Analysis of Privacy-Enhancing Technologies in Open-Source Federated Learning Frameworks for Driver Activity Recognition
Abstract
:1. Introduction
- analysis and systematization of the privacy-preserving mechanisms developed for the FL systems;
- analysis of the privacy-preserving mechanisms available to the users in the open-source FL frameworks;
- assessment of their impact on overall training performance of FL systems.
2. Privacy Mechanisms for Federated Learning
- class representative attacks that allow an adversary to recreate samples like the samples of the original training dataset;
- membership inference attacks that target to determine if a given sample was used in the training process;
- property inference attacks that target to learn patterns and important properties of the training dataset such as class balance in the dataset;
- sample/label inference attacks that allow an adversary to obtain not only training samples but also labels with it;
- source membership attack [23].
- differential privacy (DP) mechanisms;
- data and model encryption techniques that include multi-party secure computations (MPC) and homomorphic encryption (HE);
- trusted execution environment (TEE).
- a semi-honest adversary that could corrupt parties but follows the protocol as specified, such adversaries are also referred to as honest-but-curious);
- a malicious adversary that can arbitrarily deviate from the protocol specification, such adversaries are often called active ones.
2.1. Differential Privacy (DP)
2.2. Model and Data Encryption Techniques
- multi-party computation (MPC);
- homomorphic encryption (HE);
- functional encryption.
2.3. Trusted Execution Environment
- Confidentiality that guarantees that the current state of the code execution remains confidential unless it receives the corresponding verified notification;
- Integrity that guarantees that code alteration, as well as its execution path, could not be changed unless it receives a corresponding verified notification;
- Attestation that allows TEE to prove that code is currently executed and to demonstrate its initial state.
3. Privacy-Preserving Mechanisms Implemented in Open-Source FL Frameworks
3.1. Experiment Setup
- What privacy-preserving mechanisms are implemented, and what protocols are used?
- What analysis models are they intended for?
- Are there any specific limitations on their practical application?
- How do privacy mechanisms impact the training process in terms of accuracy, time and network traffic?
- single hardware hyper-thread in 2.0–3.8 GHz core,
- RAM 6.5 GB (RW speed 24 Mb/s),
- swap: 180 GB, HDD: 30 GB (RW speed 24 Mb/s).
- four clients: the first client had three attributes, the second and third—two attributes each, and the fourth client had one attribute and one label;
- two clients: the first client had six attributes, and the second client—one attribute and one label.
3.2. Detailed Analysis of the Privacy Mechanisms Available in FATE Framework
3.2.1. Secure Aggregation Strategy in FATE
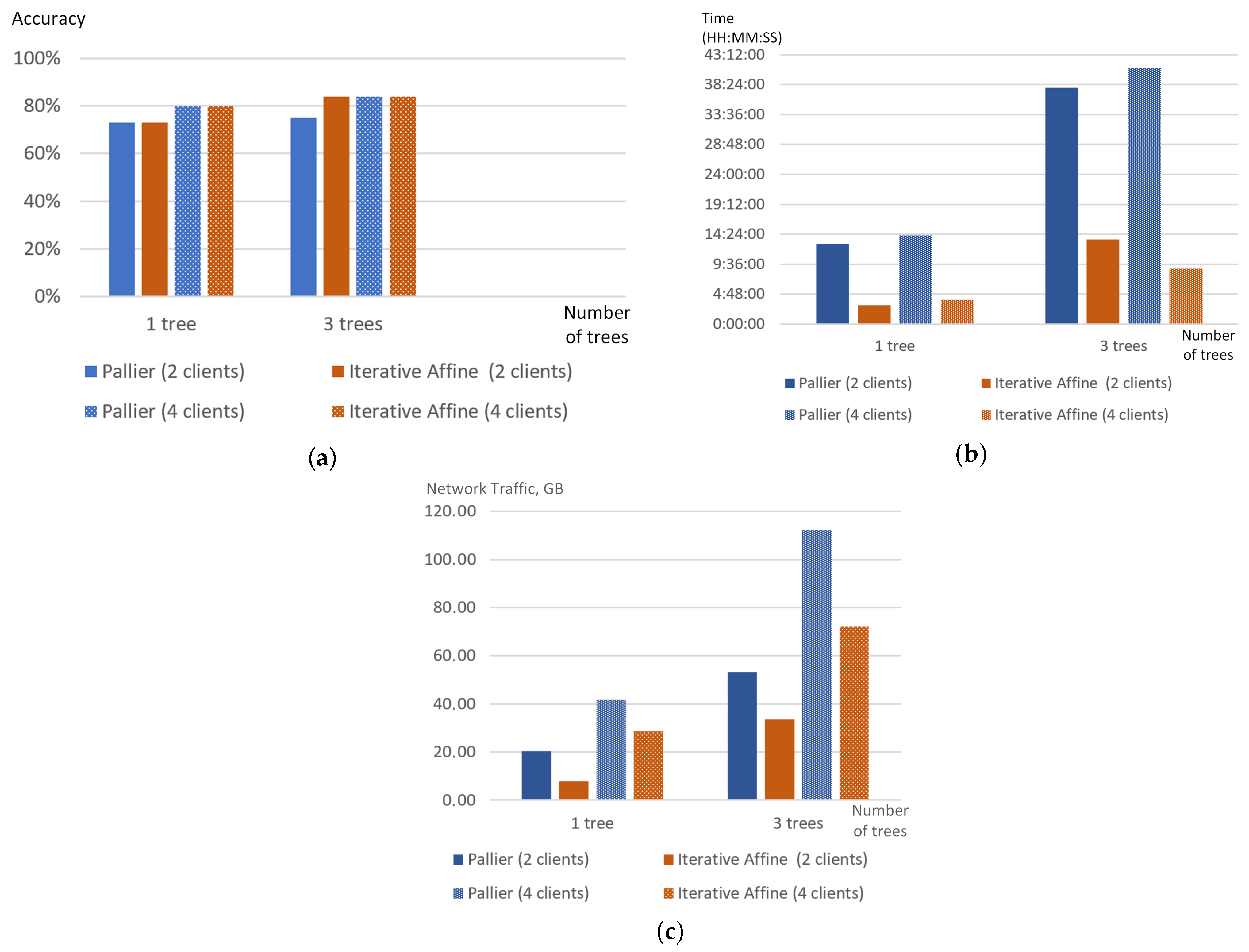
3.2.2. Homomorphic Encryption in FATE
3.3. Detailed Analysis of the Privacy Mechanisms Available in PFL Framework
- DP-SGD algorithm for differentially private NN training;
- secure aggregation, encryption-based algorithm for NN training.
3.3.1. Secure Aggregation Strategy in PFL
3.3.2. DP-SGD Strategy in PFL
3.3.3. MPC in PFL for Vertically Partitioned Data
- (1)
- Definition of intersection of data sets belonging to different data owners (clients). The implementation of this step is necessary when data sets belonging to different clients do not have similar sets of records’ IDs. The clients’ data set alignment is implemented using the private set intersection (PSI) protocol, which is based on the Naor–Pinkas oblivious transfer protocol described in [77]. This protocol requires the usage of public key infrastructure, and current PSI implementation hides the details of key agreement protocol from the PFL end users, i.e., they do not need to perform it in order to set up public and secret keys in an explicit manner.
- (2)
- Secret Sharing step. Afterwards, the clients determined the common part of their datasets, they initiate a secret sharing procedure, when they share their dataset among computational nodes. Usage of the MPC protocol as it is described above requires having two or three computational nodes that perform computations over masked data. In PFL ABY protocol is used, it considers the usage of three computational parties.
- (3)
- Private model training process. The training of the analysis model on shared and masked data is performed by three computational nodes using the ABY protocol.
- (4)
- Result reconstruction. After the result of a secure computation has been obtained, it is necessary to reconstruct the results, as the initial input data were split among three computational nodes. The reconstruction of the results in PFL is done based on previously used arithmetic sharing but in reverse order aggregating the shares. PFL allows setting the entity responsible for reconstructing results, this entity is called Result Party, and this role could be assigned either to the Computing party, data owner (client) or any other trusted third party.
3.4. Discussion
4. Conclusions
Author Contributions
Funding
Informed Consent Statement
Data Availability Statement
Acknowledgments
Conflicts of Interest
Abbreviations
| ASIC | Application-Specific Integrated Circuit |
| CNN | Convolutional Neural Network |
| CPU | Central Processing Unit |
| DNN | Deep Neural Network |
| DP | Differential Privacy |
| DP-SGD | Differentially-Private Stochastic Gradient Descent |
| FedAvg | Federated Averaging Aggregation Function |
| FHE | Fully Homomorphic Encryption |
| FL | Federated Learning |
| FPGA | Field-Programmable Gate Array |
| GDPR | General Data Protection Regulation |
| GPS | Global Positioning System |
| GPU | Graphics Processing Unit |
| HE | Homomorphic Encryption |
| IoT | Internet of Things |
| MPC | Multi-Party Secure Computation |
| NN | Neural Network |
| PDPA | Personal Data Protection Act |
| PSI | Private Set Intersection |
| SecAgg | Secure Aggregation |
| SGD | Stochastic Gradient Descent |
| STPC | Secure Two-Party Computation |
| TEE | Trusted Execution Environment |
References
- General Data Protection Regulation Website (GDPR). 2018. Available online: http://data.europa.eu/eli/reg/2016/679/oj (accessed on 21 February 2022).
- Personal Data Protection Act 2012 (PDPA). 2012. Available online: https://sso.agc.gov.sg/Act/PDPA2012 (accessed on 21 February 2022).
- Mantouka, E.; Barmpounakis, E.; Vlahogianni, E.; Golias, J. Smartphone sensing for understanding driving behavior: Current practice and challenges. Int. J. Transp. Sci. Technol. 2021, 10, 266–282. [Google Scholar] [CrossRef]
- Sherafat, B.; Ahn, C.R.; Akhavian, R.; Behzadan, A.H.; Golparvar-Fard, M.; Kim, H.; Lee, Y.C.; Rashidi, A.; Azar, E.R. Automated Methods for Activity Recognition of Construction Workers and Equipment: State-of-the-Art Review. J. Constr. Eng. Manag. 2020, 146, 03120002. [Google Scholar] [CrossRef]
- Kairouz, P.; McMahan, H.B.; Avent, B.; Bellet, A.; Bennis, M.; Bhagoji, A.N.; Bonawit, K.; Charles, Z.; Cormode, G.; Cummings, R.; et al. Advances and Open Problems in Federated Learning. In Foundations and Trends® in Machine Learning; Now Publishers Inc.: Boston, MA, USA, 2021. [Google Scholar] [CrossRef]
- McMahan, H.B.; Moore, E.; Ramage, D.; Hampson, S.; y Arcas, B.A. Communication-Efficient Learning of Deep Networks from Decentralized Data. In Proceedings of the 20th International Conference on Artificial Intelligence and Statistics (AISTATS 2017), Fort Lauderdale, FL, USA, 20–22 April 2017. [Google Scholar]
- Li, Q.; Wen, Z.; Wu, Z.; Hu, S.; Wang, N.; Li, Y.; Liu, X.; He, B. A Survey on Federated Learning Systems: Vision, Hype and Reality for Data Privacy and Protection. IEEE Trans. Knowl. Data Eng. 2021, 1. [Google Scholar] [CrossRef]
- Yang, Q.; Liu, Y.; Chen, T.; Tong, Y. Federated Machine Learning: Concept and Applications. ACM Trans. Intell. Syst. Technol. 2019, 10, 1–19. [Google Scholar] [CrossRef]
- TensorFlow Federated (TFF). 2021. Available online: https://www.tensorflow.org/federated (accessed on 21 October 2021).
- Federated AI Technology Enabler (FATE). 2021. Available online: https://github.com/FederatedAI/FATE/releases/tag/v1.5.1 (accessed on 21 October 2021).
- Paddle Federated Learning (PFL). 2021. Available online: https://github.com/PaddlePaddle/PaddleFL (accessed on 21 October 2021).
- Federated Learning and Differential Privacy (FL & DP). 2021. Available online: https://github.com/sherpaai/Sherpa.ai-Federated-Learning-Framework (accessed on 21 October 2021).
- FEDn: Modular and Model Agnostic Framework for Hierarchical Federated Machine Learning. 2021. Available online: https://github.com/scaleoutsystems/fedn (accessed on 21 December 2021).
- Aledhari, M.; Razzak, R.; Parizi, R.M.; Saeed, F. Federated Learning: A Survey on Enabling Technologies, Protocols, and Applications. IEEE Access 2020, 8, 140699–140725. [Google Scholar] [CrossRef]
- Mothukuri, V.; Parizi, R.M.; Pouriyeh, S.; Huang, Y.; Dehghantanha, A.; Srivastava, G. A survey on security and privacy of federated learning. Future Gener. Comput. Syst. 2021, 115, 619–640. [Google Scholar] [CrossRef]
- Shokri, R.; Stronati, M.; Song, C.; Shmatikov, V. Membership Inference Attacks against Machine Learning Models. In Proceedings of the 2017 IEEE Symposium on Security and Privacy (SP), San Jose, CA, USA, 22–26 May 2017. [Google Scholar]
- Tolpegin, V.; Truex, S.; Gursoy, M.E.; Liu, L. Data Poisoning Attacks Against Federated Learning Systems. In Computer Security—ESORICS 2020; Chen, L., Li, N., Liang, K., Schneider, S., Eds.; Springer International Publishing: Cham, Switzerland, 2020; pp. 480–501. [Google Scholar]
- Christin, D. Privacy in mobile participatory sensing: Current trends and future challenges. J. Syst. Softw. 2016, 116, 57–68. [Google Scholar] [CrossRef]
- Muñoz-González, L.; Sinn, M.; Navia-Vázquez, A. Threat Analysis for Federated Machine Learning Algorithms/Report Machine Learning to Augment Shared Knowledge in Federated Privacy-Preserving Scenarios (MUSKETEER). 2019. Available online: https://musketeer.eu/wp-content/uploads/2019/10/MUSKETEER_D5.1.pdf (accessed on 4 April 2022).
- Choquette-Choo, C.A.; Tramer, F.; Carlini, N.; Papernot, N. Label-Only Membership Inference Attacks. In Proceedings of the 38th International Conference on Machine Learning, Online, 18–24 July 2021; Meila, M., Zhang, T., Eds.; Volume 139, pp. 1964–1974. [Google Scholar]
- Luo, X.; Wu, Y.; Xiao, X.; Ooi, B.C. Feature Inference Attack on Model Predictions in Vertical Federated Learning. In Proceedings of the 2021 IEEE 37th International Conference on Data Engineering (ICDE), Chania, Greece, 19–22 April 2021; pp. 181–192. [Google Scholar] [CrossRef]
- Lyu, L.; Yu, H.; Yang, Q. Threats to Federated Learning: A Survey. arXiv 2020, arXiv:2003.02133. [Google Scholar]
- Hu, H.; Salcic, Z.; Sun, L.; Dobbie, G.; Zhang, X. Source Inference Attacks in Federated Learning. In Proceedings of the 2021 IEEE International Conference on Data Mining (ICDM), Auckland, New Zealand, 7–10 December 2021. [Google Scholar]
- Xu, R.; Baracaldo, N.; Zhou, Y.; Anwar, A.; Ludwig, H. HybridAlpha: An Efficient Approach for Privacy-Preserving Federated Learning. In Proceedings of the 12th ACM Workshop on Artificial Intelligence and Security (AISec’19), London, UK, 15 November 2019; Association for Computing Machinery: New York, NY, USA, 2019; pp. 13–23. [Google Scholar] [CrossRef] [Green Version]
- Dwork, C. Differential Privacy. In Automata, Languages and Programming; Bugliesi, M., Preneel, B., Sassone, V., Wegener, I., Eds.; Springer: Berlin/Heidelberg, Germany, 2006; pp. 1–12. [Google Scholar]
- Gong, M.; Xie, Y.; Pan, K.; Feng, K.; Qin, A. A Survey on Differentially Private Machine Learning [Review Article]. IEEE Comput. Intell. Mag. 2020, 15, 49–64. [Google Scholar] [CrossRef]
- Ding, B.; Kulkarni, J.; Yekhanin, S. Collecting Telemetry Data Privately. In Proceedings of the 31st International Conference on Neural Information Processing Systems (NIPS’17), Long Beach, CA, USA, 4–9 December 2017; Curran Associates Inc.: Red Hook, NY, USA, 2017; pp. 3574–3583. [Google Scholar]
- Erlingsson, Ú.; Pihur, V.; Korolova, A. RAPPOR: Randomized Aggregatable Privacy-Preserving Ordinal Response. In Proceedings of the 2014 ACM SIGSAC Conference on Computer and Communications Security, Scottsdale, AZ, USA, 3–7 November 2014; Ahn, G., Yung, M., Li, N., Eds.; ACM: New York, NY, USA, 2014; pp. 1054–1067. [Google Scholar] [CrossRef] [Green Version]
- Truex, S.; Liu, L.; Chow, K.H.; Gursoy, M.E.; Wei, W. LDP-Fed: Federated learning with local differential privacy. In Proceedings of the Third ACM International Workshop on Edge Systems, Analytics and Networking, Heraklion, Greece, 27 April 2020. [Google Scholar]
- Shokri, R.; Shmatikov, V. Privacy-preserving deep learning. In Proceedings of the 2015 53rd Annual Allerton Conference on Communication, Control, and Computing (Allerton), Monticello, IL, USA, 29 September–2 October 2015; pp. 909–910. [Google Scholar] [CrossRef]
- Liu, R.; Cao, Y.; Chen, H.; Guo, R.; Yoshikawa, M. FLAME: Differentially Private Federated Learning in the Shuffle Model. In Proceedings of the AAAI, EAAI 2021, Virtual Event, 2–9 February 2021. [Google Scholar]
- Erlingsson, U.; Feldman, V.; Mironov, I.; Raghunathan, A.; Talwar, K.; Thakurta, A. Amplification by Shuffling: From Local to Central Differential Privacy via Anonymity. In Proceedings of the Thirtieth Annual ACM-SIAM Symposium on Discrete Algorithms (SODA’19), San Diego, CA, USA, 6–9 January 2019; Society for Industrial and Applied Mathematics: Philadelphia, PA, USA, 2019; pp. 2468–2479. [Google Scholar]
- Girgis, A.M.; Data, D.; Diggavi, S.N.; Kairouz, P.; Suresh, A.T. Shuffled Model of Federated Learning: Privacy, Communication and Accuracy Trade-offs. arXiv 2020, arXiv:2008.07180. [Google Scholar] [CrossRef]
- Bittau, A.; Erlingsson, U.; Maniatis, P.; Mironov, I.; Raghunathan, A.; Lie, D.; Rudominer, M.; Kode, U.; Tinnes, J.; Seefeld, B. Prochlo: Strong Privacy for Analytics in the Crowd. In Proceedings of the 26th Symposium on Operating Systems Principles (SOSP ’17), Shanghai, China, 28 October 2017; Association for Computing Machinery: New York, NY, USA, 2017; pp. 441–459. [Google Scholar] [CrossRef] [Green Version]
- Balle, B.; Bell, J.; Gascón, A.; Nissim, K. The Privacy Blanket of the Shuffle Model. In Proceedings of the CRYPTO, Santa Barbara, CA, USA, 18–22 August 2019. [Google Scholar]
- Tang, P.; Cheng, X.; Su, S.; Chen, R.; Shao, H. Differentially Private Publication of Vertically Partitioned Data. IEEE Trans. Dependable Secur. Comput. 2021, 18, 780–795. [Google Scholar] [CrossRef]
- Xu, D.; Yuan, S.; Wu, X. Achieving Differential Privacy in Vertically Partitioned Multiparty Learning. arXiv 2019, arXiv:1911.04587. [Google Scholar]
- Mohassel, P.; Zhang, Y. SecureML: A System for Scalable Privacy-Preserving Machine Learning. In Proceedings of the 2017 IEEE Symposium on Security and Privacy (SP), San Jose, CA, USA, 22–26 May 2017; pp. 19–38. [Google Scholar] [CrossRef]
- Mohassel, P.; Rindal, P. ABY3: A Mixed Protocol Framework for Machine Learning; Association for Computing Machinery: New York, NY, USA, 2018; pp. 35–52. [Google Scholar] [CrossRef]
- Rachuri, R.; Suresh, A. Trident: Efficient 4PC Framework for Privacy Preserving Machine Learning. IACR Cryptol. ePrint Arch. 2019, 2019, 1315. [Google Scholar]
- Dalskov, A.; Escudero, D.E.; Keller, M. Fantastic Four: Honest-Majority Four-Party Secure Computation with Malicious Security. IACR Cryptol. ePrint Arch. 2020, 2020, 1330. [Google Scholar]
- Sav, S.; Pyrgelis, A.; Troncoso-Pastoriza, J.R.; Froelicher, D.; Bossuat, J.; Sousa, J.S.; Hubaux, J. POSEIDON: Privacy-Preserving Federated Neural Network Learning. In Proceedings of the 28th Annual Network and Distributed System Security Symposium, NDSS 2021, Virtually, 21–25 February 2021; The Internet Society: Reston, VA, USA, 2021. [Google Scholar]
- Truex, S.; Baracaldo, N.; Anwar, A.; Steinke, T.; Ludwig, H.; Zhang, R. A Hybrid Approach to Privacy-Preserving Federated Learning. In Proceedings of the 12th ACM Workshop on Artificial Intelligence and Security, London, UK, 15 November 2019. [Google Scholar]
- Cheng, K.; Fan, T.; Jin, Y.; Liu, Y.; Chen, T.; Yang, Q. SecureBoost: A Lossless Federated Learning Framework. IEEE Intell. Syst. 2021, 36, 87–98. [Google Scholar] [CrossRef]
- Liu, Y.; Kang, Y.; Zhang, X.; Li, L.; Cheng, Y.; Chen, T.; Hong, M.; Yang, Q. A Communication Efficient Vertical Federated Learning Framework. arXiv 2019, arXiv:1912.11187. [Google Scholar]
- Brakerski, Z.; Gentry, C.; Vaikuntanathan, V. (Leveled) Fully Homomorphic Encryption without Bootstrapping. In Proceedings of the 3rd Innovations in Theoretical Computer Science Conference (ITCS ’12), Cambridge, MA, USA, 8–10 January 2012; Association for Computing Machinery: New York, NY, USA, 2012; pp. 309–325. [Google Scholar] [CrossRef] [Green Version]
- Gentry, C.; Sahai, A.; Waters, B. Homomorphic Encryption from Learning with Errors: Conceptually-Simpler, Asymptotically-Faster, Attribute-Based. In Advances in Cryptology—CRYPTO 2013; Canetti, R., Garay, J.A., Eds.; Springer: Berlin/Heidelberg, Germany, 2013; pp. 75–92. [Google Scholar]
- Phong, L.T.; Aono, Y.; Hayashi, T.; Wang, L.; Moriai, S. Privacy-Preserving Deep Learning via Additively Homomorphic Encryption. IEEE Trans. Inf. For. Secur. 2018, 13, 1333–1345. [Google Scholar] [CrossRef]
- Aloufi, A.; Hu, P. Collaborative Homomorphic Computation on Data Encrypted under Multiple Keys. arXiv 2019, arXiv:1911.04101. [Google Scholar]
- Juvekar, C.; Vaikuntanathan, V.; Chandrakasan, A. GAZELLE: A Low Latency Framework for Secure Neural Network Inference. In Proceedings of the 27th USENIX Conference on Security Symposium (SEC’18), Baltimore, MD, USA, 15–17 August 2018; USENIX Association: Berkeley, CA, USA, 2018; pp. 1651–1668. [Google Scholar]
- Microsoft SEAL (Release 3.6). 2021. Available online: https://github.com/Microsoft/SEAL (accessed on 21 September 2021).
- Zhang, C.; Li, S.; Xia, J.; Wang, W.; Yan, F.; Liu, Y. BatchCrypt: Efficient Homomorphic Encryption for Cross-Silo Federated Learning. In Proceedings of the 2020 USENIX Conference on Usenix Annual Technical Conference, Online, 15–17 July 2020; USENIX Association: Berkeley, CA, USA, 2020. [Google Scholar]
- Keller, M. MP-SPDZ: A Versatile Framework for Multi-Party Computation. In Proceedings of the 2020 ACM SIGSAC Conference on Computer and Communications Security (CCS ’20), Virtual Event, 9–13 November 2020; Association for Computing Machinery: New York, NY, USA, 2020; pp. 1575–1590. [Google Scholar] [CrossRef]
- Fereidooni, H.; Marchal, S.; Miettinen, M.; Mirhoseini, A.; Möllering, H.; Nguyen, T.D.; Rieger, P.; Sadeghi, A.R.; Schneider, T.; Yalame, H.; et al. SAFELearn: Secure Aggregation for private Federated Learning (Full Version). IACR Cryptol. ePrint Arch. 2021, 2020, 386. [Google Scholar]
- Boemer, F.; Cammarota, R.; Demmler, D.; Schneider, T.; Yalame, H. MP2ML: A Mixed-Protocol Machine Learning Framework for Private Inference. In Proceedings of the 2020 Workshop on Privacy-Preserving Machine Learning in Practice (PPMLP’20), Virtual Event, 9 November 2020; Association for Computing Machinery: New York, NY, USA, 2020; pp. 43–45. [Google Scholar] [CrossRef]
- Braun, L.; Demmler, D.; Schneider, T.; Tkachenko, O. MOTION—A Framework for Mixed-Protocol Multi-Party Computation. IACR Cryptol. ePrint Arch. 2020, 2020, 1137. [Google Scholar] [CrossRef]
- Bonawitz, K.; Ivanov, V.; Kreuter, B.; Marcedone, A.; McMahan, H.B.; Patel, S.; Ramage, D.; Segal, A.; Seth, K. Practical Secure Aggregation for Privacy-Preserving Machine Learning. In Proceedings of the 2017 ACM SIGSAC Conference on Computer and Communications Security (CCS’17), Dallas, TX, USA, 30 October–3 November 2017; Association for Computing Machinery: New York, NY, USA, 2017; pp. 1175–1191. [Google Scholar] [CrossRef] [Green Version]
- So, J.; Ali, R.E.; Guler, B.; Jiao, J.; Avestimehr, S. Securing Secure Aggregation: Mitigating Multi-Round Privacy Leakage in Federated Learning. arXiv 2021, arXiv:2106.03328. [Google Scholar]
- Bell, J.H.; Bonawitz, K.A.; Gascón, A.; Lepoint, T.; Raykova, M. Secure Single-Server Aggregation with (Poly)Logarithmic Overhead. In Proceedings of the 2020 ACM SIGSAC Conference on Computer and Communications Security (CCS’20), Virtual Event, 9–13 November 2020; Association for Computing Machinery: New York, NY, USA, 2020; pp. 1253–1269. [Google Scholar] [CrossRef]
- Choi, B.; yong Sohn, J.; Han, D.J.; Moon, J. Communication-Computation Efficient Secure Aggregation for Federated Learning. arXiv 2020, arXiv:2012.05433. [Google Scholar]
- So, J.; Guler, B.; Avestimehr, A.S. Turbo-Aggregate: Breaking the Quadratic Aggregation Barrier in Secure Federated Learning. IEEE J. Sel. Areas Inf. Theory 2021, 2, 479–489. [Google Scholar] [CrossRef]
- Kadhe, S.; Rajaraman, N.; Koyluoglu, O.O.; Ramchandran, K. FastSecAgg: Scalable Secure Aggregation for Privacy-Preserving Federated Learning. arXiv 2020, arXiv:2009.11248. [Google Scholar]
- Sabt, M.; Achemlal, M.; Bouabdallah, A. Trusted Execution Environment: What It is, and What It is Not. In Proceedings of the 2015 IEEE Trustcom/BigDataSE/ISPA, Helsinki, Finland, 20–22 August 20152015; Volume 1, pp. 57–64. [Google Scholar] [CrossRef] [Green Version]
- Subramanyan, P.; Sinha, R.; Lebedev, I.; Devadas, S.; Seshia, S.A. A Formal Foundation for Secure Remote Execution of Enclaves. In Proceedings of the 2017 ACM SIGSAC Conference on Computer and Communications Security (CCS ’17), Dallas, TX, USA, 30 October–3 November 2017; Association for Computing Machinery: New York, NY, USA, 2017; pp. 2435–2450. [Google Scholar] [CrossRef]
- Bouacida, N.; Mohapatra, P. Vulnerabilities in Federated Learning. IEEE Access 2021, 9, 63229–63249. [Google Scholar] [CrossRef]
- Mo, F.; Haddadi, H.; Katevas, K.; Marin, E.; Perino, D.; Kourtellis, N. PPFL: Privacy-Preserving Federated Learning with Trusted Execution Environments. In Proceedings of the 19th Annual International Conference on Mobile Systems, Applications, and Services (MobiSys ’21), Virtual Event, 24 June–2 July 2021; Association for Computing Machinery: New York, NY, USA, 2021; pp. 94–108. [Google Scholar] [CrossRef]
- Koutroumpouchos, N.; Ntantogian, C.; Xenakis, C. Building Trust for Smart Connected Devices: The Challenges and Pitfalls of TrustZone. Sensors 2021, 21, 520. [Google Scholar] [CrossRef]
- Busch, M.; Westphal, J.; Mueller, T. Unearthing the TrustedCore: A Critical Review on Huawei’s Trusted Execution Environment. In Proceedings of the 14th USENIX Workshop on Offensive Technologies (WOOT 20), Virtual Event, 11 August 2020; USENIX Association: Berkeley, CA, USA, 2020. [Google Scholar]
- Abadi, M.; Chu, A.; Goodfellow, I.; McMahan, H.B.; Mironov, I.; Talwar, K.; Zhang, L. Deep Learning with Differential Privacy. In Proceedings of the 2016 ACM SIGSAC Conference on Computer and Communications Security (CCS’16), Vienna, Austria, 24–28 October 2016; Association for Computing Machinery: New York, NY, USA, 2016; pp. 308–318. [Google Scholar] [CrossRef] [Green Version]
- Wagh, S.; Gupta, D.; Chandran, N. SecureNN: 3-Party Secure Computation for Neural Network Training. Proc. Priv. Enhancing Technol. 2019, 2019, 26–49. [Google Scholar] [CrossRef] [Green Version]
- Commercial Vehicles Sensor Data Set. 2021. Available online: https://www.kaggle.com/smartilizer/commercial-vehicles-sensor-data-set (accessed on 21 December 2021).
- Wass, D.; Axelsson, H. Machine Learning for Activity Recognition of Dumpers. 2019. Available online: http://www.diva-portal.org/smash/get/diva2:1354995/FULLTEXT01.pdf (accessed on 6 April 2022).
- Kholod, I.; Yanaki, E.; Fomichev, D.; Shalugin, E.; Novikova, E.; Filippov, E.; Nordlund, M. Open-Source Federated Learning Frameworks for IoT: A Comparative Review and Analysis. Sensors 2021, 21, 167. [Google Scholar] [CrossRef]
- Paillier, P. Public-Key Cryptosystems Based on Composite Degree Residuosity Classes. In Advances in Cryptology—EUROCRYPT ’99; Stern, J., Ed.; Springer: Berlin/Heidelberg, Germany, 1999; pp. 223–238. [Google Scholar]
- Zhang, Q.; Wang, C.; Wu, H.; Xin, C.; Phuong, T.V. GELU-Net: A Globally Encrypted, Locally Unencrypted Deep Neural Network for Privacy-Preserved Learning. In Proceedings of the 27th International Joint Conference on Artificial Intelligence (IJCAI’18), Stockholm, Sweden, 13–19 July 2018; AAAI Press: Palo Alto, CA, USA, 2018; pp. 3933–3939. [Google Scholar]
- Zhang, Y.; Zhu, H. Additively Homomorphical Encryption based Deep Neural Network for Asymmetrically Collaborative Machine Learning. arXiv 2020, arXiv:2007.06849. [Google Scholar]
- Naor, M.; Pinkas, B. Efficient Oblivious Transfer Protocols. In Proceedings of the Twelfth Annual ACM-SIAM Symposium on Discrete Algorithms (SODA’01), Washington, DC, USA, 7–9 January 2001; Society for Industrial and Applied Mathematics: Philadelphia, PA, USA, 2001; pp. 448–457. [Google Scholar]











| Privacy Mechanism | Privacy of Inputs | Privacy of Computations | Security Model | Dropouts | Support of Vertically Partitioned Data * | Accuracy | Specific Features and Requirements |
|---|---|---|---|---|---|---|---|
| Local DP | + | − | Honest-but-curious aggregating server | + | + ** | Decreases due to noise in comparison to FL models without any privacy-preserving techniques | Requires additional collaboration when setting privacy budget parameters |
| DP with shuffling | + | − | Honest-but-curious aggregating server | + | − | Decreases due to noise | Requires additional entity (shuffler), introduces additional costs due to extra communication rounds and cryptographic primitives for secure shuffling and inputs encoding |
| MPC | + | + | Honest majority Honest-but-curious computing party itemize | + | − Not applicable (all computations are performed by separate computational parties) | Comparable to the accuracy of FL models without MPC, decrease due to conversion from floating-point operations to modular computations | Requires additional computational entities that perform all trusted computations; high computational and resource requirements to computational entities. |
| Secure aggregation | + | − | Honest-but-curious aggregating server | + | − | Similar to the accuracy of FL models without MPC (input data are treated as binary vectors) | Time depends linear on the number of clients and on cryptographic primitives for public key infrastructure |
| HE | + | + | Malicious server Requires a trusted server for the generation of the encryption keys | − Not applicable (all computations are performed by separate computational parties) | + | Comparable to the accuracy of FL models without MPC, slight decrease due to conversion from floating-point operations to modular computations | Extremely high requirements for computational, memory and disc resources of collaborating entities. |
| TEE | + | + | Trusted server | + | − *** | Similar to the accuracy of FL models without any privacy-preserving techniques | Adds light overhead in CPU, memory, energy due to specific computational requirements; limits the choice of analytical models due to limited computational resources in TEE |
| Framework and Company | TFF 0.17.0 [9], Google Inc | FATE 1.5.0 [10], Webank’s AI Department | PFL 1.1.0 [11], Baidu | FL & DP 0.1.0 [12], Sherpa.AI | FEDn 0.2.0 [13], Scaleout Systems |
|---|---|---|---|---|---|
| DP | ✔ | ✔ | ✔ | ||
| HE | ✔ | ||||
| MPC | ✔ | ✔ | |||
| Secure aggregation | ✔ | ✔ | ✔ | ||
| TEE | ✔ |
| Data Partition Type | Type of Privacy Mechanism | Analysis Model | Implementation of Privacy Mechanism |
|---|---|---|---|
| Horizontal | Data encryption | NN (DNN, RNN, CNN) Gradient Boosting Trees | Secure Aggregation [57] |
| Logistic Regression | Paillier [74] | ||
| Vertical | Data encryption | NN (DNN, RNN, CNN) | SecureNN, or Iterative Affine, or Affine Additive HE [75,76] based on Paillier scheme |
| Gradient Boosting Trees | SecureBoost [44] based on Paillier HE scheme | ||
| Linear regression Logistic regression Poisson regression | Paillier [74] |
| Data Set Size | Batch Size | Accuracy | Training Time | Traffic, GB |
|---|---|---|---|---|
| 10,000 | Entire data set | 98.04% | 1:02:03 | 1.71 |
| 10,000 | 1000 | 97.15% | 1:20:15 | 1.72 |
| 10,000 | 100 | 99.58% | 9:30:59 | 1.78 |
| Number of Clients | Data Set Size per Clients (Number of Records) | MSE | Traffic (GB), Arbiter | Training Time |
|---|---|---|---|---|
| 2 | 425,000 | 0.0002 | 11.30 | 7:57:312 |
| 4 | 425,000 | 1.44 | 65.00 | 13:54:18 |
| Data Partition Type | Analysis Model | Type of Privacy Mechanism | Implementation of Privacy Mechanism |
|---|---|---|---|
| Horizontal | NN Linear regression Logistic regression | Differential privacy | DP-SGD [69] |
| Data encryption | Secure Aggregation [57] | ||
| Verical | NN Linear regression Logistic regression | Data encryption | PSI [77] + ABY [39] |
| Data Set Size | Batch Size | Training Time | Accuracy | Network Traffic (GB) |
|---|---|---|---|---|
| 10,000 | 10,000 | 0:13:58 | 51.00% | 35.80 |
| 1000 | 0:16:35 | 53.75% | 36.40 | |
| 32 | 2:11:39 | 99.00% | 58.40 | |
| 1,700,000 | 1000 | 27:19:22 | 49.67% | Not measured |
| Data Partition | Clients’ Settings | Communication Topology | Framework and Privacy Mechanisms | Impact on Overall Learning Process | ||
|---|---|---|---|---|---|---|
| Accuracy | Training Time | Network Traffic | ||||
| Horizontal | Cross-silo | Centralized | FATE and Secure Aggregation | Similar to FedAvg strategy in terms of accuracy. | Similar to the FedAvg strategy. | Similar to the FedAvg strategy. |
| FATE and Homomorphic encryption (Paillier encryption scheme) | Similar to FedAvg strategy. | Extremely time-consuming training strategy. | Extremely high volume of traffic. | |||
| PFL and Secure Aggregation | Comparable to FedAvg strategy. | Comparable to FedAvg strategy. | High network traffic. There is an observable dependency between training time and network performance. | |||
| PFL and Differencial privacy (DP-SGD) | The accuracy is lower the accuracy in FedAvg strategy, but it increases with growth of clients’ number. | High when compared with similar settings without privacy mechanisms. | The network traffic is extremely high and is measured in GB. | |||
| De-centralized | Not supported | Not supported | Not supported | Not supported | ||
| Cross-device | Centralized | Not supported | Not supported | Not supported | Not supported | |
| De-centralized | Not supported | Not supported | Not supported | Not supported | ||
| Vertical | Cross-silo | Centralized | FATE and Homomorphic encryption (SecureNN, SGBDT) | The accuracy is comparable with the training model in centralized mode. | It is a very time-consuming strategy. | It is characterized by a high volume of traffic measured in GB. |
| PFL and MPC (ABY) | The accuracy is comparable with training model in centralized mode, however it is significantly lower for neural networks when training on large batches. | It is a very time-consuming strategy. | It is characterized by a high volume of traffic measured in GB. | |||
| De-centralized | Not supported | Not supported | Not supported | Not supported | ||
| Cross-device | Centralized | Not supported | Not supported | Not supported | Not supported | |
| De-centralized | Not supported | Not supported | Not supported | Not supported | ||
Publisher’s Note: MDPI stays neutral with regard to jurisdictional claims in published maps and institutional affiliations. |
© 2022 by the authors. Licensee MDPI, Basel, Switzerland. This article is an open access article distributed under the terms and conditions of the Creative Commons Attribution (CC BY) license (https://creativecommons.org/licenses/by/4.0/).
Share and Cite
Novikova, E.; Fomichov, D.; Kholod, I.; Filippov, E. Analysis of Privacy-Enhancing Technologies in Open-Source Federated Learning Frameworks for Driver Activity Recognition. Sensors 2022, 22, 2983. https://doi.org/10.3390/s22082983
Novikova E, Fomichov D, Kholod I, Filippov E. Analysis of Privacy-Enhancing Technologies in Open-Source Federated Learning Frameworks for Driver Activity Recognition. Sensors. 2022; 22(8):2983. https://doi.org/10.3390/s22082983
Chicago/Turabian StyleNovikova, Evgenia, Dmitry Fomichov, Ivan Kholod, and Evgeny Filippov. 2022. "Analysis of Privacy-Enhancing Technologies in Open-Source Federated Learning Frameworks for Driver Activity Recognition" Sensors 22, no. 8: 2983. https://doi.org/10.3390/s22082983
APA StyleNovikova, E., Fomichov, D., Kholod, I., & Filippov, E. (2022). Analysis of Privacy-Enhancing Technologies in Open-Source Federated Learning Frameworks for Driver Activity Recognition. Sensors, 22(8), 2983. https://doi.org/10.3390/s22082983

