3D Poisson-Based Neighborhood Capacity Analysis for Millimeter Wave Communications
Abstract
1. Introduction
2. Scenario
3. Analysis
4. Results and Discussion
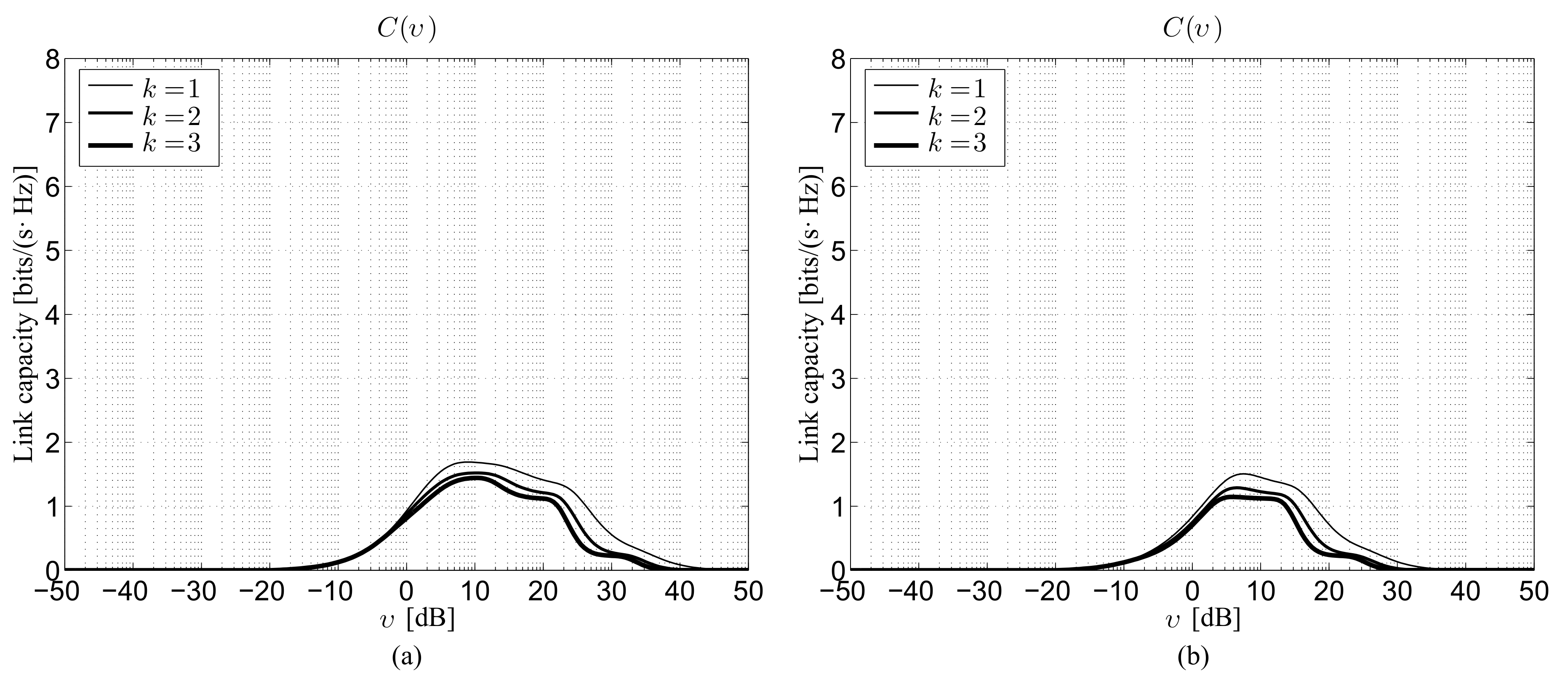
4.1. Model Validation
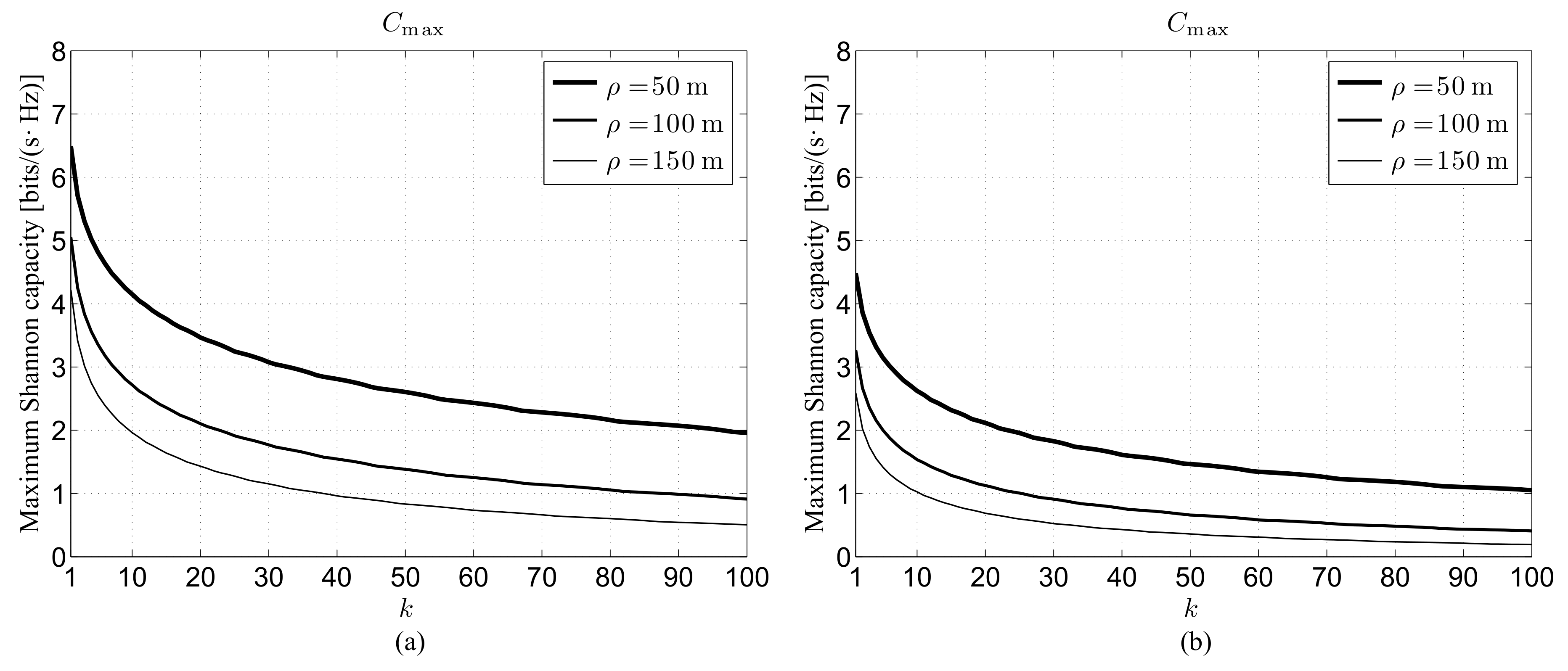
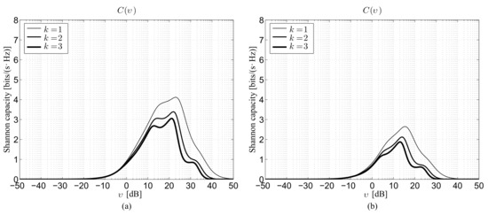
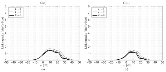
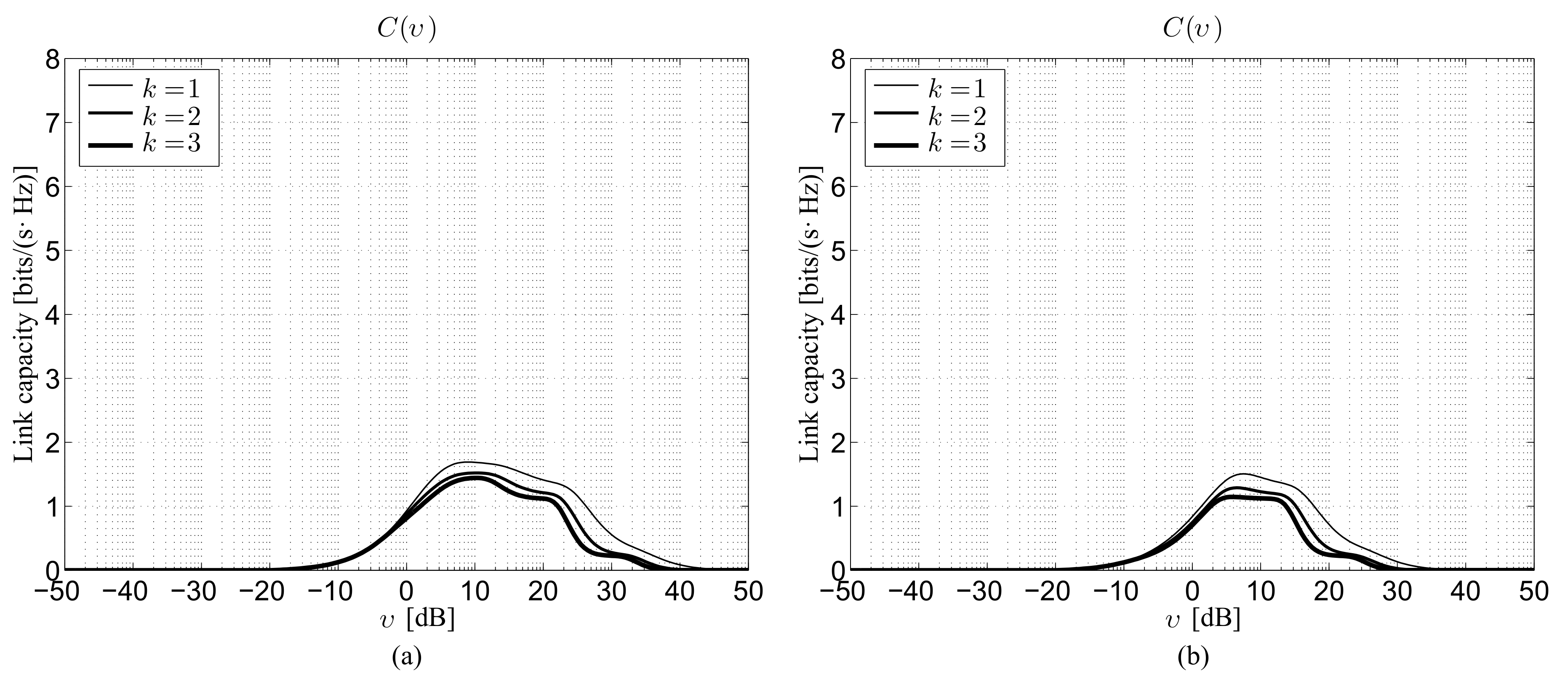
4.2. Impact of Cell Radius
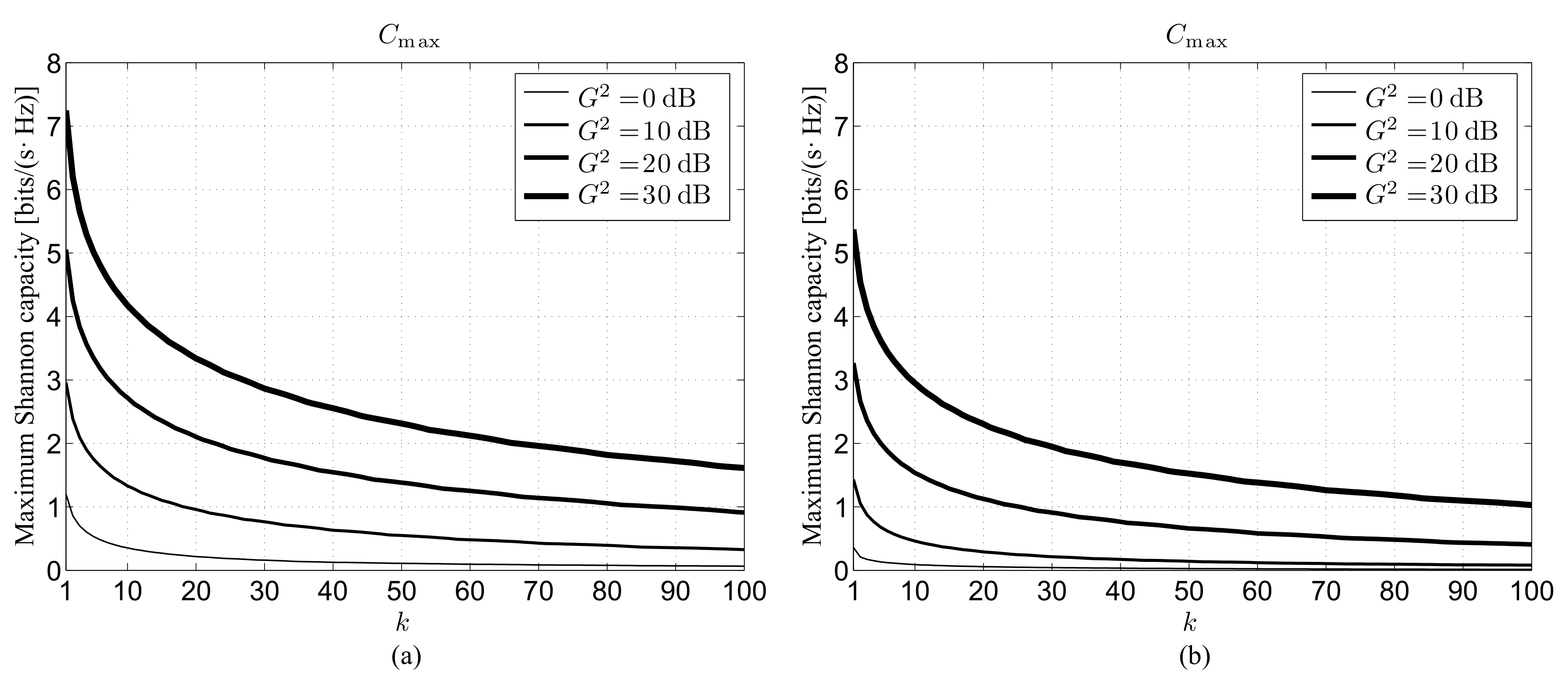
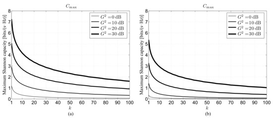
4.3. Impact of Maximum Product Gain
4.4. Impact of Beam Alignment Error
4.5. Impact of Modulation
5. Conclusions
Author Contributions
Funding
Informed Consent Statement
Conflicts of Interest
Abbreviations
| BS | base station |
| CCDF | complementary cumulative distribution function |
| CDF | cumulative distribution function |
| LoS | line of sight |
| mmWave | millimeter wave |
| ME | Mobile Equipment |
| NLoS | Non line of sight |
| OUT | OUTage |
| probability density function | |
| PMF | probability mass function |
| PPP | Poisson point process |
| RV | random variable |
| SNR | signal to noise ratio |
| w.p. | with probability |
References
- Andrews, J.G.; Buzzi, S.; Choi, W.; Hanly, S.V.; Lozano, A.; Soong, A.C.K.; Zhang, J.C. What will 5G be? IEEE J. Sel. Areas Commun. 2014, 32, 1065–1082. [Google Scholar] [CrossRef]
- Akdeniz, M.R.; Liu, Y.; Samimi, M.K.; Sun, S.; Rangan, S.; Rappaport, T.S.; Erkip, E. Millimeter wave channel modeling and cellular capacity evaluation. IEEE J. Sel. Areas Commun. 2014, 32, 1164–1179. [Google Scholar] [CrossRef]
- Thomas, T.A.; Nguyen, H.C.; MacCartney, G.R., Jr.; Rappaport, T.S. 3D mmWave channel model proposal. In Proceedings of the 2014 IEEE 80th Vehicular Technology Conference (VTC2014-Fall), Vancouver, BC, Canada, 14–17 September 2014; pp. 1–6. [Google Scholar] [CrossRef]
- Bai, T.; Vaze, R.; Heath, R.W., Jr. Analysis of blockage effects on urban cellular networks. IEEE Trans. Wirel. Commun. 2014, 13, 5070–5083. [Google Scholar] [CrossRef]
- Samimi, M.K.; MacCartney, G.R., Jr.; Sun, S.; Rappaport, T.S. 28 GHz millimeter-wave ultrawideband small-scale fading models in wireless channels. In Proceedings of the 2016 IEEE 83rd Vehicular Technology Conference (VTC Spring), Nanjing, China, 15–18 May 2016; pp. 1–6. [Google Scholar] [CrossRef]
- Di Renzo, M. Stochastic geometry modeling and analysis of multi-tier millimeter wave cellular networks. IEEE Trans. Wirel. Commun. 2015, 14, 5038–5057. [Google Scholar] [CrossRef]
- Feng, J.; Feng, Z. Optimal base station density of dense network: From the viewpoint of interference and load. Sensors 2017, 17, 2077. [Google Scholar] [CrossRef] [PubMed]
- Andrews, J.G.; Bai, T.; Kulkarni, M.N.; Alkhateeb, A.; Gupta, A.K.; Heath, R.W., Jr. Modeling and analyzing millimeter wave cellular systems. IEEE Trans. Commun. 2017, 65, 403–430. [Google Scholar] [CrossRef]
- Saha, R.K. 3D spatial reuse of multi-millimeter-wave spectra by ultra-dense in-building small cells for spectral and energy efficiencies of future 6G mobile networks. Energies 2020, 13, 1748. [Google Scholar] [CrossRef]
- Babich, F.; Comisso, M.; Dorni, A. A novel SIR-based access scheme for multi-packet communication in 802.11 networks. In Proceedings of the 2012 IEEE International Conference on Communications (ICC), Ottawa, ON, Canada, 10–15 June 2012; pp. 1–5. [Google Scholar] [CrossRef]
- Li, Y.; Xu, S. Traffic offloading in unlicensed spectrum for 5G cellular network: A two-layer game approach. Entropy 2018, 20, 88. [Google Scholar] [CrossRef]
- Álvarez-Merino, C.S.; Luo-Chen, H.Q.; Khatib, E.J.; Barco, R. WiFi FTM, UWB and cellular-based radio fusion for indoor positioning. Sensors 2021, 21, 7020. [Google Scholar] [CrossRef]
- Ayub, A.; Jangsher, S.; Butt, M.M.; Maud, A.R.; Bhatti, F.A. A comparative analysis of Wi-Fi offloading and cooperation in small-cell network. Electronics 2021, 10, 1493. [Google Scholar] [CrossRef]
- Comisso, M. On the use of dimension and lacunarity for comparing the resonant behavior of convoluted wire antennas. Prog. Electromagn. Res. 2009, 96, 361–376. [Google Scholar] [CrossRef][Green Version]
- Simone, M.; Fanti, A.; Mazzarella, G. 5G wideband stacked patch antennas. In Proceedings of the 2021 15th European Conference on Antennas and Propagation (EuCAP), Dusseldorf, Germany, 22–26 March 2021; pp. 1–5. [Google Scholar] [CrossRef]
- Zhang, J.; Zhang, S.; Lin, X.; Fan, Y.; Pedersen, G. 3D radiation pattern reconfigurable phased array for transmission angle sensing in 5G mobile communication. Sensors 2018, 18, 4204. [Google Scholar] [CrossRef]
- Comisso, M.; Buttazzoni, G.; Vescovo, R. Reconfigurable antenna arrays with multiple requirements: A versatile 3D approach. Int. J. Antennas Propag. 2017, 2017, 6752108. [Google Scholar] [CrossRef]
- Yifei, Y.; Longming, Z. Application scenarios and enabling technologies of 5G. China Commun. 2014, 11, 69–79. [Google Scholar] [CrossRef]
- Scott-Hayward, S.; Garcia-Palacios, E. Multimedia resource allocation in mmwave 5G networks. IEEE Commun. Mag. 2015, 53, 240–247. [Google Scholar] [CrossRef]
- Corrado, R.; Comisso, M.; Babich, F. On the impact of the video quality assessment in 802.11e ad-hoc networks using adaptive retransmissions. In Proceedings of the 2014 13th Annual Mediterranean Ad Hoc Networking Workshop (MED-HOC-NET), Piran, Slovenia, 2–4 June 2014; pp. 47–54. [Google Scholar] [CrossRef]
- Shokri-Ghadikolaei, H.; Fischione, C.; Fodor, G.; Popovski, P.; Zorzi, M. Millimeter wave cellular networks: A MAC layer perspective. IEEE Trans. Commun. 2015, 63, 3437–3458. [Google Scholar] [CrossRef]
- Cheng, M.; Wang, J.-B.; Wu, Y.; Xia, X.-G.; Wong, K.-K.; Lin, M. Coverage analysis for millimeter wave cellular networks with imperfect beam alignment. IEEE Trans. Veh. Technol. 2018, 67, 8302–8314. [Google Scholar] [CrossRef]
- Singh, S.; Mudumbai, R.; Madhow, U. Interference analysis for highly directional 60-GHz mesh networks: The case for rethinking medium access control. IEEE/ACM Trans. Netw. 2011, 19, 1513–1527. [Google Scholar] [CrossRef]
- Babich, F.; Comisso, M. Impact of segmentation and capture on slotted Aloha systems exploiting interference cancellation. IEEE Trans. Veh. Technol. 2019, 68, 2878–2892. [Google Scholar] [CrossRef]
- Yu, X.; Zhang, J.; Haenggi, M.; Letaief, K.B. Coverage analysis for millimeter wave networks: The impact of directional antenna arrays. IEEE J. Sel. Areas Commun. 2017, 35, 1498–1512. [Google Scholar] [CrossRef]
- Di Renzo, M.; Lu, W.; Guan, P. The intensity matching approach: A tractable stochastic geometry approximation to system-level analysis of cellular networks. IEEE Trans. Commun. 2016, 15, 5963–5983. [Google Scholar] [CrossRef]
- Thompson, H.R. Distribution of distance to nth neighbour in a population of randomly distributed individuals. Ecology 1956, 37, 391–394. [Google Scholar] [CrossRef]
- Gupta, B.; Lamba, S.S. On k-th nearest neighbor distance distribution of random ad-hoc network. In Proceedings of the 2014 IEEE Region 10 Symposium, Kuala Lumpur, Malaysia, 14–16 April 2014; pp. 518–521. [Google Scholar] [CrossRef]
- Comisso, M.; Vatta, F.; Buttazzoni, G.; Babich, F. Impact of the neighbor’s order on the capacity of millimeter-wave links with Poisson-distributed nodes in line of sight conditions. In Proceedings of the 2021 International Conference on Software, Telecommunications and Computer Networks (SoftCOM), Split, Hvar, Croatia, 23–25 September 2021; pp. 1–6. [Google Scholar] [CrossRef]
- Yates, R.D.; Goodman, D.J. Probability and Stochastic Processes; John Wiley and Sons: New York, NY, USA, 1999. [Google Scholar]
- Holtzman, J.M. A simple, accurate method to calculate spread-spectrum multiple-access error probabilities. IEEE/ACM Trans. Netw. 1992, 40, 461–464. [Google Scholar] [CrossRef]
- Frühwirth-Schnatter, S. Finite Mixture and Markov Switching Models; Springer: New York, NY, USA, 2006. [Google Scholar]
- Babich, F.; Comisso, M. Multi-packet communication in heterogeneous wireless networks adopting spatial reuse: Capture analysis. IEEE Trans. Wirel. Commun. 2013, 12, 5346–5359. [Google Scholar] [CrossRef]
- Comisso, M.; Vatta, F.; Buttazzoni, G.; Babich, F. 3D millimeter-wave peer-to-peer networks with boundary located destination. IEEE Commun. Lett. 2019, 23, 1227–1230. [Google Scholar] [CrossRef]





| 33.3 mm−1 | 61.4 dB (28 GHz) | 2.92 (28 GHz) | |||
| 5.2 | 69.8 dB (73 GHz) | 2.69 (73 GHz) | |||
| 14.9 mm−1 | 72.0 (28 GHz) | 5.8 dB (28 GHz) | |||
| 0.1 W | 82.7 (73 GHz) | 5.8 dB (73 GHz) | |||
| W | 1 GHz | 2 (28 GHz) | 8.7 dB (28 GHz) | ||
| 10 dB | 2 (73 GHz) | 7.7 dB (73 GHz) |
Publisher’s Note: MDPI stays neutral with regard to jurisdictional claims in published maps and institutional affiliations. |
© 2022 by the authors. Licensee MDPI, Basel, Switzerland. This article is an open access article distributed under the terms and conditions of the Creative Commons Attribution (CC BY) license (https://creativecommons.org/licenses/by/4.0/).
Share and Cite
Comisso, M.; Buttazzoni, G.; Pastore, S.; Vatta, F.; Babich, F. 3D Poisson-Based Neighborhood Capacity Analysis for Millimeter Wave Communications. Sensors 2022, 22, 2098. https://doi.org/10.3390/s22062098
Comisso M, Buttazzoni G, Pastore S, Vatta F, Babich F. 3D Poisson-Based Neighborhood Capacity Analysis for Millimeter Wave Communications. Sensors. 2022; 22(6):2098. https://doi.org/10.3390/s22062098
Chicago/Turabian StyleComisso, Massimiliano, Giulia Buttazzoni, Stefano Pastore, Francesca Vatta, and Fulvio Babich. 2022. "3D Poisson-Based Neighborhood Capacity Analysis for Millimeter Wave Communications" Sensors 22, no. 6: 2098. https://doi.org/10.3390/s22062098
APA StyleComisso, M., Buttazzoni, G., Pastore, S., Vatta, F., & Babich, F. (2022). 3D Poisson-Based Neighborhood Capacity Analysis for Millimeter Wave Communications. Sensors, 22(6), 2098. https://doi.org/10.3390/s22062098

