In-City Rain Mapping from Commercial Microwave Links—Challenges and Opportunities
Abstract
1. Introduction
- 1.
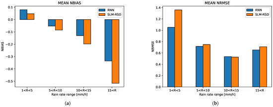
- We present a comparison between an empirical short links model and an RNN-based data-driven approach for rainfall estimation from RSL measurements. We show that although the RNN-based approach performs better in terms of RMSE, the simple short links model yields similar results for moderate and strong rain intensities (higher than 5 mm/h), despite being much simpler.
- 2.
- We create high-resolution 2D maps of 24 h-accumulated rainfall, which are constructed from the estimates of either method. The constructed maps are compared against rainfall maps provided by the IMS weather radar, and both show good agreement with the ground truth.
2. Data
2.1. Data Pre-Processing
2.2. Dataset Split
2.3. Data Imbalance
3. Rainfall Estimation
3.1. Short Links Empirical Model
3.2. Data-Driven Approach
3.2.1. Architecture
3.2.2. Loss Function
3.2.3. Augmentation
3.3. Validation Metrics
4. Experimental Results
4.1. Rain Estimation and Classification
4.2. Rainfall Maps Comparison
5. Conclusions
Author Contributions
Funding
Institutional Review Board Statement
Informed Consent Statement
Data Availability Statement
Acknowledgments
Conflicts of Interest
References
- Hapuarachchi, H.; Wang, Q.; Pagano, T. A review of advances in flash flood forecasting. Hydrol. Process. 2011, 25, 2771–2784. [Google Scholar] [CrossRef]
- Javier, J.R.N.; Smith, J.A.; Meierdiercks, K.L.; Baeck, M.L.; Miller, A.J. Flash flood forecasting for small urban watersheds in the Baltimore metropolitan region. Weather Forecast. 2007, 22, 1331–1344. [Google Scholar] [CrossRef]
- Messer, H.; Zinevich, A.; Alpert, P. Environmental monitoring by wireless communication networks. Science 2006, 312, 713. [Google Scholar] [CrossRef] [PubMed]
- Silva, B.N.; Khan, M.; Han, K. Towards sustainable smart cities: A review of trends, architectures, components, and open challenges in smart cities. Sustain. Cities Soc. 2018, 38, 697–713. [Google Scholar] [CrossRef]
- Pi, Z.; Khan, F. An introduction to millimeter-wave mobile broadband systems. IEEE Commun. Mag. 2011, 49, 101–107. [Google Scholar] [CrossRef]
- Ostrometzky, J.; Raich, R.; Bao, L.; Hansryd, J.; Messer, H. The wet-antenna effect-A factor to be considered in future communication networks. IEEE Trans. Antennas Propag. 2017, 66, 315–322. [Google Scholar] [CrossRef]
- Olsen, R.; Rogers, D.V.; Hodge, D. The aR b relation in the calculation of rain attenuation. IEEE Trans. Antennas Propag. 1978, 26, 318–329. [Google Scholar] [CrossRef]
- ITU-R. Recommendation ITU-R P.838-3. Specific Attenuation Model for Rain for Use in Prediction Methods (1992-1999-2003-2005). 2005. Available online: https://www.itu.int/dms_pubrec/itu-r/rec/p/R-REC-P.838-3-200503-I!!PDF-E.pdf (accessed on 11 April 2023).
- Fencl, M.; Dohnal, M.; Valtr, P.; Grabner, M.; Bareš, V. Atmospheric observations with E-band microwave links–challenges and opportunities. Atmos. Meas. Tech. 2020, 13, 6559–6578. [Google Scholar] [CrossRef]
- Habi, H.V.; Messer, H. Uncertainties in short commercial microwave links fading due to rain. In Proceedings of the ICASSP 2020-2020 IEEE International Conference on Acoustics, Speech and Signal Processing (ICASSP), Barcelona, Spain, 4–8 May 2020; IEEE: Piscataway, NJ, USA, 2020; pp. 9006–9010. [Google Scholar]
- Janco, R.; Ostrometzky, J.; Messer, H. Rain Estimation from Smart City’s E-band Links. In Proceedings of the 2022 IEEE 14th Image, Video, and Multidimensional Signal Processing Workshop (IVMSP), Nafplio, Greece, 26–29 June 2022; IEEE: Piscataway, NJ, USA, 2022; pp. 1–5. [Google Scholar]
- Habi, H.V.; Messer, H. Recurrent neural network for rain estimation using commercial microwave links. IEEE Trans. Geosci. Remote Sens. 2020, 59, 3672–3681. [Google Scholar] [CrossRef]
- Chwala, C.; Kunstmann, H. Commercial microwave link networks for rainfall observation: Assessment of the current status and future challenges. Wiley Interdiscip. Rev. Water 2019, 6, e1337. [Google Scholar] [CrossRef]
- Schleiss, M.; Berne, A. Identification of dry and rainy periods using telecommunication microwave links. IEEE Geosci. Remote Sens. Lett. 2010, 7, 611–615. [Google Scholar] [CrossRef]
- Graf, M.; Chwala, C.; Polz, J.; Kunstmann, H. Rainfall estimation from a German-wide commercial microwave link network: Optimized processing and validation for 1 year of data. Hydrol. Earth Syst. Sci. 2020, 24, 2931–2950. [Google Scholar] [CrossRef]
- Polz, J.; Chwala, C.; Graf, M.; Kunstmann, H. Rain event detection in commercial microwave link attenuation data using convolutional neural networks. Atmos. Meas. Tech. 2020, 13, 3835. [Google Scholar] [CrossRef]
- Lin, T.Y.; Goyal, P.; Girshick, R.; He, K.; Dollár, P. Focal loss for dense object detection. In Proceedings of the IEEE International Conference on Computer Vision, Venice, Italy, 22–29 October 2017; pp. 2980–2988. [Google Scholar]
- Kingma, D.P.; Ba, J. Adam: A method for stochastic optimization. arXiv 2014, arXiv:1412.6980. [Google Scholar]
- Goldshtein, O.; Messer, H.; Zinevich, A. Rain rate estimation using measurements from commercial telecommunications links. IEEE Trans. Signal Process. 2009, 57, 1616–1625. [Google Scholar] [CrossRef]








| Dataset | Duration in Hours | Samples |
|---|---|---|
| TRAIN | 423 | 51 k |
| VALIDATION | 111 | 13 k |
| TEST | 240 | 29 k |
| Dataset | Wet Ratio (%) | Dry Ratio (%) |
|---|---|---|
| TRAIN | 25.59 | 74.41 |
| VALIDATION | 16.67 | 83.33 |
| TEST | 22.78 | 77.22 |
| Model | RH Input Size | Architecture |
|---|---|---|
| Small RH | 256 | FC |
| Large RH | 256 | |
| Small RH plus Skip | 278 | FC |
| Large RH plus Skip | 278 |
| Model | BIAS | RMSE | THR | ACC | Balanced ACC | Recall | Precision | F1 |
|---|---|---|---|---|---|---|---|---|
| RNN—Small RH | −0.511 | 3.170 | 0.75 | 0.882 | 0.811 | 0.679 | 0.775 | 0.724 |
| RNN—Large RH | 0.587 | 3.986 | 0.73 | 0.873 | 0.837 | 0.770 | 0.702 | 0.734 |
| RNN—Small RH plus Skip | −0.307 | 3.265 | 0.75 | 0.882 | 0.796 | 0.639 | 0.801 | 0.711 |
| RNN—Large RH plus Skip | −0.134 | 3.381 | 0.77 | 0.880 | 0.783 | 0.605 | 0.819 | 0.696 |
| SLM-RSD | −0.232 | 3.742 | - | 0.798 | 0.775 | 0.732 | 0.542 | 0.623 |
| Link ID | Length (km) | BIAS (mm/h) | RMSE (mm/h) | Corr. | |||
|---|---|---|---|---|---|---|---|
| SLM-RSD | RNN | SLM-RSD | RNN | SLM-RSD | RNN | ||
| 1 | 1.7 | −0.028 | 0.074 | 0.904 | 1.044 | 0.916 | 0.899 |
| 2 | 0.349 | −0.005 | −0.022 | 0.914 | 1.127 | 0.912 | 0.888 |
| 4 | 0.355 | −0.143 | −0.033 | 1.162 | 1.024 | 0.858 | 0.893 |
| 10 | 0.179 | −0.174 | −0.017 | 1.582 | 1.455 | 0.707 | 0.773 |
| 15 | 0.177 | −0.188 | −0.21 | 2.023 | 1.819 | 0.459 | 0.583 |
| 22 | 0.227 | −0.234 | 0.152 | 1.639 | 2.052 | 0.683 | 0.681 |
| 26 | 0.563 | 0.782 | −0.056 | 2.709 | 1.575 | 0.72 | 0.736 |
| 28 | 0.462 | 0.273 | 0.013 | 3.244 | 1.752 | 0.579 | 0.717 |
| 29 | 2.42 | 0.205 | 0.1 | 1.658 | 1.511 | 0.818 | 0.79 |
| 40 | 0.345 | −0.312 | −0.132 | 1.668 | 1.763 | 0.678 | 0.661 |
| Start Date | End Date | BIAS (mm) | RMSE (mm) | RG (mm) | Spatial Average (mm) | ||||
|---|---|---|---|---|---|---|---|---|---|
| SLM-RSD | RNN | SLM-RSD | RNN | Radar | SLM-RSD | RNN | |||
| 14 January 2021 08:00 | 15 January 2021 08:00 | −1.81 | −0.49 | 4.75 | 2.94 | 14.00 | 11.83 | 10.02 | 11.34 |
| 18 January 2021 08:00 | 19 January 2021 08:00 | 0.25 | 1.40 | 1.73 | 2.09 | 2.10 | 2.70 | 2.95 | 4.10 |
| 19 January 2021 08:00 | 20 January 2021 08:00 | 7.39 | −2.23 | 12.59 | 6.43 | 34.70 | 30.73 | 38.12 | 28.50 |
| 16 February 2021 08:00 | 17 February 2021 08:00 | −4.17 | −6.01 | 6.67 | 7.15 | 21.70 | 25.74 | 21.57 | 19.73 |
| 17 February 2021 08:00 | 18 February 2021 08:00 | −10.50 | −7.88 | 12.45 | 8.71 | 24.80 | 32.10 | 21.60 | 24.23 |
| 18 February 2021 08:00 | 19 February 2021 08:00 | −0.52 | −6.49 | 6.96 | 8.30 | 26.70 | 30.13 | 29.61 | 23.64 |
| 19 February 2021 08:00 | 20 February 2021 08:00 | −2.92 | −7.19 | 5.26 | 8.88 | 22.90 | 20.12 | 17.21 | 12.93 |
Disclaimer/Publisher’s Note: The statements, opinions and data contained in all publications are solely those of the individual author(s) and contributor(s) and not of MDPI and/or the editor(s). MDPI and/or the editor(s) disclaim responsibility for any injury to people or property resulting from any ideas, methods, instructions or products referred to in the content. |
© 2023 by the authors. Licensee MDPI, Basel, Switzerland. This article is an open access article distributed under the terms and conditions of the Creative Commons Attribution (CC BY) license (https://creativecommons.org/licenses/by/4.0/).
Share and Cite
Janco, R.; Ostrometzky, J.; Messer, H. In-City Rain Mapping from Commercial Microwave Links—Challenges and Opportunities. Sensors 2023, 23, 4653. https://doi.org/10.3390/s23104653
Janco R, Ostrometzky J, Messer H. In-City Rain Mapping from Commercial Microwave Links—Challenges and Opportunities. Sensors. 2023; 23(10):4653. https://doi.org/10.3390/s23104653
Chicago/Turabian StyleJanco, Roy, Jonatan Ostrometzky, and Hagit Messer. 2023. "In-City Rain Mapping from Commercial Microwave Links—Challenges and Opportunities" Sensors 23, no. 10: 4653. https://doi.org/10.3390/s23104653
APA StyleJanco, R., Ostrometzky, J., & Messer, H. (2023). In-City Rain Mapping from Commercial Microwave Links—Challenges and Opportunities. Sensors, 23(10), 4653. https://doi.org/10.3390/s23104653

