella, A.; Musci, M.; Blago, N.; Pau, D.; Leporati, F.; Piastra, M. Embedding Recurrent Neural Networks in Wearable Systems for Real-Time Fall Detection. Microprocess. Microsyst. 2019, 71, 102895. [Google Scholar] [CrossRef]
- Jahangiri, M.; Solukloei, H.R.J.; Kamalinia, M. A neuro-fuzzy risk prediction methodology for falling from scaffold. Saf. Sci. 2019, 117, 88–99. [Google Scholar] [CrossRef]
- Cui, S.; Li, C.; Chen, Z.; Wang, J.; Yuan, J. Research on Risk Prediction of Dyslipidemia in Steel Workers Based on Recurrent Neural Network and LSTM Neural Network. IEEE Access 2020, 8, 34153–34161. [Google Scholar] [CrossRef]
- Talasila, V.; Madhubabu, K.; Madhubabu, K.; Mahadasyam, M.; Atchala, N.; Kande, L. The prediction of diseases using rough set theory with recurrent neural network in big data analytics. Int. J. Intell. Eng. Syst. 2020, 13, 10–18. [Google Scholar] [CrossRef]
- Nath, N.D.; Behzadan, A.H.; Paal, S.G. Deep learning for site safety: Real-time detection of personal protective equipment. Autom. Constr. 2020, 112, 103085. [Google Scholar] [CrossRef]
- Zhang, M.; Shi, R.; Yang, Z. A critical review of vision-based occupational health and safety monitoring of construction site workers. Saf. Sci. 2020, 126, 104658. [Google Scholar] [CrossRef]
- Shokat, S.; Riaz, R.; Rizvi, S.S.; Abbasi, A.M.; Abbasi, A.A.; Kwon, S.J. Deep learning scheme for character prediction with position-free touch screen-based Braille input method. Hum.-Cent. Comput. Inf. Sci. 2020, 10, 41. [Google Scholar] [CrossRef]
- Chen, C.; Li, K.; Teo, S.G.; Zou, X.; Li, K.; Zeng, Z. Citywide Traffic Flow Prediction Based on Multiple Gated Spatio-temporal Convolutional Neural Networks. ACM Trans. Knowl. Discov. Data 2020, 14, 42. [Google Scholar] [CrossRef]
- Gaur, L.; Singh, G.; Solanki, A.; Jhanjhi, N.Z.; Bhatia, U.; Sharma, S.; Verma, S.; Petrović, N.; Muhammad, F.I.; Kim, W. Disposition of youth in predicting sustainable development goals using the neuro-fuzzy and random forest algorithms. Hum.-Cent. Comput. Inf. Sci. 2021, 11, 24. [Google Scholar] [CrossRef]
- Tunkiel, A.T.; Sui, D.; Wiktorski, T. Data-driven sensitivity analysis of complex machine learning models: A case study of directional drilling. J. Pet. Sci. Eng. 2020, 195, 107630. [Google Scholar] [CrossRef]
- Lambay, A.; Liu, Y.; Morgan, P.; Ji, Z. A Data-Driven Fatigue Prediction using Recurrent Neural Networks. In Proceedings of the 3rd International Congress on Human-Computer Interaction, Optimization and Robotic Applications (HORA), Istanbul, Turkey, 11–13 June 2021; pp. 1–6. [Google Scholar]
- Lee, J.-S.; Bae, Y.-S.; Lee, W.; Lee, H.; Yu, J.; Choi, J.-P. Emotion and Fatigue Monitoring Using Wearable Devices. In Proceedings of the Sixth International Conference on Green and Human Information Technology, Singapore, 30 June 2018; pp. 91–96. [Google Scholar]
- Lee, H.; Lee, J.; Shin, M. Using Wearable ECG/PPG Sensors for Driver Drowsiness Detection Based on Distinguishable Pattern of Recurrence Plots. Electronics 2019, 8, 192. [Google Scholar] [CrossRef]
- Saravanan, R.; Sujatha, P. A State of Art Techniques on Machine Learning Algorithms: A Perspective of Supervised Learning Approaches in Data Classification. In Proceedings of the Second International Conference on Intelligent Computing and Control Systems (ICICCS), Madurai, India, 14–15 June 2018; pp. 945–949. [Google Scholar]
- Linardatos, P.; Papastefanopoulos, V.; Kotsiantis, S. Explainable AI: A Review of Machine Learning Interpretability Methods. Entropy 2021, 23, 18. [Google Scholar] [CrossRef]
- Schneider, C.; Hanakam, F.; Wiewelhove, T.; Döweling, A.; Kellmann, M.; Meyer, T.; Pfeiffer, M.; Ferrauti, A. Heart Rate Monitoring in Team Sports—A Conceptual Framework for Contextualizing Heart Rate Measures for Training and Recovery Prescription. Front. Physiol. 2018, 9, 639. [Google Scholar] [CrossRef] [PubMed]
- Nelson, B.W.; Low, C.A.; Jacobson, N.; Areán, P.; Torous, J.; Allen, N.B. Guidelines for wrist-worn consumer wearable assessment of heart rate in biobehavioral research. NPJ Digit. Med. 2020, 3, 90. [Google Scholar] [CrossRef] [PubMed]





| Mean | SD | Min | Max | |
|---|---|---|---|---|
| Age (years) | 33.08 | 9.73 | 19.00 | 51.00 |
| Weight (kg) | 75.98 | 10.79 | 58.90 | 104.20 |
| Height (cm) | 173.10 | 8.12 | 150.20 | 189.00 |
| Fat mass (%) | 22.69 | 10.85 | 7.32 | 50.12 |
| Input Features Variations | Features (n) | Precision | Recall | F1-Score |
|---|---|---|---|---|
| All features | 21 | 82.25 (10.93) | 82.24 (10.13) | 82.06 (10.34) |
| Personal variables removed | 12 | 75.67 (14.05) | 75.60 (12.84) | 75.84 (13.16) |
| Heart rate features removed | 15 | 58.39 (18.81) | 59.09 (21.34) | 58.43 (19.97) |
| Breathing rate features removed | 17 | 81.52 (10.14) | 81.63 (10.09) | 81.39 (9.71) |
| Core temperature features removed | 17 | 78.23 (12.12) | 77.82 (11.55) | 78.09 (11.92) |
| Heart rate and personal features | 13 | 79.90 (14.02) | 79.44 (10.27) | 79.89 (11.99) |
| Breathing rate and personal features | 11 | 54.21 (20.45) | 56.08 (24.04) | 54.96 (22.49) |
| Core temperature and personal features | 11 | 46.41 (13.01) | 47.80 (19.10) | 46.69 (15.59) |
| Only heart rate features | 6 | 71.80 (18.73) | 70.89 (15.47) | 71.14 (16.69) |
| Only breathing rate features | 4 | 52.50 (18.62) | 53.78 (22.93) | 52.94 (20.73) |
| Only core temperature features | 4 | 49.91 (15.07) | 50.25 (17.34) | 49.36 (15.26) |
Disclaimer/Publisher’s Note: The statements, opinions and data contained in all publications are solely those of the individual author(s) and contributor(s) and not of MDPI and/or the editor(s). MDPI and/or the editor(s) disclaim responsibility for any injury to people or property resulting from any ideas, methods, instructions or products referred to in the content. |
© 2023 by the authors. Licensee MDPI, Basel, Switzerland. This article is an open access article distributed under the terms and conditions of the Creative Commons Attribution (CC BY) license (https://creativecommons.org/licenses/by/4.0/).
Share and Cite
Bustos, D.; Cardoso, R.; Carvalho, D.D.; Guedes, J.; Vaz, M.; Torres Costa, J.; Santos Baptista, J.; Fernandes, R.J. Exploring the Applicability of Physiological Monitoring to Manage Physical Fatigue in Firefighters. Sensors 2023, 23, 5127. https://doi.org/10.3390/s23115127
Bustos D, Cardoso R, Carvalho DD, Guedes J, Vaz M, Torres Costa J, Santos Baptista J, Fernandes RJ. Exploring the Applicability of Physiological Monitoring to Manage Physical Fatigue in Firefighters. Sensors. 2023; 23(11):5127. https://doi.org/10.3390/s23115127
Chicago/Turabian StyleBustos, Denisse, Ricardo Cardoso, Diogo D. Carvalho, Joana Guedes, Mário Vaz, José Torres Costa, João Santos Baptista, and Ricardo J. Fernandes. 2023. "Exploring the Applicability of Physiological Monitoring to Manage Physical Fatigue in Firefighters" Sensors 23, no. 11: 5127. https://doi.org/10.3390/s23115127
APA StyleBustos, D., Cardoso, R., Carvalho, D. D., Guedes, J., Vaz, M., Torres Costa, J., Santos Baptista, J., & Fernandes, R. J. (2023). Exploring the Applicability of Physiological Monitoring to Manage Physical Fatigue in Firefighters. Sensors, 23(11), 5127. https://doi.org/10.3390/s23115127

