Sleep Quality Evaluation Based on Single-Lead Wearable Cardiac Cycle Acquisition Device
Abstract
1. Introduction
2. Materials
2.1. International Public Dataset
2.2. Subjects
3. Method
3.1. Sleep Staging Model
3.1.1. Data Preprocessing
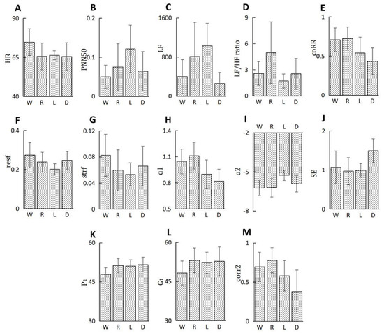
3.1.2. Feature Selection
- Candidate features that represent the characteristics of the data segment itself
- 2
- Candidate features that represent the relationship between current data unit and the adjacent/overnight data units
- 3
- Useless features elimination
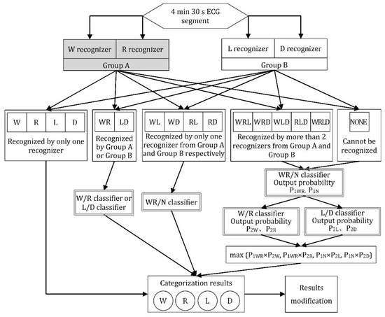
3.1.3. Steps of Model Construction
- Principle of recognizers’ construction
- 2
- Boundary value processing based on variable threshold and window width
- 3
- Determination method of the final category
3.1.4. Model Performance Guarantee and Examination
3.2. Sleep Quality Evaluation Model
3.2.1. Data Preprocessing
3.2.2. Model Principle
4. Results
4.1. Feature Selection Result
4.2. Performance of Sleep Staging Model
4.3. Performance of Sleep Quality Evaluation Model
5. Discussion
6. Conclusions
Author Contributions
Funding
Institutional Review Board Statement
Informed Consent Statement
Data Availability Statement
Acknowledgments
Conflicts of Interest
Appendix A
| Sleep Log Questionnaire |
| Job NO. Sex Age Date Device NO.________ Instructions: The following questions relate to your sleep quality last night. Please fill in the questionnaire as soon as you wake up in the morning. Your answers should indicate the most accurate reply of your real sleep quality. |
- 1. Sleep time
- a. Time you went to bed last night:
- b. Time you were ready to sleep last night:
- c. Time you fell asleep last night:
- d. Time you wake up in the morning:
- e. Duration you were awake in the sleep:
- 2. For each of the remaining questions, check the one best response. Please answer all questions.
| a. Wake up in the middle of the night or early morning | ①Not | ②Once | ③Twice | ④Three or more times |
| b. Have to get up to use the bathroom | ①Not | ②Once | ③Twice | ④Three or more times |
| c. Cannot breathe comfortably | ①Not | ②Once | ③Twice | ④Three or more times |
| d. Cough or snore loudly | ①Not | ②Once | ③Twice | ④Three or more times |
| e. Feel too cold | ①Not | ②Once | ③Twice | ④Three or more times |
| f. Feel too hot | ①Not | ②Once | ③Twice | ④Three or more times |
| g. Had bad dreams | ①Not | ②Once | ③Twice | ④Three or more times |
| h. Have pain | ①Not | ②Once | ③Twice | ④Three or more times |
| i. Wake up by noise or roommate | ①Not | ②Once | ③Twice | ④Three or more times |
| j. Wake up by physical cause or sleeping posture | ①Not | ②Once | ③Twice | ④Three or more times |
| k. Wake up by other reason(s) | ①Not | ②Once | ③Twice | ④Three or more times |
- 3. Feelings in the morning
| a. Feel energetic? | ①Very energetic | ②Fairly energetic | ③Fairly sleepy | ④Very sleepy |
| b. Head clear or dazed | ①Very clear | ②Fairly clear | ③Fairly dazed | ④Very dazed |
| c. How would you rate your sleep quality? | ①Very good | ②Fairly good | ③Fairly bad | ④Very bad |
- 4. How often have you taken medicine (prescribed or “over the counter”) to help you sleep?
| ①Not during the past month | ②Less than once a week |
| ③Once or twice a week | ④Three or more times a week |
- Component 1: Subjective sleep quality
- Examine question 3c, and assign scores “0”, ”1”, ”2”, ”3” to the options “①”, “②”, “③”, “④” respectively.
- Component 2: Sleep latency
- Examine questions 1b and 1c, and calculate their time difference. Assign scores as follows:
| Time difference between 1b and 1c | ≤15 min | 16~30 min | 31~60 min | ≥ 60 min |
| Score | 0 | 1 | 2 | 3 |
- Component 3: Sleep duration
- Examine questions 1d and 1c, and calculate their time difference. Assign scores as follows:
| Time difference between 1d and 1c | >7 h | 6~7 h | 5~6 h | <5 h |
| Score | 0 | 1 | 2 | 3 |
- Component 4: Sleep efficiency
- Examine questions 1d, 1b and 1c, sleep efficiency is calculated as (1d-1c)/(1d-1b). Assign scores as follows:
| Sleep efficiency | ≥85% | 75% ~84% | 65% ~74% | ≤ 65% |
| Score | 0 | 1 | 2 | 3 |
- Component 5: Sleep disturbances
- Examine questions 2a-2k, and assign scores “0”, ”1”, ”2”, ”3” to the options “①”, “②”, “③”, “④” respectively. Add the scores for questions 2a-2k and assign scores as follows:
| Sum of 2a-2k | 0 | 1–9 | 10–18 | 19–27 | 27–33 |
| Score | 0 | 1 | 2 | 3 | 4 |
- Component 6: Daytime dysfunction
- Examine questions 3a-3b, and assign scores “0”, ”1”, ”2”, ”3” to the options “①”, “②”, “③”, “④” respectively. Add the scores for questions 3a-3b and assign scores as follows:
| Sum of 3a-3b | 0 | 1–2 | 3–4 | 5–6 |
| Score | 0 | 1 | 2 | 3 |
- Component 7: Use of sleeping medication
- Examine question 4 and assign scores “0”, ”1”, ”2”, ”3” to the options “①”, “②”, “③”, “④” respectively.
- Global sleep score is the sum of the 7 components score.
Appendix B
| Classified as ↓ | W | R | L | D |
|---|---|---|---|---|
| W | 6388 | 1795 | 3970 | 418 |
| R | 1930 | 5601 | 5050 | 277 |
| L | 710 | 1196 | 23,060 | 902 |
| D | 117 | 63 | 4589 | 6013 |
| Classified as ↓ | W | R | L | D |
|---|---|---|---|---|
| W | 8325 | 2147 | 5198 | 395 |
| R | 2388 | 7210 | 6092 | 310 |
| L | 985 | 1334 | 27,869 | 1021 |
| D | 320 | 173 | 5412 | 6497 |
References
- Kushida, C.A.; Littner, M.R.; Morgenthaler, T.; Alessi, C.A.; Bailey, D.; Coleman, J.; Friedman, L.; Hirshkowitz, M.; Kapen, S.; Kramer, M.; et al. Practice parameters for the indications for polysomnography and related procedures: An update for 2005. Sleep 2005, 28, 499–521. [Google Scholar] [CrossRef] [PubMed]
- American Academy of Sleep Medicine. The AASM Manual for the Scoring of Sleep and Associated Events. Available online: https://aasm.org/clinical-resources/scoring-manual/ (accessed on 7 July 2022).
- Westerlund, A.; Lagerros, Y.T.; Kecklund, G.; Axelsson, J.; Akerstedt, T. Relationships between questionnaire ratings of sleep quality and polysomnography in healthy adults. Behav. Sleep Med. 2016, 14, 185–199. [Google Scholar] [CrossRef] [PubMed]
- Kaplan, K.A.; Hirshman, J.; Hernandez, B.; Stefanick, M.L.; Hoffman, A.R.; Redline, S.; Ancoli-Israel, S.; Stone, K.; Friedman, L.; Zeitzer, J.M. When a gold standard isn’t so golden: Lack of prediction of subjective sleep quality from sleep polysomnography. Biol. Psychol. 2017, 123, 37–46. [Google Scholar] [CrossRef] [PubMed]
- Liang, S.; Kuo, C.; Hu, Y.; Pan, Y.; Wang, Y. Automatic stage scoring of single-channel sleep EEG by using multiscale entropy and autoregressive models. IEEE Trans. Instrum. Meas. 2012, 61, 1649–1657. [Google Scholar] [CrossRef]
- Ma, Q.; Bian, C.; Wang, J. Scaling analysis on electroencephalogram and its application to sleep-staging. Chin. Phys. Soc. 2010, 59, 4480–4484. [Google Scholar]
- Wei, R.; Zhang, X.; Wang, J.; Dang, X. The research of sleep staging based on single-lead electrocardiogram and deep neural network. Biomed. Eng. Lett. 2018, 8, 87–93. [Google Scholar] [CrossRef]
- Liu, C.; Yang, M.; Di, J.; Xing, Y.; Li, Y.; Li, J. Wearable ECG: History, key technologies and future challenges. Chin. J. Biomed. Eng. 2019, 38, 641–652. [Google Scholar]
- Thomas, R.J.; Mietus, J.E.; Peng, C.K.; Goldberger, A.L. An electrocardiogram-based technique to assess cardiopulmonary coupling during sleep. Sleep 2005, 28, 1151–1161. [Google Scholar] [CrossRef]
- Willemen, T.; Van Deun, D.; Verhaert, V.; Vandekerckhove, M.; Exadaktylos, V.; Verbraecken, J.; Van Huffel, S.; Haex, B.; Vander Sloten, J. An evaluation of cardiorespiratory and movement features with respect to sleep-stage classification. IEEE J. Biomed. Health Inform. 2014, 18, 661–669. [Google Scholar] [CrossRef]
- Fonseca, P.; Long, X.; Radha, M.; Haakma, R.; Aarts, R.M.; Rolink, J. Sleep stage classification with ECG and respiratory effort. Physiol. Meas. 2015, 36, 2027–2040. [Google Scholar] [CrossRef]
- Yan, C.; Li, P.; Yang, M.; Li, Y.; Li, J.; Zhang, H.; Liu, C. Entropy Analysis of Heart Rate Variability in Different Sleep Stages. Entropy 2022, 24, 379. [Google Scholar] [CrossRef] [PubMed]
- Schäfer, A.; Vagedes, J. How accurate is pulse rate variability as an estimate of heart rate variability? Int. J. Cardiol. 2013, 166, 15–29. [Google Scholar] [CrossRef] [PubMed]
- Singh, J.; Kamlin, C.; Omar, F.; Morley Colin, J. Accuracy of pulse oximetry in assessing heart rate of infants in the neonatal intensive care unit. J. Paediatr. Child Health 2008, 44, 273–275. [Google Scholar] [CrossRef] [PubMed]
- Goldberger, A.L.; Amaral, L.; Glass, L.; Hausdorff, J.M.; Ivanov, P.C.; Mark, R.G.; Mietus, J.E.; Moody, G.B.; Peng, C.K.; Stanley, H.E. PhysioBank, PhysioToolkit, and PhysioNet—Components of a new research resource for complex physiologic signals. Circulation 2000, 101, E215–E220. [Google Scholar] [CrossRef] [PubMed]
- Buysse, D.J.; Reynolds, C.F.; Monk, T.H.; Berman, S.R.; Kupfer, D.J. The pittsburgh sleep quality index—A new instrument for psychiatric practice and research. Psychiatry Res. 1989, 28, 193–213. [Google Scholar] [CrossRef] [PubMed]
- Tataraidze, A.; Korostovtseva, L.; Anishchenko, L.; Bochkarev, M.; Sviryaev, Y. Sleep architecture measurement based on cardiorespiratory parameters. In Proceedings of the IEEE Engineering in Medicine and Biology Society Conference Proceedings, Orlando, FL, USA, 16–20 August 2016. [Google Scholar]
- Urtnasan, E.; Park, J.; Lee, K. Multiclass classification of obstructive sleep apnea/hypopnea based on a convolutional neural network from a single-lead electrocardiogram. Physiol. Meas. 2018, 39, 065003. [Google Scholar] [CrossRef] [PubMed]
- Zhang, G.; Cui, L.; Mueller, R.; Tao, S.; Kim, M.; Rueschman, M.; Mariani, S.; Mobley, D.; Redline, S. The national sleep research resource: Towards a sleep data commons. J. Am. Med. Inform. Assoc. 2018, 25, 1351–1358. [Google Scholar] [CrossRef]
- Quan, S.F.; Howard, B.V.; Iber, C.; Kiley, J.P.; Nieto, F.J.; O’Connor, G.T.; Rapoport, D.M.; Redline, S.; Robbins, J.; Samet, J.M.; et al. The sleep heart health study: Design, rationale, and methods. Sleep 1997, 20, 1077–1085. [Google Scholar]
- Ghassemi, M.; Moody, B.; Lehman, L.W.; Song, C.; Li, Q.; Sun, H.; Westover, M.B.; Clifford, G. You Snooze, You Win: The PhysioNet/Computing in Cardiology Challenge 2018. In Proceedings of the 2018 Computing in Cardiology Conference (CinC), Maastricht, The Netherlands, 23–26 September 2018; Volume 45, pp. 1–4. [Google Scholar]
- Pan, J.; Tompkins, W.J. A real-time qrs detection algorithm. IEEE Trans. Biomed. Med. Eng. 1985, 32, 230–236. [Google Scholar] [CrossRef]
- Yoon, H.; Hwang, S.H.; Choi, J.; Lee, Y.J.; Jeong, D.; Park, K.S. REM sleep estimation based on autonomic dynamics using R-R intervals. Physiol. Meas. 2017, 38, 631–651. [Google Scholar] [CrossRef]
- Peng, C.K.; Buldyrev, S.V.; Havlin, S.; Simons, M.; Goldberger, A.L. Mosaic organization of DNA nucleotides. Phys. Rev. E 1994, 49, 1685–1689. [Google Scholar] [CrossRef] [PubMed]
- Porta, A.; Rienzo, M.D.; Wessel, N.; Kurths, J. Addressing the complexity of cardiovascular regulation. Philos. Trans. R. Soc. 2009, 367, 1215–1218. [Google Scholar] [CrossRef] [PubMed]
- Guzik, P.; Piskorski, J.; Krauze, T.; Wykretowicz, A.; Wysocki, H. Heart rate asymmetry by Poincare plots of RR intervals. Biomed. Eng./Biomed. Tech. 2006, 51, 272–275. [Google Scholar] [CrossRef] [PubMed]
- Li, Y.; Li, J.; Liu, J.; Xue, Y.; Cao, Z.; Liu, C. Variations of Time irreversibility of heart rate variability under normobaric hypoxic exposure. Front. Physiol. 2021, 12, 262–269. [Google Scholar] [CrossRef]
- Pandey, K.R.; Panday, D. Heart rate variability (HRV). J. Clin. Exp. Cardiol. 2018, 9, 1000583. [Google Scholar]
- Youden, W.J. Index for rating diagnostic tests. Cancer 1950, 3, 32–35. [Google Scholar] [CrossRef]
- Guyon, I.; Weston, J.; Barnhill, S.; Vapnik, V. Gene selection for cancer classification using support vector machines. Mach. Learn. 2002, 46, 389–422. [Google Scholar] [CrossRef]
- Platt, J.C. Probabilistic outputs for support vector machines and comparisons to regularized likelihood methods. In Advances in Large Margin Classifiers; Smola, A.J., Bartlett, P., Scholkopf, B., Schuur, D., Eds.; MIT Press: Cambridge, MA, USA, 1999. [Google Scholar]
- Li, Q.; Li, Q.; Liu, C.; Shashikumar, P.; Nemati, S.; Clifford, G.D. Deep learning in the cross-time frequency domain for sleep staging from a single-lead electrocardiogram. Physiol. Meas. 2018, 39, 124005. [Google Scholar] [CrossRef]
- Isa, S.M.; Wasito, I.; Arymurthy, A.M. Kernel dimensionality reduction on sleep stage classification using ECG signal. Int. J. Comput. Sci. Issues 2011, 8, 115–123. [Google Scholar]
- Klosch, G.; Kemp, B.; Penzel, T.; Schlogl, A.; Rappelsberger, P.; Trenker, E.; Gruber, G.; Zeitlhofer, J.; Saletu, B.; Herrmann, W.M.; et al. The SIESTA project polygraphic and clinical database. IEEE Eng. Med. Biol. Mag. 2001, 20, 51–57. [Google Scholar] [CrossRef]








| Category | Feature | Description |
|---|---|---|
| Linear HRV features | HR | Average heart rate |
| SDNN | The standard deviation of NN intervals. | |
| RMSSD | The root mean square of successive differences. | |
| SDSD | The standard deviation of the difference of the adjacent NN intervals. | |
| PNN50 | The number of times in which the change in successive normal sinus intervals exceeds 50 ms. | |
| LF, HF VLF LF/HF ratio | Low-frequency and high-frequency power. Very low-frequency power. The ratio of low-frequency power to high-frequency power | |
| LFn, HFn | The normalized low-frequency and high-frequency power. | |
| Features relevant to respiration | coRR | Coefficient of an RR interval sequence and its second-order smoothed sequence |
| resf | The dominant frequency in the range of 0.15 to 0.5 Hz | |
| strf | The standard deviation of resf | |
| Nonlinear features | ɑ1, ɑ2 | The value of slope and offset in DFA. |
| SE, FE | Sample entropy and Fuzzy entropy | |
| SD1, SD2 | Poincaré plot features. SD1 and SD2 are the length of semi-minor axis and semi-major axis of the fitting ellipse of the Poincaré plot. | |
| Time irreversibility features | P1, G1 | As shown in formula (1) and (2) |
| Other features | corr2 | If the length of a sequence is n, and the first and last n-2 points constitute sequences s1, s2 respectively, corr2 is the coefficient of s1 and s2. |
| Feature | Description |
|---|---|
| aHRs_t1_b1,aHRs_t1_b2, aHRs_t2_b1, aHRs_t2_b2, aress_t1_b1, aress_t1_b2, aress_t2_b1, aress_t2_b2, zHRs_t1_b1, zHRs_t1_b2, zHRs_t2_b1, zHRs_t2_b2, zress_t1_b1, zress_t1_b2, zress_t2_b1, zress_t2_b2 | Rising and falling trend features of instantaneous HR and respiratory rate in the 3 min window before and after current data unit. |
| HRm_m1, resm_m1 | The ratio of average HR and respiration rate in current data unit to that in current one-hour. |
| HRm_ma, resm_ma. | The ratio of average HR and respiration rate in current data unit to that in overnight data. |
| Total Subjects | Deserted | Usable | |
|---|---|---|---|
| Good Sleep (≤6 Points) | Poor Sleep (>6 Points) | ||
| 200 | 87 | 74 | 39 |
| Recognizer/Classifier | Features Combinations |
|---|---|
| W recognizer | coRR, HR, resf, ɑ2 |
| R recognizer | coRR, HR, resf, ɑ1, ɑ2, G1 |
| L recognizer | HR, resf, SE, ɑ2, P1 |
| D recognizer | resf, LF, ɑ1, corr2 |
| Categories | Database | Performance in Each Subset | Accuracy | Average F1-Score | ||
|---|---|---|---|---|---|---|
| Subset | Accuracy | Average F1-Score | ||||
| W/REM/N1, N2/N3 | CincDB | K1 | 0.658 | 0.622 | 0.661 | 0.625 |
| K2 | 0.659 | 0.621 | ||||
| K3 | 0.665 | 0.628 | ||||
| K4 | 0.659 | 0.623 | ||||
| K5 | 0.663 | 0.629 | ||||
| SHHS1DB | K1 | 0.664 | 0.618 | 0.659 | 0.624 | |
| K2 | 0.653 | 0.622 | ||||
| K3 | 0.656 | 0.623 | ||||
| K4 | 0.651 | 0.629 | ||||
| K5 | 0.670 | 0.628 | ||||
| “Good Sleep” Accuracy | “Poor Sleep” Accuracy | Average Accuracy | Average F1-Score |
|---|---|---|---|
| 0.784 | 0.789 | 0.786 | 0.771 |
| Features Combination | Accuracy/ Youden’s Index | Features Combination | Accuracy/ Youden’s Index |
|---|---|---|---|
| coRR, G1 | 0.799/0.538 | coRR, resf, ɑ2 | 0.807/0.560 |
| coRR, ɑ2 | 0.796/0.523 | coRR, strf, ɑ2 | 0.805/0.557 |
| ɑ1, ɑ2 | 0.789/0.530 | ɑ2, P1, corr2 | 0.799/0.554 |
| ɑ2, corr2 | 0.780/0.539 | HR, ɑ2, corr2 | 0.795/0.548 |
| ɑ1, P1 | 0.776/0.516 | HR, ɑ1, ɑ2 | 0.794/0.536 |
| corr2, P1 | 0.775/0.481 | coRR, HR, ɑ1 | 0.789/0.531 |
| coRR, ɑ1 | 0.769/0.480 | LF/HF ratio, ɑ1, ɑ2 | 0.772/0.532 |
| coRR, HR | 0.758/0.481 | coRR, PNN50, corr2 | 0.770/0.521 |
| … | … | … | … |
| LF(HF), ɑ2 | 0.648(0.629)/0.315(0.298) | ɑ1, ɑ2, SD1(SD2) | 0.721(0.718)/0.415(0.409) |
| VLF, ɑ1 | 0.609/0.226 | ɑ1, ɑ2, SDNN(RMSSD) | 0.712(0.717)/0.382(0.391) |
| LFn(HFn), ɑ1 | 0.596(0.607)/0.209(0.214) | coRR, strf, SDSD | 0.704/0.411 |
| Work | Signals | Database | Feature Quantity | Method | Accuracy |
|---|---|---|---|---|---|
| Li Q. [32] | ECG | CincDB, SHHS1DB | 8 | CNN + SVM | 0.656 0.659 |
| Fonseca P [11] | ECG + RIP | 48 of SIESTA | 142 | multi-class Bayesian linear discriminant | 0.69 |
| Sani M. Isa [33] | ECG | SLPDB | 9 | KDR + kNN + RF + SVM | 0.60 |
| Our work | ECG | CincDB, SHHS1DB | 33 | PCA + SVM | 0.661 0.659 |
Disclaimer/Publisher’s Note: The statements, opinions and data contained in all publications are solely those of the individual author(s) and contributor(s) and not of MDPI and/or the editor(s). MDPI and/or the editor(s) disclaim responsibility for any injury to people or property resulting from any ideas, methods, instructions or products referred to in the content. |
© 2022 by the authors. Licensee MDPI, Basel, Switzerland. This article is an open access article distributed under the terms and conditions of the Creative Commons Attribution (CC BY) license (https://creativecommons.org/licenses/by/4.0/).
Share and Cite
Li, Y.; Li, J.; Yan, C.; Dong, K.; Kang, Z.; Zhang, H.; Liu, C. Sleep Quality Evaluation Based on Single-Lead Wearable Cardiac Cycle Acquisition Device. Sensors 2023, 23, 328. https://doi.org/10.3390/s23010328
Li Y, Li J, Yan C, Dong K, Kang Z, Zhang H, Liu C. Sleep Quality Evaluation Based on Single-Lead Wearable Cardiac Cycle Acquisition Device. Sensors. 2023; 23(1):328. https://doi.org/10.3390/s23010328
Chicago/Turabian StyleLi, Yang, Jianqing Li, Chang Yan, Kejun Dong, Zhiyu Kang, Hongxing Zhang, and Chengyu Liu. 2023. "Sleep Quality Evaluation Based on Single-Lead Wearable Cardiac Cycle Acquisition Device" Sensors 23, no. 1: 328. https://doi.org/10.3390/s23010328
APA StyleLi, Y., Li, J., Yan, C., Dong, K., Kang, Z., Zhang, H., & Liu, C. (2023). Sleep Quality Evaluation Based on Single-Lead Wearable Cardiac Cycle Acquisition Device. Sensors, 23(1), 328. https://doi.org/10.3390/s23010328

