Impact of DC Transient Disturbances on Harmonic Performance of Voltage Transformers for AC Railway Applications
Abstract
:1. Introduction
2. Generation and Measurement Setup
3. Measurement Procedure
3.1. FH1 Test: VT Preliminary Characterization
- is the rated transformation ratio ( and are the rated primary and secondary voltages);
- and are the root mean square (rms) values of the primary and secondary h-order harmonic voltages;
- and are the phase angles of the primary and secondary h-order harmonic voltages.
3.2. DC Disturbance Test
- A is the amplitude;
- t is the time variable;
- is the time constant.
- is the time instant in which the DC disturbance is applied;
- is the Heaviside step function;
- is the fundamental amplitude;
- is the fundamental frequency;
- is the harmonic amplitude.
4. Experimental Results
4.1. Reference Tests: FH1
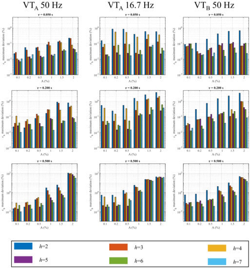
4.2. Impact of DC Disturbance on Harmonic Measurements
5. Conclusions
Author Contributions
Funding
Institutional Review Board Statement
Informed Consent Statement
Data Availability Statement
Acknowledgments
Conflicts of Interest
References
- EN 50163; Railway Applications—Supply Voltages of Traction Systems. Standard, CEI: Geneva, Switzerland, 2006.
- Femine, A.D.; Gallo, D.; Landi, C.; Luiso, M. Discussion on DC and AC Power Quality Assessment in Railway Traction Supply Systems. In Proceedings of the 2019 IEEE International Instrumentation and Measurement Technology Conference (I2MTC), Auckland, New Zealand, 20–23 May 2019; pp. 1–6. [Google Scholar] [CrossRef] [Green Version]
- Yu-quan, L.; Guo-pei, W.; Huang-sheng, H.; Li, W. Research for the effects of high-speed electrified railway traction load on power quality. In Proceedings of the 2011 4th International Conference on Electric Utility Deregulation and Restructuring and Power Technologies (DRPT), Weihai, China, 6–9 July 2011; pp. 569–573. [Google Scholar] [CrossRef]
- Hu, H.; He, Z.; Li, X.; Wang, K.; Gao, S. Power-Quality Impact Assessment for High-Speed Railway Associated With High-Speed Trains Using Train Timetable—Part I: Methodology and Modeling. IEEE Trans. Power Deliv. 2016, 31, 693–703. [Google Scholar] [CrossRef]
- Giordano, D.; Clarkson, P.; Gamacho, F.; van den Brom, H.; Donadio, L.; Fernandez-Cardador, A.; Spalvieri, C.; Gallo, D.; Istrate, D.; De Santiago Laporte, A.; et al. Accurate Measurements of Energy, Efficiency and Power Quality in the Electric Railway System. In Proceedings of the 2018 Conference on Precision Electromagnetic Measurements (CPEM 2018), Paris, France, 8–13 July 2018; pp. 1–2. [Google Scholar] [CrossRef]
- Kaleybar, H.J.; Brenna, M.; Foiadelli, F.; Fazel, S.S.; Zaninelli, D. Power Quality Phenomena in Electric Railway Power Supply Systems: An Exhaustive Framework and Classification. Energies 2020, 13, 6662. [Google Scholar] [CrossRef]
- Mariscotti, A. Direct Measurement of Power Quality Over Railway Networks with Results of a 16.7-Hz Network. IEEE Trans. Instrum. Meas. 2011, 60, 1604–1612. [Google Scholar] [CrossRef]
- Femine, A.D.; Gallo, D.; Giordano, D.; Landi, C.; Luiso, M.; Signorino, D. Power Quality Assessment in Railway Traction Supply Systems. IEEE Trans. Instrum. Meas. 2020, 69, 2355–2366. [Google Scholar] [CrossRef]
- He, Z.; Zheng, Z.; Hu, H. Power quality in high-speed railway systems. Int. J. Rail Transp. 2016, 4, 71–97. [Google Scholar] [CrossRef] [Green Version]
- Mousavi Gazafrudi, S.M.; Tabakhpour Langerudy, A.; Fuchs, E.F.; Al-Haddad, K. Power Quality Issues in Railway Electrification: A Comprehensive Perspective. IEEE Trans. Ind. Electron. 2015, 62, 3081–3090. [Google Scholar] [CrossRef]
- EN 50160; Voltage Characteristics of Electricity Supplied by Public Distribution Networks. European Committee For Electrotechnical Standardization: Brussels, Belgium, 2011.
- IEC 61000-4-30; Electromagnetic Compatibility (EMC)—Part 3–40: Testing and Measurement Techniques—Power Quality MEASUREMENT Methods. International Electrotechnical Commission: Geneva, Switzerland, 2015.
- IEEE 1159-2019; IEEE Recommended Practice for Monitoring Electric Power Quality. IEEE: New York, NY, USA, 2019.
- Crotti, G.; Giordano, D.; D’Avanzo, G.; Femine, A.D.; Gallo, D.; Landi, C.; Luiso, M.; Letizia, P.; Barbieri, L.; Mazza, P.; et al. Measurement of Dynamic Voltage Variation Effect on Instrument Transformers for Power Grid Applications. In Proceedings of the 2020 IEEE International Instrumentation and Measurement Technology Conference (I2MTC), Dubrovnik, Croatia, 25–28 May 2020; pp. 1–6. [Google Scholar] [CrossRef]
- Crotti, G.; D’Avanzo, G.; Letizia, P.S.; Luiso, M. Measuring Harmonics with Inductive Voltage Transformers in Presence of Subharmonics. IEEE Trans. Instrum. Meas. 2021, 70, 9005013. [Google Scholar] [CrossRef]
- Toscani, S.; Faifer, M.; Ferrero, A.; Laurano, C.; Ottoboni, R.; Zanoni, M. Compensating Nonlinearities in Voltage Transformers for Enhanced Harmonic Measurements: The Simplified Volterra Approach. IEEE Trans. Power Deliv. 2021, 36, 362–370. [Google Scholar] [CrossRef]
- Stano, E.; Kaczmarek, M. Wideband Self-Calibration Method of Inductive CTs and Verification of Determined Values of Current and Phase Errors at Harmonics for Transformation of Distorted Current. Sensors 2020, 20, 2167. [Google Scholar] [CrossRef] [Green Version]
- Stiegler, R.; Meyer, J.; Schegner, P. Portable measurement system for the frequency response of voltage transformers. In Proceedings of the 2012 IEEE 15th International Conference on Harmonics and Quality of Power, Hong Kong, China, 17–20 June 2012; pp. 745–750. [Google Scholar] [CrossRef]
- Bi, T.; Liu, H.; Zhou, X.; Yang, Q. Impact of transient response of instrument transformers on phasor measurements. In Proceedings of the IEEE PES General Meeting, Minneapolis, MN, USA, 25–29 July 2010; pp. 1–6. [Google Scholar] [CrossRef]
- IEC 61869-103; Instrument Transformers—Part 103: The Use of Instrument Transformers for Power Quality Measurement. International Electrotechnical Commission: Geneva, Switzerland, 2012.
- Crotti, G.; van den Brom, H.; Mohns, E.; Tinarelli, R.; Luiso, M.; Styblikova, R.; Agazar, M.; Cayci, H.; Mazza, P.; Meyer, J.; et al. Measurement Methods and Procedures for Assessing Accuracy of Instrument Transformers for Power Quality Measurements. In Proceedings of the 2020 Conference on Precision Electromagnetic Measurements (CPEM), Denver, CO, USA, 24–28 August 2020; pp. 1–2. [Google Scholar] [CrossRef]
- Hu, H.; Shao, Y.; Tang, L.; Ma, J.; He, Z.; Gao, S. Overview of Harmonic and Resonance in Railway Electrification Systems. IEEE Trans. Ind. Appl. 2018, 54, 5227–5245. [Google Scholar] [CrossRef]
- Seferi, Y.; Blair, S.M.; Mester, C.; Stewart, B.G. Power Quality Measurement and Active Harmonic Power in 25 kV 50 Hz AC Railway Systems. Energies 2020, 13, 5698. [Google Scholar] [CrossRef]
- Brenna, M.; Capasso, A.; Falvo, M.; Foiadelli, F.; Lamedica, R.; Zaninelli, D. Investigation of resonance phenomena in high speed railway supply systems: Theoretical and experimental analysis. Electr. Power Syst. Res. 2011, 81, 1915–1923. [Google Scholar] [CrossRef]
- Gao, S.; Li, X.; Ma, X.; Hu, H.; He, Z.; Yang, J. Measurement-Based Compartmental Modeling of Harmonic Sources in Traction Power-Supply System. IEEE Trans. Power Deliv. 2017, 32, 900–909. [Google Scholar] [CrossRef]
- Cheng, Y.; Liu, Z.; Huang, K. Transient Analysis of Electric Arc Burning at Insulated Rail Joints in High-Speed Railway Stations Based on State-Space Modeling. IEEE Trans. Transp. Electrif. 2017, 3, 750–761. [Google Scholar] [CrossRef]
- Koller, J. High-tension electrical-arc-induced thermal burns caused by railway overhead cables. Burns 1991, 17, 411–414. [Google Scholar] [CrossRef]
- Mariscotti, A.; Giordano, D.; Femine, A.D.; Gallo, D.; Signorino, D. How Pantograph Electric Arcs affect Energy Efficiency in DC Railway Vehicles. In Proceedings of the 2020 IEEE Vehicle Power and Propulsion Conference (VPPC), Gijon, Spain, 26–29 October 2020; pp. 1–5. [Google Scholar] [CrossRef]
- Signorino, D.; Giordano, D.; Mariscotti, A.; Gallo, D.; Femine, A.D.; Balic, F.; Quintana, J.; Donadio, L.; Biancucci, A. Dataset of measured and commented pantograph electric arcs in DC railways. Data Brief 2020, 31, 105978. [Google Scholar] [CrossRef]
- Midya, S.; Bormann, D.; Schutte, T.; Thottappillil, R. Pantograph Arcing in Electrified Railways—Mechanism and Influence of Various Parameters—Part II: With AC Traction Power Supply. IEEE Trans. Power Deliv. 2009, 24, 1940–1950. [Google Scholar] [CrossRef]
- Midya, S.; Bormann, D.; Schutte, T.; Thottappillil, R. Pantograph Arcing in Electrified Railways—Mechanism and Influence of Various Parameters—Part I: With DC Traction Power Supply. IEEE Trans. Power Deliv. 2009, 24, 1931–1939. [Google Scholar] [CrossRef]
- Crotti, G.; Giordano, D.; Roccato, P.; Delle Femine, A.; Gallo, D.; Landi, C.; Luiso, M.; Mariscotti, A. Pantograph-to-OHL Arc: Conducted Effects in DC Railway Supply System. In Proceedings of the 2018 IEEE 9th International Workshop on Applied Measurements for Power Systems (AMPS), Bologna, Italy, 26–28 September 2018; pp. 1–6. [Google Scholar]
- Mariscotti, A.; Giordano, D. Experimental Characterization of Pantograph Arcs and Transient Conducted Phenomena in DC Railways. Acta Imeko 2020, 9, 10–17. [Google Scholar] [CrossRef]
- Huh, J.S.; Kang, B.W.; Shin, H.S.; Kim, J.C. A Study on the Reduction of Onboard Transformer Inrush Current of Electric Railway. Trans. Korean Inst. Electr. Eng. 2010, 59, 2125–2130. [Google Scholar]
- IEC 60076-1; Power transformers—Part 1: General. Standard, TC14. IEC: Geneva, Switzerland, 2011.
- Crotti, G.; Gallo, D.; Giordano, D.; Landi, C.; Luiso, M.; Modarres, M.; Zucca, M. Frequency Compliance of MV Voltage Sensors for Smart Grid Application. IEEE Sens. J. 2017, 17, 7621–7629. [Google Scholar] [CrossRef]
- IEC 61000-4-7; Testing and Measurement Techniques—General Guide on Harmonics and Interharmonics Measurements and Instrumentation, for Power Supply Systems and Equipment Connected Thereto. Standard, IEC: Geneva, Switzerland, 2002.
- IEC 61869-3:2011; Instrument Transformers—Part 3: Additional Requirements for Inductive Voltage Transformers. International Standardization Organization: Geneva, Switzerland, 2011.
- IEC 60044-7:1999; Instrument Transformers—Part 7: Electronic Voltage Transformers. International Standardization Organization: Geneva, Switzerland, 1999.
- IEC 61869-6:2016; Instrument Transformers—Part 6: Additional General Requirements for Low-Power Instrument Transformers. International Standardization Organization: Geneva, Switzerland, 2016.






| Instrument Type | Name | Main Characteristics |
|---|---|---|
| AWG | NI 5421 | 16-bit, ±12 V, 100 MHz maximum sampling rate |
| Power amplifier | TREK 30/20A | ±30 kV, ±20 mA, DC to 20 kHz bandwidth |
| Reference sensor | Resistive capacitive voltage divider | ±30 kV, DC to 9 kHz bandwidth |
| Data acquisition | cDAQ NI 9225 and NI 9239 | 24-bit, 50 kHz sampling rate, ±425 V and ±10 V |
| A | |||
|---|---|---|---|
| (% of Rated) | (% of Fundamental) | (s) | (deg) |
| 80 to 100 | 0.1 to 2 | 0.02 to 0.5 | 0 to 90 |
| Name | Frequency | Primary Voltage | Secondary Voltage | Rated Burden | Application | Accuracy Class and Standard |
|---|---|---|---|---|---|---|
| VT | 50 Hz | 25 kV | 100 V | 25 VA | Rolling stock | 0.5 |
| 16.7 Hz | 15 kV | 60 V | (outdoor) | IEC 60044-7 | ||
| VT | 50 Hz | kV | V | 30 VA | MV metering (indoor) | 0.5 IEC 61869-3 |
| Quantity | Impact | Relevance |
|---|---|---|
| h | High | Most affected harmonics: h = 2, h = 3, h = 4 |
| A | Medium |
|
| High | A = 2%
| |
| Very low | max dev ≤ 0.2% | |
| A | High | h = 2, A = 1%, = 0.5 s
|
Publisher’s Note: MDPI stays neutral with regard to jurisdictional claims in published maps and institutional affiliations. |
© 2022 by the authors. Licensee MDPI, Basel, Switzerland. This article is an open access article distributed under the terms and conditions of the Creative Commons Attribution (CC BY) license (https://creativecommons.org/licenses/by/4.0/).
Share and Cite
Letizia, P.S.; Signorino, D.; Crotti, G. Impact of DC Transient Disturbances on Harmonic Performance of Voltage Transformers for AC Railway Applications. Sensors 2022, 22, 2270. https://doi.org/10.3390/s22062270
Letizia PS, Signorino D, Crotti G. Impact of DC Transient Disturbances on Harmonic Performance of Voltage Transformers for AC Railway Applications. Sensors. 2022; 22(6):2270. https://doi.org/10.3390/s22062270
Chicago/Turabian StyleLetizia, Palma Sara, Davide Signorino, and Gabriella Crotti. 2022. "Impact of DC Transient Disturbances on Harmonic Performance of Voltage Transformers for AC Railway Applications" Sensors 22, no. 6: 2270. https://doi.org/10.3390/s22062270
APA StyleLetizia, P. S., Signorino, D., & Crotti, G. (2022). Impact of DC Transient Disturbances on Harmonic Performance of Voltage Transformers for AC Railway Applications. Sensors, 22(6), 2270. https://doi.org/10.3390/s22062270

