Machine Learning-Based Rapid Post-Earthquake Damage Detection of RC Resisting-Moment Frame Buildings
Abstract
1. Introduction
2. Methodology
3. Structural Design and Input Ground Motions
3.1. Archetype of Buildings
3.1.1. Structural Distribution
3.1.2. Structural Design Criterion
- -
- The cross-section of columns is square.
- -
- Only plastic hinges are at the base of the columns.
- -
- Plastic hinges at the ends of all beams except roof beams.
- -
- The beam and column rotations are equal to the roof drift ratio.
- -
- The yielding moment of the columns is 1.5 times the yielding moment of the beams.
3.1.3. Structural Model of the Members
- For the beams, nonlinear flexural springs are used at both ends of the member. The degrading trilinear slip and bilinear hysteretic models are considered, see Figure 5.
- For the columns, nonlinear multi-spring cross-section models are used at both ends of the member in order to consider the bidirectional-flexural and axial effects. Bilinear hysteretic models are considered for steel (tension and compression) and concrete (only compression), see Figure 6.
- Nonlinear shear springs are used in the middle of the beams and columns, and the origin-oriented poly-linear hysteretic model is considered.
3.1.4. Verification of the Structural Design
3.2. Ground Motion Records
3.2.1. Target Response Spectrum
3.2.2. Records Selection Criterion
3.3. Incremental Dynamic Analysis
4. ML Methodology to Predict the Damage Condition of the Building
4.1. Damage Condition State
4.2. Input and Output Data for the ML Models
4.3. Case Studies with Different Input Data
4.4. Random Selection of Records and Buildings for the ML Models
4.5. Machine Learning Methods
4.6. Case Study Results
4.6.1. First Case Study Using the Ground Sensor Data
- The maximum R2 obtained by the Random Forest method is 0.942: A95, IMcr, AI, and Ic.
- The maximum R2_mean obtained by the Gradient Boost method is 0.870: A95, AI, Ic, and Imcr.
- The minimum standard deviation obtained by the Decision Tree method is 0.047 where the main Ims are based on acceleration: A95 and AI.
- The IM present in all the ML methods is A95.
4.6.2. Second Case Study Using Both the Ground and Roof Sensor Data
- The maximum R2 obtained by the Gradient Boost method is 0.942: R_PGA and R_PGV.
- The maximum R2_mean obtained by the Gradient Boost method is 0.902: R_PGA and R_PGV.
- The minimum standard deviation obtained by the Linear Regression method is 0.016.
- The IM present in all the ML methods is R_PGA.
4.6.3. Computation Time
4.6.4. Discussion of Results
5. Conclusions
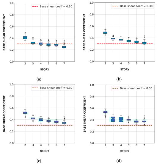
- The virtual work method was used to design RC moment-resisting frame system models considering a plastic mechanism, external load, and deformation distribution. The rebar area, distribution of rebars, and realistic member sizes of beams and columns were calibrated using the recommendations of the Japanese standard. The static nonlinear analysis was used to verify the design by comparing the base shear coefficient at the inter-story drift ratio greater or equal to 1/100 with the target value of 0.3.
- The ground motion records were selected for PGA greater than 400 gals, 5–95% of the Arias intensity time range, and its response spectrum matched the Uniform Hazard Spectrum of Nagoya—Japan (target spectrum) with an exceedance probability of 2% in 50 years.
- Incremental Dynamic Analyses were carried out on the target buildings in order to obtain the responses covering the linear and nonlinear behavior.
- Two cases were considered to obtain the Intensity Measures from the sensor records: the first case considered the ground sensors, and the second case considered the ground and roof sensors.
- Seven machine learning methods were used to predict the damage conditions of the buildings represented by the inter-story drift ratio. The training process used 27 intensity measures obtained from the ground and/or roof sensor responses, the number of stories, and the number of spans in X and Y directions as input data.
- In order to reduce the bias of the random selection of records and buildings for the training and testing processes, 10 and 200 selections were considered, respectively. An R2 mean and standard deviation were obtained for each record selection to evaluate the accuracy of the ML model, and the maximum R2 mean and its standard deviation to obtain the best training buildings.
- For the first case, the maximum R2 obtained by the Random Forest method was 0.942, the maximum R2 mean obtained by the Gradient Boost method was 0.870, and the minimum standard deviation obtained by the Decision Tree method was 0.047. The IM present in all the ML methods was A95.
- For the second case, the maximum R2 obtained by the Gradient Boost method was 0.942, the maximum R2 mean obtained by the Gradient Boost method was 0.902, and the minimum standard deviation obtained by the Linear Regression method was 0.016. The IM present in all the ML methods was R_PGA.
- The Gradient Boost was considered the most effective ML method in both cases, considering that it has the lowest R2_mean.
- Although the second case presents the highest and lowest R2_mean and standard deviation, their inclusion was not easily feasible. It is recommended to include them progressively.
- It is recommended to increase the number of records in future studies to cover more earthquake features.
Author Contributions
Funding
Institutional Review Board Statement
Informed Consent Statement
Data Availability Statement
Conflicts of Interest
References
- Quispe, R.; Diaz, M.; Jaramillo, J.; Inocente, I. Assessment of the structural health monitoring in Edgardo Rebagliati Martins hospital with limited number of accelerometers in lima city. Tecnia 2022, 32, 76–88. [Google Scholar]
- Schanze, E.; Leiva, G.; Gómez, M.; Lopez, A. Numerical study of the seismic response of an instrumented building with underground stories. Appl. Sci. 2021, 11, 3190. [Google Scholar] [CrossRef]
- Sivasuriyan, A.; Vijayan, D.S.; Górski, W.; Wodzyński, Ł.; Vaverková, M.D.; Koda, E. Practical implementation of structural health monitoring in multi-story buildings. Buildings 2021, 11, 263. [Google Scholar] [CrossRef]
- Mishra, M.; Lourenço, P.B.; Ramana, G.V. Structural health monitoring of civil engineering structures by using the internet of things: A review. J. Build. Eng. 2022, 48, 103954. [Google Scholar] [CrossRef]
- Gordan, M.; Sabbagh-Yazdi, S.-R.; Ismail, Z.; Ghaedi, K.; Carroll, P.; McCrum, D.; Samali, B. State-of-the-art review on advancements of data mining in structural health monitoring. Measurement 2022, 193, 110939. [Google Scholar] [CrossRef]
- Tang, Y.; Wang, Y.; Wu, D.; Liu, Z.; Zhang, H.; Zhu, M.; Chen, Z.; Sun, J.; Wang, X. An experimental investigation and machine learning-based prediction for seismic performance of steel tubular column filled with recycled aggregate concrete. Rev. Adv. Mater. Sci. 2022, 61, 849–872. [Google Scholar] [CrossRef]
- Zhao, X.-Y.; Chen, J.-X.; Chen, G.-M.; Xu, J.-J.; Zhang, L.-W. Prediction of ultimate condition of FRP-confined recycled aggregate concrete using a hybrid boosting model enriched with tabular generative adversarial networks. Thin-Walled Struct. 2023, 182, 110318. [Google Scholar] [CrossRef]
- Cardellicchio, A.; Ruggieri, S.; Nettis, A.; Renò, V.; Uva, G. Physical interpretation of machine learning-based recognition of defects for the risk management of existing bridge heritage. Eng. Fail. Anal. 2023, 141, 107237. [Google Scholar] [CrossRef]
- Tsuchimoto, K.; Narazaki, Y.; Hoskere, V.; Spencer, B.F. Rapid postearthquake safety evaluation of buildings using sparse acceleration measurements. Struct. Health Monit. 2021, 20, 1822–1840. [Google Scholar] [CrossRef]
- Lu, X.; Xu, Y.; Tian, Y.; Cetiner, B.; Taciroglu, E. A deep learning approach to rapid regional post-event seismic damage assessment using time-frequency distributions of ground motions. Earthq. Eng. Struct. Dyn. 2021, 50, 1612–1627. [Google Scholar] [CrossRef]
- Goulet, J.-A.; Michel, C.; Kiureghian, A.D. Data-driven post-earthquake rapid structural safety assessment. Earthq. Eng. Struct. Dyn. 2015, 44, 549–562. [Google Scholar] [CrossRef]
- Xu, Y.; Lu, X.; Tian, Y.; Huang, Y. Real-time seismic damage prediction and comparison of various ground motion intensity measures based on machine learning. J. Earthq. Eng. 2020, 26, 1–21. [Google Scholar]
- Moscoso Alcantara, E.A.; Bong, M.D.; Saito, T. Structural Response Prediction for Damage Identification Using Wavelet Spectra in Convolutional Neural Network. Sensors 2021, 21, 6795. [Google Scholar] [CrossRef]
- Moscoso Alcantara, E.A.; Saito, T. Convolutional Neural Network-Based Rapid Post-Earthquake Structural Damage Detection: Case Study. Sensors 2022, 22, 6426. [Google Scholar] [CrossRef]
- Satake, N.; Yokota, H. Evaluation of vibration properties of high-rise steel buildings using data of vibration tests and earthquake observations. J. Wind. Eng. Ind. Aerodyn. 1996, 59, 265–282. [Google Scholar] [CrossRef]
- Subramanian, K.; Velayutham, M. Seismic performance of lateral load resisting systems. Struct. Eng. Mech. Int. J. 2014, 51, 487–502. [Google Scholar] [CrossRef]
- Baikerikar, A.; Kanagali, K. Study of lateral load resisting systems of variable heights in all soil types of high seismic zone. Int. J. Res. Eng. Technol. 2014, 3, 109–119. [Google Scholar]
- Wilson, J.; Lam, N. Earthquake design of buildings in Australia using velocity and displacement principles. Aust. J. Struct. Eng. 2006, 6, 103–118. [Google Scholar] [CrossRef]
- Buratti, N. A comparison of the performances of various ground–motion intensity measures. In Proceedings of the 15th World Conference on Earthquake Engineering, Lisbon, Portugal, 24–28 September 2012; pp. 24–28. [Google Scholar]
- Shalev-Shwartz, S.; Ben-David, S. Understanding Machine Learning: From Theory to Algorithms; Cambridge University Press: Cambridge, UK, 2014. [Google Scholar]
- Worden, K.; Manson, G. The application of machine learning to structural health monitoring. Philos. Trans. R. Soc. A Math. Phys. Eng. Sci. 2007, 365, 515–537. [Google Scholar] [CrossRef] [PubMed]
- Shibata, A. Dynamic Analysis of Earthquake Resistant Structures; Tohoku University Press: Sendai, Japan, 2010. [Google Scholar]
- AIJ-RLBC. AIJ Recommendations for Loads on Buildings; Architectural Institute of Japan: Tokyo, Japan, 2015. [Google Scholar]
- Architectural Institute of Japan. AIJ Standard for Structural Calculation of Reinforced Concrete Structures; Architectural Institute of Japan: Tokyo, Japan, 2018. (In Japanese) [Google Scholar]
- Saito, T. Structural Earthquake Response Analysis, STERA_3D Version 10.8; Earthquake Disaster Engineering Research Laboratory: Toyohashi, Japan, 2020. [Google Scholar]
- Ruggieri, S.; Chatzidaki, A.; Vamvatsikos, D.; Uva, G. Reduced-order models for the seismic assessment of plan-irregular low-rise frame buildings. Earthq. Eng. Struct. Dyn. 2022, 51, 3327–3346. [Google Scholar] [CrossRef]
- Center for Engineering Strong Motion Data (CESMD). Available online: https://www.strongmotioncenter.org/ (accessed on 1 March 2021).
- Husid, R. Características de terremotos. Análisis general. Rev. IDIEM 1969, 8, 21–42. [Google Scholar]
- Shafei, B.; Zareian, F.; Lignos, D.G. A simplified method for collapse capacity assessment of moment-resisting frame and shear wall structural systems. Eng. Struct. 2011, 33, 1107–1116. [Google Scholar] [CrossRef]
- Douglas, J. Earthquake ground motion estimation using strong-motion records: A review of equations for the estimation of peak ground acceleration and response spectral ordinates. Earth-Sci. Rev. 2003, 61, 43–104. [Google Scholar] [CrossRef]
- Chopra, A.K. Elastic response spectrum: A historical note. Earthq. Eng. Struct. Dyn. 2007, 36, 3–12. [Google Scholar] [CrossRef]
- Baker, J.W.; Allin Cornell, C. Spectral shape, epsilon and record selection. Earthq. Eng. Struct. Dyn. 2006, 35, 1077–1095. [Google Scholar] [CrossRef]
- Newmark, N.M.; Hall, W.J. Earthquake Spectra and Design (Engineering Monographs on Earthquake Criteria, Structural Design, and Strong Motion Records); Earthquake Engineering Research Institute: Berkeley, CA, USA, 1982. [Google Scholar]
- Mehanny, S.S. A broad-range power-law form scalar-based seismic intensity measure. Eng. Struct. 2009, 31, 1354–1368. [Google Scholar] [CrossRef]
- Housner, G. Measures of severity of earthquake ground shaking. In Proceedings of the US National Conference on Earthquake Engineering, Ann Arbor, MI, USA, 18–20 June 1975; Volume 6, p. 1975. [Google Scholar]
- Bojórquez, E.; Iervolino, I. Spectral shape proxies and nonlinear structural response. Soil Dyn. Earthq. Eng. 2011, 31, 996–1008. [Google Scholar] [CrossRef]
- Arias, A. A measure of earthquake intensity. In Seismic Design for Nuclear Power Plants; Massachusetts Institute of Technology: Cambridge, MA, USA, 1970. [Google Scholar]
- Sarma, S.; Yang, K. An evaluation of strong motion records and a new parameter A95. Earthq. Eng. Struct. Dyn. 1987, 15, 119–132. [Google Scholar] [CrossRef]
- Park, Y.-J.; Ang, A.H.-S.; Wen, Y.K. Seismic damage analysis of reinforced concrete buildings. J. Struct. Eng. 1985, 111, 740–757. [Google Scholar] [CrossRef]
- Riddell, R.; Garcia, J.E. Hysteretic energy spectrum and damage control. Earthq. Eng. Struct. Dyn. 2001, 30, 1791–1816. [Google Scholar] [CrossRef]
- Reed, J.W.; Kassawara, R.P. A criterion for determining exceedance of the operating basis earthquake. Nucl. Eng. Des. 1990, 123, 387–396. [Google Scholar] [CrossRef]
- Campbell, K.W.; Bozorgnia, Y. Prediction equations for the standardized version of cumulative absolute velocity as adapted for use in the shutdown of US nuclear power plants. Nucl. Eng. Des. 2011, 241, 2558–2569. [Google Scholar] [CrossRef]
- Cordova, P.P.; Deierlein, G.G.; Mehanny, S.S.; Cornell, C.A. Development of a two-parameter seismic intensity measure and probabilistic assessment procedure. In Proceedings of the Second US-Japan Workshop on Performance-Based Earthquake Engineering Methodology for Reinforced Concrete Building Structures, Hokkaido, Japan, 11–13 September 2000; pp. 187–206. [Google Scholar]
- Bommer, J.J.; Alarcon, J.E. The prediction and use of peak ground velocity. J. Earthq. Eng. 2006, 10, 1–31. [Google Scholar] [CrossRef]
- Fajfar, P.; Vidic, T.; Fischinger, M. A measure of earthquake motion capacity to damage medium-period structures. Soil Dyn. Earthq. Eng. 1990, 9, 236–242. [Google Scholar] [CrossRef]
- Housner, G.W. Intensity of Ground Motion during Strong Earthquakes; California Institute of Technology: Pasadena, CA, USA, 1952; Available online: https://authors.library.caltech.edu/26481/1/Housner_gw_1952.pdf (accessed on 26 September 2022).
- Cosenza, E.; Manfredi, G. A seismic design method including damage effect. In Proceedings of the 11th European Conference on Earthquake Engineering, Paris, France, 6–11 September 1998; pp. 6–11. [Google Scholar]
- Géron, A. Hands-on Machine Learning with Scikit-Learn, Keras, and TensorFlow; O’Reilly Media, Inc.: Sebastopol, CA, USA, 2022. [Google Scholar]
- Bishop, C.M.; Nasrabadi, N.M. Pattern Recognition and Machine Learning; Springer: Berlin/Heidelberg, Germany, 2006; Volume 4. [Google Scholar]
- Su, X.; Yan, X.; Tsai, C.L. Linear regression. Wiley Interdiscip. Rev. Comput. Stat. 2012, 4, 275–294. [Google Scholar] [CrossRef]
- Daumé, H., III. A Course in Machine Learning. 2017. Available online: http://ciml.info/dl/v0_9/ciml-v0_9-all.pdf (accessed on 26 September 2022).
- Myles, A.J.; Feudale, R.N.; Liu, Y.; Woody, N.A.; Brown, S.D. An introduction to decision tree modeling. J. Chemom. J. Chemom. Soc. 2004, 18, 275–285. [Google Scholar] [CrossRef]
- Biau, G.; Scornet, E. A random forest guided tour. Test 2016, 25, 197–227. [Google Scholar] [CrossRef]
- Chen, T.; He, T.; Benesty, M.; Khotilovich, V.; Tang, Y.; Cho, H.; Chen, K. Xgboost: Extreme gradient boosting. R Package Version 0.4-2 2015, 1, 1–4. [Google Scholar]
- Noriega, L. Multilayer Perceptron Tutorial; School of Computing, Staffordshire University: Staffordshire, UK, 2005. [Google Scholar]
- Pedregosa, F.; Varoquaux, G.; Gramfort, A.; Michel, V.; Thirion, B.; Grisel, O.; Blondel, M.; Prettenhofer, P.; Weiss, R.; Dubourg, V. Scikit-learn: Machine learning in Python. J. Mach. Learn. Res. 2011, 12, 2825–2830. [Google Scholar]
















| Variable | Name | Values |
|---|---|---|
| Ns | Number of stories | 2 to 7 |
| Nx | Number of spans in the x-direction | 1 to 10 |
| Ny | Number of spans in the y-direction | 1 to 10 |
| H | Story height [mm] | 3500 |
| Lx | Span length [mm] | 6500 |
| Ly | Span length [mm] | 6500 |
| w | Story weight [kN/m2] | 10 |
| Number of Stories | 2 | 3 | 4 | 5 | 6 | 7 |
|---|---|---|---|---|---|---|
| Column size [mm] | 500 × 500 | 600 × 600 | 700 × 700 | 800 × 800 | 900 × 900 | 900 × 900 |
| Beam size ( × ) [mm] | 300 × 600 | 300 × 600 | 350 × 650 | 350 × 650 | 350 × 700 | 400 × 700 |
| Record Name | ) |
|---|---|
| Kumamoto2016_EW | 1.58 |
| Hokkaido2018_EW | 2.24 |
| Northridge1994_360 | 3.55 |
| Northridge1994_90 | 3.12 |
| Petrolia1992_270 | 2.82 |
| LomaPrieta1989_90 | 2.67 |
| Chuetsu2004_EW | 1.36 |
| Hokkaido2003_NS | 2.64 |
| LomaPrieta1989_0 | 2.85 |
| Westmorland1981_90 | 2.61 |
| N° | Name | Abbreviation | Based on | Definition | References |
|---|---|---|---|---|---|
| 1 | Peak Ground Acceleration | A | [30] | ||
| 2 | 5% Damped First-mode Spectral Acceleration | A | [30,31] | ||
| 3 | Average Spectral Acceleration | A | [32] | ||
| 4 | Effective Peak Acceleration | A | [33] | ||
| 5 | SR Power-law Form IM | A | [34] | ||
| 6 | CR Power-law Form IM | A | [34] | ||
| 7 | Earthquake Power Index | A | [35] | ||
| 8 | Root Mean Square Acc. | A | [35] | ||
| 9 | Bojórquez and Iervolino IM | A | [36] | ||
| 10 | Arias Intensity | A | [37] | ||
| 11 | Sarma and Yang IM | A | [38] | ||
| 12 | Characteristic Intensity | A | [39] | ||
| 13 | Riddell and Garcia Acceleration IM | A | [40] | ||
| 14 | Cumulative Absolute Velocity | A | [41] | ||
| 15 | Standardized Cumulative Absolute Velocity | A | [42] | ||
| 16 | Two-parameter Hazard IM | A | [43] | ||
| 17 | Peak Ground Velocity | V | [30,44] | ||
| 18 | Squared Velocity | V | [19] | ||
| 19 | Root Squared Velocity | V | [19] | ||
| 20 | Fajfar et al. IM | V | [45] | ||
| 21 | Riddell and Garcia Velocity IM | V | [40] | ||
| 22 | 5% Damped First-mode Spectral Velocity | V | [30,31] | ||
| 23 | Housner Spectrum Intensity | V | [46] | ||
| 24 | Peak Ground Displacement | D | [30] | ||
| 25 | 5% Damped First-mode Spectral Displacement | D | [30,31] | ||
| 26 | Riddell and Garcia Velocity IM | D | [40] | ||
| 27 | Cosenza and Manfredi IM | H | [47] |
| Damage Condition | No Damage | Minimum Damage | Significant Damage | Severe Damage | Collapse |
|---|---|---|---|---|---|
| Story drift | <1/300 | ≥1/300 but <1/150 | ≥1/150 but <1/100 | ≥1/100 but <1/75 | ≥1/75 |
| Parameters | Value |
|---|---|
| Function to measure the quality of a split | |
| Maximum depth of the tree | No-limit |
| Minimum number of samples to split | 2 |
| Minimum number of leaf nodes | 1 |
| Maximum number of leaf nodes | No-limit |
| Parameters | Value |
|---|---|
| Number of trees in the forest | 100 |
| Function to measure the quality of a split | |
| Maximum depth of the tree | No-limit |
| Minimum number of samples to split | 2 |
| Minimum number of leaf nodes | 1 |
| Maximum number of leaf nodes | No-limit |
| Parameters | Value |
|---|---|
| Number of estimators | 100 |
| Learning rate | 0.1 |
| Function to measure the quality of a split | |
| Maximum depth of the tree | No-limit |
| Minimum number of samples to split | 2 |
| Minimum number of leaf nodes | 1 |
| Maximum number of leaf nodes | No-limit |
| Parameter | Value |
|---|---|
| Number of estimators | 50 |
| Maximum depth of the tree | 3 |
| Minimum number of samples to split | 2 |
| Minimum number of leaf nodes | 1 |
| Maximum number of leaf nodes | No-limit |
| Loss function to update the weights | Linear |
| Parameter | Value |
|---|---|
| Number of estimators | 100 |
| Learning rate | 0.1 |
| Function to measure the quality of a split | |
| Maximum depth of the tree | No-limit |
| Minimum number of samples to split | 2 |
| Minimum number of leaf nodes | 1 |
| Maximum number of leaf nodes | No-limit |
| Parameter | Value |
|---|---|
| Hidden layer size | 100 |
| Maximum number of iterations | 100 |
| Learning rate | 0.001 |
| Batch size | 2 |
| Activation function | ReLU |
| Coefficient of Determination (R2) | |||||||
|---|---|---|---|---|---|---|---|
| Linear Regression | Decision Tree | ||||||
| Maximum | Mean | Standard Deviation | Intensity Measure | Maximum | Mean | Standard Deviation | Intensity Measure |
| 0.912 | 0.820 | 0.062 | - | 0.914 | 0.857 | 0.047 | A95, AI |
| Random Forest | Gradient Boost | ||||||
| Maximum | Mean | Standard Deviation | Intensity Measure | Maximum | Mean | Standard Deviation | Intensity Measure |
| 0.942 | 0.867 | 0.054 | A95, IMcr, AI, Ic | 0.937 | 0.870 | 0.068 | A95, AI, Ic, IMcr |
| AdaBoost | XGBoost | ||||||
| Maximum | Mean | Standard Deviation | Intensity Measure | Maximum | Mean | Standard Deviation | Intensity Measure |
| 0.899 | 0.857 | 0.048 | SdT1, A95, IMcr, SIH, Ic, IMsr | 0.919 | 0.818 | 0.089 | A95, IF, Sa_Avg, EPA |
| Multilayer Perceptron | |||||||
| Maximum | Mean | Standard Deviation | Intensity Measure | ||||
| 0.931 | 0.820 | 0.065 | - | ||||
| Coefficient of Determination (R2) | |||||||
|---|---|---|---|---|---|---|---|
| Linear Regression | Decision Tree | ||||||
| Maximum | Mean | Standard Deviation | Intensity Measure | Maximum | Mean | Standard Deviation | Intensity Measure |
| 0.927 | 0.897 | 0.016 | - | 0.884 | 0.776 | 0.075 | R_PGA, R_PGV |
| Random Forest | Gradient Boost | ||||||
| Maximum | Mean | Standard Deviation | Intensity Measure | Maximum | Mean | Standard Deviation | Intensity Measure |
| 0.934 | 0.893 | 0.038 | R_PGA | 0.942 | 0.902 | 0.037 | R_PGA, R_PGV |
| AdaBoost | XGBoost | ||||||
| Maximum | Mean | Standard Deviation | Intensity Measure | Maximum | Mean | Standard Deviation | Intensity Measure |
| 0.917 | 0.896 | 0.024 | R_PGA, R_SIH, R_Sa_Avg, G_Ic, G_CAV | 0.93 | 0.862 | 0.038 | R_PGA, R_PGV, R_IF |
| Multilayer Perceptron | |||||||
| Maximum | Mean | Standard Deviation | Intensity Measure | ||||
| 0.930 | 0.881 | 0.054 | - | ||||
| Story | Total Time (10,000 Structural Models per Story) (h) |
|---|---|
| 2 | 5.95 |
| 3 | 9.82 |
| 4 | 16.37 |
| 5 | 25.20 |
| 6 | 35.83 |
| 7 | 26.68 |
| ML Method | Training Time per Model (s) | Testing Time per Model (s) | Total Time (2000 Models per ML Method) (s) |
|---|---|---|---|
| Linear Regression | 0.0011 | 0.0008 | 3.8 |
| Decision Tree | 0.0211 | 0.0010 | 44.2 |
| Random Forest | 1.3454 | 0.0435 | 2777.8 |
| Gradient boost | 0.5960 | 0.0047 | 1201.5 |
| AdaBoost | 0.2381 | 0.0243 | 524.7 |
| XGboost | 0.0929 | 0.0028 | 191.5 |
| Multilayer Perceptron | 5.3261 | 0.0153 | 10,682.9 |
| ML Method | Training Time per Model (s) | Testing Time per Model (s) | Total Time (2000 Models per ML Method) (s) |
|---|---|---|---|
| Linear Regression | 0.0015 | 0.0010 | 4.9 |
| Decision Tree | 0.0617 | 0.0015 | 126.3 |
| Random Forest | 3.6086 | 0.0439 | 7304.9 |
| Gradient boost | 1.8039 | 0.0074 | 3622.7 |
| AdaBoost | 0.5831 | 0.0479 | 1262.0 |
| XGboost | 0.1187 | 0.0029 | 243.2 |
| Multilayer Perceptron | 7.1770 | 0.0363 | 14,426.6 |
Disclaimer/Publisher’s Note: The statements, opinions and data contained in all publications are solely those of the individual author(s) and contributor(s) and not of MDPI and/or the editor(s). MDPI and/or the editor(s) disclaim responsibility for any injury to people or property resulting from any ideas, methods, instructions or products referred to in the content. |
© 2023 by the authors. Licensee MDPI, Basel, Switzerland. This article is an open access article distributed under the terms and conditions of the Creative Commons Attribution (CC BY) license (https://creativecommons.org/licenses/by/4.0/).
Share and Cite
Alcantara, E.A.M.; Saito, T. Machine Learning-Based Rapid Post-Earthquake Damage Detection of RC Resisting-Moment Frame Buildings. Sensors 2023, 23, 4694. https://doi.org/10.3390/s23104694
Alcantara EAM, Saito T. Machine Learning-Based Rapid Post-Earthquake Damage Detection of RC Resisting-Moment Frame Buildings. Sensors. 2023; 23(10):4694. https://doi.org/10.3390/s23104694
Chicago/Turabian StyleAlcantara, Edisson Alberto Moscoso, and Taiki Saito. 2023. "Machine Learning-Based Rapid Post-Earthquake Damage Detection of RC Resisting-Moment Frame Buildings" Sensors 23, no. 10: 4694. https://doi.org/10.3390/s23104694
APA StyleAlcantara, E. A. M., & Saito, T. (2023). Machine Learning-Based Rapid Post-Earthquake Damage Detection of RC Resisting-Moment Frame Buildings. Sensors, 23(10), 4694. https://doi.org/10.3390/s23104694

