Subgrid Variational Optimized Optical Flow Estimation Algorithm for Image Velocimetry
Abstract
1. Introduction
2. Method
2.1. Scalar Transmission Equation
2.2. Data Term
2.3. Regular Term
2.4. Discretization
| Algorithm 1 Multiresolution Pyramid SGS-HS Algorithm |
| Input: Image Sequence Output: Optical Flow Velocity Field
|
3. Experiment and Analysis
3.1. Scalar Image Sequences
3.2. Turbulence Video
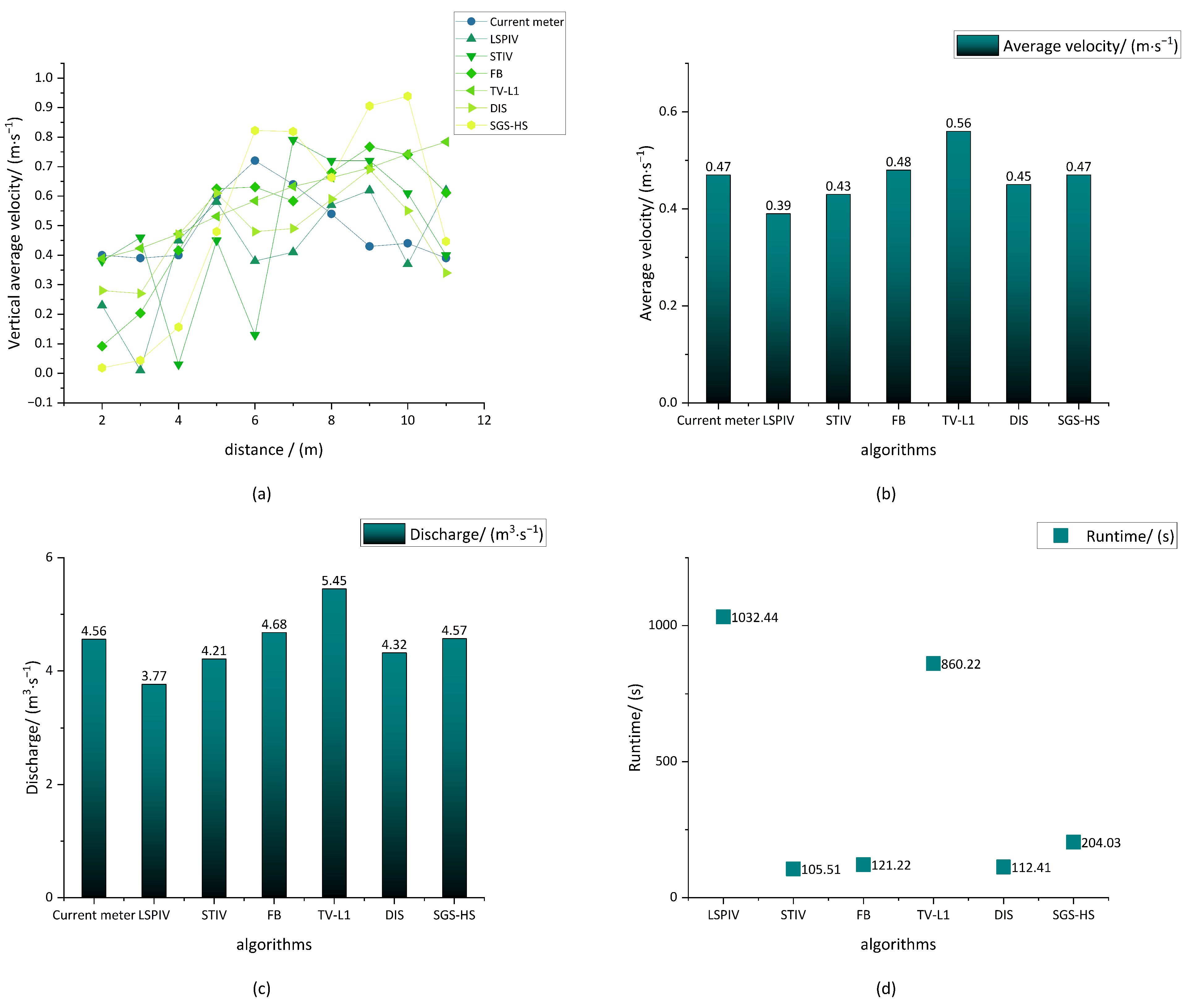
3.3. Open Channel Flow Measurement
4. Conclusions
Author Contributions
Funding
Institutional Review Board Statement
Informed Consent Statement
Data Availability Statement
Conflicts of Interest
References
- Adrian, R.J. Particle-imaging techniques for experimental fluid mechanics. Annu. Rev. Fluid Mech. 1991, 23, 261–304. [Google Scholar] [CrossRef]
- Fujita, I.; Muste, M.; Kruger, A. Large-scale particle image velocimetry for flow analysis in hydraulic engineering applications. J. Hydraul. Res. 1998, 36, 397–414. [Google Scholar] [CrossRef]
- Fujita, I.; Watanabe, H.; Tsubaki, R. Development of a non-intrusive and efficient flow monitoring technique: The space-time image velocimetry (STIV). Int. J. River Basin Manag. 2007, 5, 105–114. [Google Scholar] [CrossRef]
- Han, X.; Chen, K.; Zhong, Q.; Chen, Q.; Wang, F.; Li, D. Two-Dimensional Space-Time Image Velocimetry for Surface Flow Field of Mountain Rivers Based on UAV Video. Front. Earth Sci. 2021, 9, 686636. [Google Scholar] [CrossRef]
- Biggs, H.J.; Smith, B.; Detert, M.; Sutton, H. Surface image velocimetry: Aerial tracer particle distribution system and techniques for reducing environmental noise with coloured tracer particles. River Res. Appl. 2022, 38, 1192–1198. [Google Scholar] [CrossRef]
- Farnebäck, G. Two-frame motion estimation based on polynomial expansion. In Proceedings of the Scandinavian Conference on Image Analysis, Halmstad, Sweden, 29 June–2 July 2003; pp. 363–370. [Google Scholar]
- Horn, B.; Schunck, B. Determining optical flow. Artif. Intell. 1981, 17, 185–203. [Google Scholar] [CrossRef]
- Corpetti, T.; Heitz, D.; Arroyo, G.; Mémin, E.; Santa-Cruz, A. Fluid experimental flow estimation based on an optical-flow scheme. Exp. Fluids 2006, 40, 80–97. [Google Scholar] [CrossRef]
- Liu, T.; Shen, L. Fluid flow and optical flow. J. Fluid Mech. 2008, 614, 253–291. [Google Scholar] [CrossRef]
- Stapf, J.; Garbe, C.S. A learning-based approach for highly accurate measurements of turbulent fluid flows. Exp. Fluids 2014, 55, 1–14. [Google Scholar] [CrossRef]
- Dérian, P.; Héas, P.; Herzet, C.; Mémin, E. Wavelets and optical flow motion estimation. Numer. Math. Theory Methods Appl. 2013, 6, 116–137. [Google Scholar] [CrossRef]
- Papadakis, N.; Mémin, É. Variational assimilation of fluid motion from image sequence. SIAM J. Imaging Sci. 2008, 1, 343–363. [Google Scholar] [CrossRef]
- Beyou, S.; Cuzol, A.; Subrahmanyam Gorthi, S.A.I.; Mémin, E. Weighted ensemble transform Kalman filter for image assimilation. Tellus A Dyn. Meteorol. Oceanogr. 2013, 65, 18803. [Google Scholar] [CrossRef]
- Cassisa, C.; Simoëns, S.; Prinet, V.; Shao, L. Subgrid scale formulation of optical flow for the study of turbulent flow. Exp. Fluids 2011, 51, 1739–1754. [Google Scholar] [CrossRef]
- Chen, X.; Zillé, P.; Shao, L.; Corpetti, T. Optical flow for incompressible turbulence motion estimation. Exp. Fluids 2015, 56, 8. [Google Scholar] [CrossRef]
- Cai, S.; Mémin, E.; Dérian, P.; Xu, C. Motion estimation under location uncertainty for turbulent fluid flows. Exp. Fluids 2018, 59, 1–17. [Google Scholar] [CrossRef]
- Mémin, E. Fluid flow dynamics under location uncertainty. Geophys. Fluid Dyn. 2014, 108, 119–146. [Google Scholar] [CrossRef]
- Batchelor, G.K. An Introduction to Fluid Dynamics; Cambridge University Press: Cambridge, UK, 2000. [Google Scholar]
- Corpetti, T.; Mémin, É.; Pérez, P. Dense estimation of fluid flows. IEEE Trans. Pattern Anal. Mach. Intell. 2002, 24, 365–380. [Google Scholar] [CrossRef]
- Kolmogorov, A.N. The local structure of turbulence in incompressible viscous fluid for a very large Reynolds number. Dokl. Akad. Nauk SSSR 1941, 30, 9–13. [Google Scholar]
- Le Ribault, C.; Sarkar, S.; Stanley, S.A. Large eddy simulation of evolution of a passive scalar in plane jet. AIAA J. 2001, 39, 1509–1516. [Google Scholar] [CrossRef]
- Deardorff, J.W. A numerical study of three-dimensional turbulent channel flow at large Reynolds numbers. J. Fluid Mech. 1970, 41, 453–480. [Google Scholar] [CrossRef]
- Smagorinsky, J. General circulation experiments with the primitive equations: I. The basic experiment. Mon. Weather. Rev. 1963, 91, 99–164. [Google Scholar] [CrossRef]
- Ruhnau, P.; Schnörr, C. Optical stokes flow estimation: An imaging-based control approach. Exp. Fluids 2007, 42, 61–78. [Google Scholar] [CrossRef]
- Zille, P.; Corpetti, T.; Shao, L.; Chen, X. Observation Model Based on Scale Interactions for Optical Flow Estimation. IEEE Trans. Image Process. 2014, 23, 3281–3293. [Google Scholar] [CrossRef] [PubMed]
- Chrashekar, P.; Roy, S.; Murthy, A. A variational approach to estimate incompressible fluid flows. Proc. Math. Ences 2016, 127, 175–201. [Google Scholar] [CrossRef]
- Zach, C.; Pock, T.; Bischof, H. A duality based approach for realtime tv-l 1 optical flow. In Proceedings of the Joint Pattern Recognition Symposium, Heidelberg, Germany, 12–14 September 2007; pp. 214–223. [Google Scholar]
- Kroeger, T.; Timofte, R.; Dai, D.; Gool, L.V. Fast optical flow using dense inverse search. In Proceedings of the European Conference on Computer Vision, Amsterdam, The Netherlands, 11–14 October 2016; pp. 471–488. [Google Scholar]
- GB50179-2015; River Flow Test Specification. China Planning Press: Beijing, China, 2015.






| Distance/(m) | Vertical Average Velocity/() | Segment Mean Velocity/() | Segment Area/() | Segment Discharge /() |
|---|---|---|---|---|
| 0 (side) | 0 | |||
| 0∼2 | 0.29 | 1.45 | 0.42 | |
| 0.36 | ||||
| 2∼3 | 0.4 | 0.85 | 0.34 | |
| 0.43 | ||||
| 3∼4 | 0.39 | 0.92 | 0.36 | |
| 0.35 | ||||
| 4∼5 | 0.4 | 0.99 | 0.4 | |
| 0.45 | ||||
| 5∼6 | 0.6 | 0.98 | 0.59 | |
| 0.76 | ||||
| 6∼7 | 0.72 | 0.95 | 0.68 | |
| 0.68 | ||||
| 7∼8 | 0.64 | 0.8 | 0.51 | |
| 0.61 | ||||
| 8∼9 | 0.54 | 0.77 | 0.42 | |
| 0.48 | ||||
| 9∼10 | 0.43 | 0.86 | 0.37 | |
| 0.38 | ||||
| 10∼11 | 0.44 | 0.71 | 0.31 | |
| 0.49 | ||||
| 11∼11.9 | 0.39 | 0.42 | 0.16 | |
| 11.9 (side) | 0 |
| Vertical Average Velocity/() | Average Velocity /() | Discharge /() | ||||||||||
|---|---|---|---|---|---|---|---|---|---|---|---|---|
| Distance/(m) | 2 | 3 | 4 | 5 | 6 | 7 | 8 | 9 | 10 | 11 | ||
| Current meter | 0.36 | 0.43 | 0.35 | 0.45 | 0.76 | 0.68 | 0.61 | 0.48 | 0.38 | 0.49 | 0.47 | 4.56 |
| LSPIV | 0.23 | 0.01 | 0.45 | 0.58 | 0.38 | 0.41 | 0.57 | 0.62 | 0.37 | 0.62 | 0.39 | 3.77 |
| STIV | 0.38 | 0.46 | 0.031 | 0.45 | 0.13 | 0.79 | 0.72 | 0.72 | 0.61 | 0.4 | 0.43 | 4.21 |
| FB | 0.092 | 0.2 | 0.41 | 0.62 | 0.63 | 0.58 | 0.67 | 0.76 | 0.73 | 0.61 | 0.48 | 4.68 |
| TV-L1 | 0.39 | 0.42 | 0.47 | 0.53 | 0.58 | 0.63 | 0.66 | 0.69 | 0.74 | 0.78 | 0.56 | 5.45 |
| DIS | 0.28 | 0.27 | 0.47 | 0.61 | 0.48 | 0.49 | 0.59 | 0.69 | 0.55 | 0.34 | 0.45 | 4.32 |
| SGS-HS | 0.018 | 0.044 | 0.16 | 0.48 | 0.82 | 0.81 | 0.66 | 0.9 | 0.93 | 0.44 | 0.47 | 4.57 |
| Absolute Error/() | Average Velocity /() | Discharge /() | ||||||||||
|---|---|---|---|---|---|---|---|---|---|---|---|---|
| Distance/(m) | 2 | 3 | 4 | 5 | 6 | 7 | 8 | 9 | 10 | 11 | ||
| LSPIV | 0.13 | 0.42 | 0.1 | 0.13 | 0.38 | 0.27 | 0.04 | 0.14 | 0.01 | 0.13 | 0.08 | 0.79 |
| STIV | 0.02 | 0.03 | 0.32 | 0 | 0.63 | 0.11 | 0.11 | 0.24 | 0.23 | 0.09 | 0.06 | 0.35 |
| FB | 0.26 | 0.23 | 0.06 | 0.17 | 0.13 | 0.1 | 0.06 | 0.28 | 0.35 | 0.12 | 0.01 | 0.12 |
| TV-L1 | 0.03 | 0.006 | 0.12 | 0.08 | 0.17 | 0.05 | 0.05 | 0.21 | 0.36 | 0.29 | 0.09 | 0.89 |
| DIS | 0.08 | 0.16 | 0.12 | 0.16 | 0.28 | 0.19 | 0.02 | 0.21 | 0.17 | 0.15 | 0.02 | 0.24 |
| SGS-HS | 0.34 | 0.38 | 0.19 | 0.03 | 0.06 | 0.13 | 0.05 | 0.42 | 0.55 | 0.05 | 0.003 | 0.01 |
| Relative Error/(%) | Average Velocity /() | Discharge /() | ||||||||||
|---|---|---|---|---|---|---|---|---|---|---|---|---|
| Distance/(m) | 2 | 3 | 4 | 5 | 6 | 7 | 8 | 9 | 10 | 11 | ||
| LSPIV | 36.11 | 97.7 | 28.57 | 28.89 | 50.21 | 40.15 | 7.01 | 28.28 | 3.61 | 26.86 | 17.02 | 17.32 |
| STIV | 5.56 | 6.98 | 91.43 | 0.8 | 82.81 | 16.82 | 18.01 | 49.63 | 61.51 | 17.73 | 12.76 | 7.68 |
| FB | 72.22 | 53.49 | 17.14 | 37.78 | 17.11 | 14.71 | 9.83 | 58.33 | 92.1 | 24.49 | 2.12 | 2.63 |
| TV-L1 | 7.94 | 1.53 | 34.89 | 18.12 | 23.15 | 6.94 | 8.65 | 44.94 | 95.47 | 59.89 | 19.14 | 19.51 |
| DIS | 22.2 | 37.2 | 34.3 | 35.6 | 36.8 | 27.3 | 3.3 | 43.8 | 44.7 | 30.6 | 4.3 | 5.3 |
| SGS-HS | 94.44 | 88.37 | 54.28 | 6.67 | 7.89 | 19.12 | 8.2 | 87.5 | 144.7 | 10.2 | 0.64 | 0.22 |
| Runtime Environment | Runtime/(s) | |||||
|---|---|---|---|---|---|---|
| LSPIV | STIV | FB | TV-L1 | DIS | SGS-HS | |
| AMD Ryzen 7 | 1032.44 | 105.51 | 121.22 | 860.22 | 112.41 | 204.03 |
| Windows 10 (x64) | ||||||
| Python 3.9 | ||||||
| OpenCV4.2 | ||||||
Disclaimer/Publisher’s Note: The statements, opinions and data contained in all publications are solely those of the individual author(s) and contributor(s) and not of MDPI and/or the editor(s). MDPI and/or the editor(s) disclaim responsibility for any injury to people or property resulting from any ideas, methods, instructions or products referred to in the content. |
© 2022 by the authors. Licensee MDPI, Basel, Switzerland. This article is an open access article distributed under the terms and conditions of the Creative Commons Attribution (CC BY) license (https://creativecommons.org/licenses/by/4.0/).
Share and Cite
Xu, H.; Wang, J.; Zhang, Y.; Zhang, G.; Xiong, Z. Subgrid Variational Optimized Optical Flow Estimation Algorithm for Image Velocimetry. Sensors 2023, 23, 437. https://doi.org/10.3390/s23010437
Xu H, Wang J, Zhang Y, Zhang G, Xiong Z. Subgrid Variational Optimized Optical Flow Estimation Algorithm for Image Velocimetry. Sensors. 2023; 23(1):437. https://doi.org/10.3390/s23010437
Chicago/Turabian StyleXu, Haoxuan, Jianping Wang, Ya Zhang, Guo Zhang, and Zhaolong Xiong. 2023. "Subgrid Variational Optimized Optical Flow Estimation Algorithm for Image Velocimetry" Sensors 23, no. 1: 437. https://doi.org/10.3390/s23010437
APA StyleXu, H., Wang, J., Zhang, Y., Zhang, G., & Xiong, Z. (2023). Subgrid Variational Optimized Optical Flow Estimation Algorithm for Image Velocimetry. Sensors, 23(1), 437. https://doi.org/10.3390/s23010437

