Dielectric Measurement of Agricultural Grain Moisture—Theory and Applications
Abstract
:1. Introduction
1.1. Moisture Determination in Agricultural Grains
1.2. Factors Influencing Permittivity Measurements of Agricultural Grains
1.2.1. Water Content and the Grain Aqueous Phase
1.2.2. Dielectric Measurement Frequency
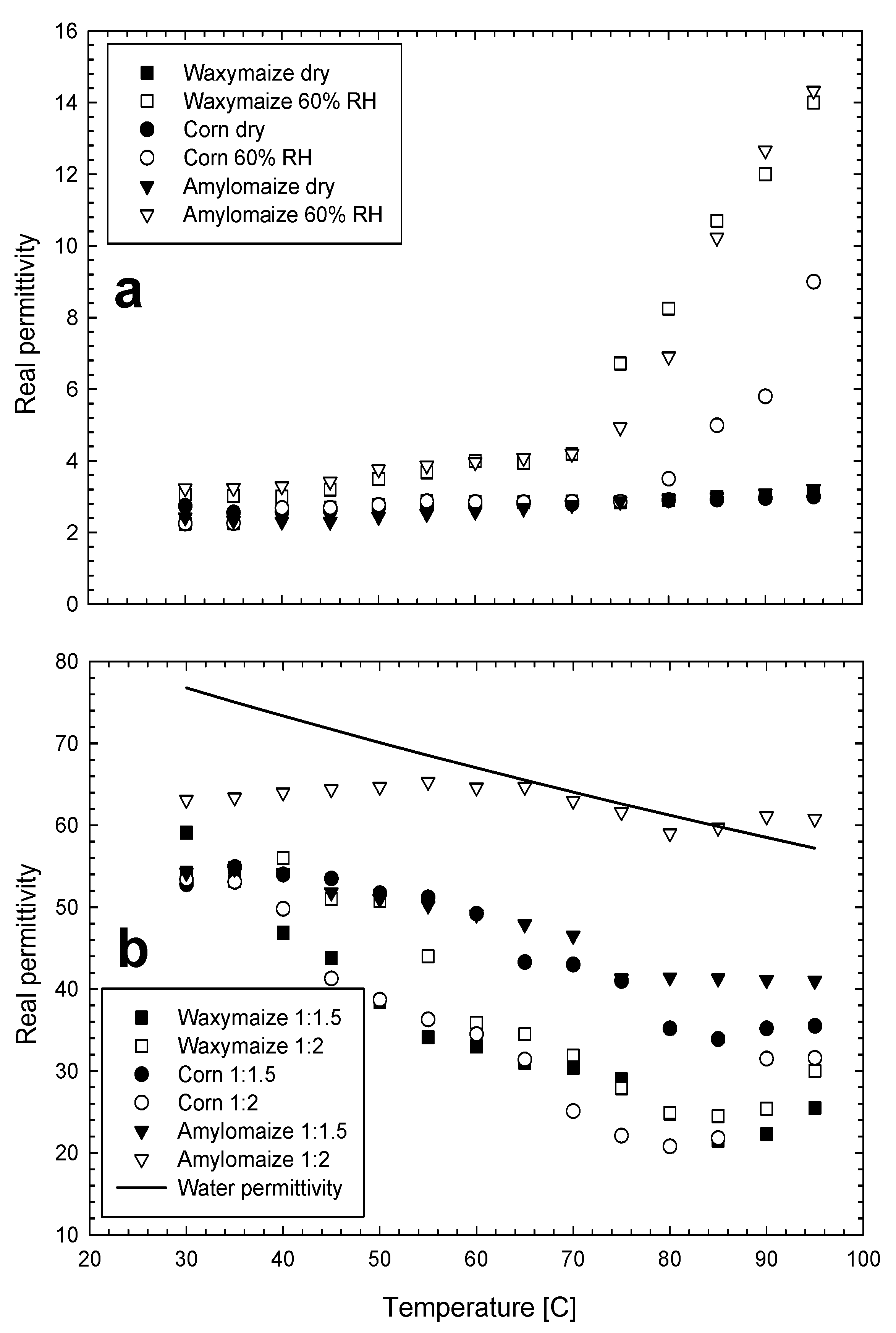
1.2.3. Temperature Effects
1.2.4. The Role of Grain- and Constituent-Shape
1.3. Dielectric Mixture Theory
2. Physical Properties of Agricultural Grains
2.1. Grain Composition
2.1.1. Starch
2.1.2. Proteins
2.1.3. Fat and Cellulose
2.2. Density and Porosity of Packs of Different Agricultural Grains
2.2.1. Kernel Density
2.2.2. Grain Constituent Arrangement and Shape
2.2.3. The Grain Bulk Density
2.2.4. Frequency-Domain Measurements
2.3. How Bound Water Content Affects Permittivity
2.3.1. Water Binding in Proteins, Starches and Flours
2.3.2. Modeling Grain Constituent Water-Phase Permittivity
3. Sample Hierarchical Modeling of Permittivity
3.1. Two-Phase Mixtures
3.2. Three-Phase Mixtures
3.2.1. Shape, Surface Area and Phase Configuration Effects on Permittivity
3.2.2. Modeling the Permittivity of High-Moisture Corn
3.2.3. Ear Corn Moisture and Permittivity
4. Summary and Outlook
Author Contributions
Funding
Institutional Review Board Statement
Informed Consent Statement
Data Availability Statement
Acknowledgments
Conflicts of Interest
References
- Balendres, M.A.O.; Karlovsky, P.; Cumagun, C.J.R. Mycotoxigenic fungi and mycotoxins in agricultural crop commodities in the Philippines: A review. Foods 2019, 8, 249. [Google Scholar] [CrossRef] [PubMed] [Green Version]
- Multon, J.L. Basics of moisture measurement in grain. In Uniformity by 2000; Hill, L.D., Ed.; Scherer Communications: Urbanna, IL, USA, 1991; pp. 35–68. [Google Scholar]
- NCWM. NCWM Publication 14 Grain Moisture Meters & Near Infrared Grain Analyzers. In Proceedings of the 106th NCWM Annual Meeting, Rochester, NY, USA, 18–23 July 2021. [Google Scholar]
- Trabelsi, S.; Nelson, S.O. Unified microwave moisture sensing technique for grain and seed. Meas. Sci. Technol. 2007, 18, 997. [Google Scholar] [CrossRef]
- Kirk, K.R.; Fravel, J.B.; Koch, J.P.; Warner, A.C.; Massey, H.F.; Coleman, A.M. Testing of Handheld Grain Moisture Meters on Shelled and Whole Pod Peanuts. In Proceedings of the 2015 ASABE Annual International Meeting, St. Joseph, MI, USA, 26–29 July 2015; p. 1. [Google Scholar]
- Venkatesh, M.; Raghavan, G. An overview of microwave processing and dielectric properties of agri-food materials. Biosyst. Eng. 2004, 88, 1–18. [Google Scholar] [CrossRef]
- Serdyuk, V. Dielectric study of bound water in grain at radio and microwave frequencies. Prog. Electromagn. Res. 2008, 84, 379–406. [Google Scholar] [CrossRef] [Green Version]
- Trabelsi, S.; Nelson, S.O. Temperature-dependent behaviour of dielectric properties of bound water in grain at microwave frequencies. Meas. Sci. Technol. 2006, 17, 2289. [Google Scholar] [CrossRef]
- Nelson, S.O.; Trabelsi, S. Factors Influencing the Dielectric Properties of Agricultural and Food Products. J. Microw. Power Electromagn. Energy 2012, 46, 93–107. [Google Scholar] [CrossRef]
- Jones, S.B.; Or, D. Surface area, geometrical and configurational effects on permittivity of porous media. J. Non-Cryst. Solids 2002, 305, 247–254. [Google Scholar] [CrossRef]
- Jones, S.B.; Friedman, S.P. Particle shape effects on the effective permittivity of anisotropic or isotropic media consisting of aligned or randomly oriented ellipsoidal particles. Water Resour. Res. 2000, 36, 2821–2833. [Google Scholar] [CrossRef]
- Jones, R.N.; Bussey, H.E.; Little, W.E.; Mezker, R.F. Electrical Characteristics of Corn, Wheat, and Soya in the 1–200 MHz Range; NBSIR 78-897; National Bureau of Standards: Boulder, CO, USA, 1978. [Google Scholar]
- Nelson, S.O. Review of factors influencing the dielectric properties of cereal grains. Cereal Chem. 1981, 58, 487–492. [Google Scholar]
- Paulsen, M.R.; Hill, L.D.; Dixon, B.L. Moisture Meter-to-Oven Comparisons for Illinois Corn. Trans. ASAE 1983, 26, 576–0583. [Google Scholar] [CrossRef]
- Hurburgh, C.R., Jr.; Hazen, T.E.; Bern, C.J. Corn Moisture Measurement Accuracy. Trans. ASAE 1985, 28, 634–0640. [Google Scholar] [CrossRef]
- Hurburgh, C.R., Jr.; Paynter, L.N.; Schmitt, S.G. Moisture Meter Performance I. Corn Over Five Crop Years. Trans. ASAE 1987, 30, 579–0581. [Google Scholar] [CrossRef]
- Funk, D.B. Uniformity in dielectric grain moisture measurement. In Uniformity by 2000; Hill, L.D., Ed.; Scherer Communications: Urbanna, IL, USA, 1991; pp. 69–91. [Google Scholar]
- Vera Zambrano, M.; Dutta, B.; Mercer, D.G.; MacLean, H.L.; Touchie, M.F. Assessment of moisture content measurement methods of dried food products in small-scale operations in developing countries: A review. Trends Food Sci. Technol. 2019, 88, 484–496. [Google Scholar] [CrossRef]
- Crown, L.D.; Butcher, T.G.; Cook, S.E. Grain Moisture Meters. In NIST Handbook 44-Specifications, Tolerances and Other Technical Requirements for Weighing and Measuring Devices; National Institute of Standards and Technology: Gaithersburg, MD, USA, 2010; pp. 5–41, 45–59. [Google Scholar]
- Funk, D.B. An Investigation of the Nature of the Radio-Frequency Dielectric Response in Cereal Grains and Oilseeds with Engineering Implications for Grain Moisture Meters; University of Missouri-Kansas City: Kansas City, MO, USA, 2001. [Google Scholar]
- Funk, D.B.; Gillay, Z.; Meszaros, P. Unified moisture algorithm for improved RF dielectric grain moisture measurement. Meas. Sci. Technol. 2007, 18, 1004. [Google Scholar] [CrossRef]
- Lee, G.D. A New Generation of Grain Moisture Meters. Weight. Meas. Connect. Newsl. 2012, 3, 1–5. [Google Scholar]
- Aguerre, R.J.; Suarez, C. Diffusion of bound water in starchy materials: Application to drying. J. Food Eng. 2004, 64, 389–395. [Google Scholar] [CrossRef]
- Shivaraju, V.K.; Vallayil Appukuttan, S. The influence of bound water on the FTIR characteristics of starch and starch nanocrystals obtained from selected natural sources. Starch-Stärke 2019, 71, 1700026. [Google Scholar]
- Wang, H.; Liu, J.; Min, W.; Zheng, M.; Li, H. Changes of moisture distribution and migration in fresh ear corn during storage. J. Integr. Agric. 2019, 18, 2644–2651. [Google Scholar] [CrossRef]
- Jones, S.B.; Or, D. Thermal and geometrical effects on bulk permittivity of porous mixtures containing bound water. In Electromagnetic Aquametry; Springer: Berlin, Germany, 2005; pp. 71–92. [Google Scholar]
- Nelson, S.O.; Doderholm, L.H.; Yung, F.D. Determining the dielectric properties of grain. Agric. Eng. 1953, 34, 608–610. [Google Scholar]
- Nelson, S.O. Dielectric properties of grain and seed in the 1 to 50-MC range. Trans. ASAE 1965, 8, 38–47. [Google Scholar] [CrossRef]
- Kraszewski, A.W.; Nelson, S.O. Microwave permittivity determination in agricultural products. J. Microw. Power Electromagn. Energy 2004, 39, 41–52. [Google Scholar] [CrossRef] [PubMed]
- Matthews, J. The design of an electrical capacitance-type moisture meter for agricultural use. J. Agric. Eng. Res. 1963, 8, 17–30. [Google Scholar]
- Lawrence, K.C.; Nelson, S.O.; Bartley, P.G., Jr. Measuring dielectric properties of hard red winter wheat from 1 to 350 MHz with a flow-through coaxial sample holder. Trans. ASAE 1998, 41, 143–150. [Google Scholar] [CrossRef]
- Nelson, S.O. Agricultural applications of dielectric measurements. IEEE Trans. Dielectr. Electr. Insul. 2006, 13, 688–702. [Google Scholar] [CrossRef]
- Kraszewski, A.W.; Nelson, S.O. Observations on resonant cavity perturbation by dielectric objects. IEEE Trans. 1992, 40, 151–155. [Google Scholar] [CrossRef]
- Trabelsi, S.; Nelson, S.O. Free-space measurement of dielectric properties of cereal grain and oilseed at microwave frequencies. Meas. Sci. Technol. 2003, 14, 589. [Google Scholar] [CrossRef]
- Powell, S.D.; Mclendon, B.D.; Nelson, S.O.; Kraszewski, A.; Allison, J.M. Use of a density-independent function and microwave measurement system for grain moisture measurement. Trans. ASAE 1988, 31, 1875–1881. [Google Scholar] [CrossRef]
- Nelson, S.O. Dielectric properties measurement techniques and applications. Trans. ASAE 1999, 42, 523–529. [Google Scholar] [CrossRef]
- Kuang, W.; Nelson, S.O. Low-frequency dielectric properties of biological tissues: A review with some new insights. Trans. ASAE 1998, 41, 173–184. [Google Scholar] [CrossRef] [Green Version]
- Nelson, S.O. Microwave dielectric properties of grain and seed. Trans. ASAE 1973, 16, 549–553. [Google Scholar] [CrossRef]
- Roebuck, B.D.; Goldblith, S.A.; Westphal, W.B. Dielectric properties of carbohydrate-water mixtures at microwave frequencies. J. Food Sci. 1972, 37, 199–204. [Google Scholar] [CrossRef]
- Kaatze, U. Microwave dielectric properties of water. In Microwave Aquametry; Kraszewski, A., Ed.; IEEE Press: New York, NY, USA, 1996. [Google Scholar]
- Sokhansanj, S.; Nelson, S.O. Dependence of dielectric properties of wheat on bulk density. J. Agric. Eng. Res. 1988, 39, 173–179. [Google Scholar] [CrossRef]
- Nelson, S.O.; Trabelsi, S. Principles of grain and seed moisture sensing through radio-frequency and microwave dielectric properties. In Proceedings of the 2017 ASABE Annual International Meeting, Spokane, WA, USA, 16–19 July 2017; p. 1. [Google Scholar]
- Lewis, M.A.; Trabelsi, S. Performance Comparison of Three Density-Independent Calibration Functions for Microwave Moisture Sensing in Unshelled Peanuts during Drying. Appl. Eng. Agric. 2020, 36, 667–672. [Google Scholar] [CrossRef]
- Nelson, S.; Prakash, A.; Lawrence, K. Moisture and temperature dependence of the permittivities of some hydrocolloids at 2.45 GHz. J. Microw. Power Electromagn. Energy 1991, 26, 178–185. [Google Scholar] [CrossRef]
- Aggarwal, S.K.; Johnston, R.H. The effect of temperature on the accuracy of microwave moisture measurements on sandstone cores. IEEE Trans. Instrum. Meas. 1985, IM-34, 21–25. [Google Scholar] [CrossRef]
- Wraith, J.M.; Or, D. Temperature effects on soil bulk dielectric permittivity measured by time domain reflectometry: Experimental evidence and hypothesis development. Water Resour. Res. 1999, 35, 361–369. [Google Scholar] [CrossRef]
- Mudgett, R.E.; Goldblith, S.A.; Wang, D.I.C.; Westphal, W.B. Prediction of dielectric properties in solid foods of high moisture content at ultrahigh and microwave frequencies. J. Food Process. Preserv. 1977, 1, 119–151. [Google Scholar] [CrossRef]
- Oncley, J.L. The electric moments and the relaxation times of proteins as measured from their influence upon the dielectric constants of solutions. In Proteins, Amino Acids and Peptides as Ions and Dipolar Ions; Reinhold Publishing Corporation: New York, NY, USA, 1943. [Google Scholar]
- Nelson, S.O.; Lawrence, K.C. Kernel moisture variation on the ear in yellow-dent field corn. Trans. ASAE 1991, 34, 513–516. [Google Scholar] [CrossRef]
- Jones, C.; Campbell, J. Micro-determination of endosperm density as a means of mapping moisture distribution in wheat grains. Cereal Chem. 1953, 30, 177–189. [Google Scholar]
- Sakamoto, T.; Nakamura, H.; Uedaira, H.; Wada, A. High-frequency dielectric relaxation of water bound to hydrophylic silica gels. J. Phys. Chem. 1989, 93, 357–366. [Google Scholar] [CrossRef]
- Soekarto, S.T.; Steinberg, M.P. Determination of binding energy for the three fractions of bound water. In Water Activity: Influences on Food Quality; Rockland, L.B., Stewart, G.F., Eds.; Academic Press: New York, NY, USA, 1981; pp. 265–279. [Google Scholar]
- Thorp, J.M. The dielectric behavior of vapours adsorbed on porous solids. Trans. Faraday Soc. 1959, 55, 442–454. [Google Scholar] [CrossRef]
- Etzler, F.M. A comparison of the properties of vicinal water in silica, clays, wood, cellulose, and other polymeric materials. In Water Relationships in Foods; Levine, H., Slade, L., Eds.; Plenum Press: New York, NY, USA, 1991. [Google Scholar]
- Careri, G.; Giansanti, A. Dielectric properties of nearly dry biological systems at megahertz frequencies. In Membranes, Metabolism, and Dry Organisms; Leopold, A.C., Ed.; Comstock Publishing Associates: Ithaca, NY, USA, 1986; pp. 273–285. [Google Scholar]
- Gur-Arieh, C.; Nelson, A.I.; Steinberg, M.P. Studies on the density of water adsorbed on low-protein fraction of flour. J. Food Sci. 1967, 32, 442–445. [Google Scholar] [CrossRef]
- Tait, M.J.; Ablett, S.; Wood, F.W. The binding of water on starch, an NMR investigation. J. Colloid Interface Sci. 1972, 41, 594–603. [Google Scholar] [CrossRef]
- Kuntz, I.D.; Kauzmann, W. Hydration of proteins and polypeptides. In Adv. Protein Chem; Anfinsen, C.B., Edsall, J.T., Richards, F.M., Eds.; Academic Press: New York, NY, USA, 1974; Volume 28, pp. 239–345. [Google Scholar]
- Or, D.; Wraith, J.M. Temperature effects on soil bulk dielectric permittivity measured by time domain reflectometry: A physical model. Water Resour. Res. 1999, 35, 371–383. [Google Scholar] [CrossRef]
- Ernst, J.A.; Clubb, R.T.; Zhou, H.-X.; Gronenborn, A.M.; Clore, M.G. Demonstration of Positionally Disordered Water Within a Protein Hydrophobic Cavity by NMR. Science 1995, 267, 1813–1817. [Google Scholar] [CrossRef]
- Jones, I.D.; Jones, R.A. Free and bound water in elastic and non-elastic gels. J. Phys. Chem. 1932, 36, 387–436. [Google Scholar] [CrossRef]
- Rosen, D. Dielectric properties of proein powders with adsorbed water. Trans. Faraday Soc. 1963, 59, 2178–2191. [Google Scholar] [CrossRef]
- Leung, H.K.H. Capacity and Force of Water Binding by Carbohydrates and Proteins as Determined by Nuclear Magnetic Resonance. Ph.D. Thesis, University of Illinois at Urbana-Champaign, Urbana, IL, USA, 1975. [Google Scholar]
- Vertucci, C.W.; Crane, J.; Vance, N.C. Physiological aspects of Taxus brevifolia seeds in relation to seed storage characteristics. Physiol. Plant. 1996, 98, 1–12. [Google Scholar] [CrossRef]
- Holmes, M.G.; McCallum, K.; Diament, A.D. Non-destructive measurement of seed moisture content using dielectric properties. Seed Sci. Technol. 1991, 19, 413–422. [Google Scholar]
- Fukuzaki, M.; Umehara, T.; Kurita, D.; Shioya, S.; Haida, M.; Mashimo, S. Measurement of bound water in an aqueous DNA solution using nuclear magnetic resonance and time domain relfectometry. J. Phys. Chem. 1992, 96, 10087–10089. [Google Scholar] [CrossRef]
- Kuntz, I.D. The physical properties of water associated with biomacromolecules. In Water Relations of Foods; Duckworth, R.B., Ed.; Academic Press: London, UK, 1975. [Google Scholar]
- Takashima, S. Dielectric properties of proteins I. Dielectric relaxation. In Physical Principles and Techniques of Protein Chemistry; Leach, S.J., Horecker, B., Kaplan, N.O., Marmur, J., Scheraga, H.A., Eds.; Molecular Biology; Academic Press: New York, NY, USA, 1969; Volume Part A, pp. 291–333. [Google Scholar]
- Mashimo, S.; Miura, N. Free and bound water in various matrix systems studied by advanced microwave techniques. In Mircrowave Aquametry; Kraszewski, A., Ed.; IEEE Press: New York, NY, USA, 1996; pp. 93–99. [Google Scholar]
- Chan, C.Y.; Knight, R.J. Determining water content and saturation from dielectric measurements in layered materials. Water Resour. Res. 1999, 35, 85–93. [Google Scholar] [CrossRef]
- Weast, R.C. CRC Handbook of Chemistry and Physics, 67th ed.; CRC Press: Boca Raton, FL, USA, 1986. [Google Scholar]
- Debye, P. Polar Molecules; Dover: Mineola, NY, USA, 1929. [Google Scholar]
- Ndife, M.K.; Sumnu, G.; Bayindirli, L. Dielectric properties of six different species of starch at 2450 MHz. Food Res. Int. 1998, 31, 43–52. [Google Scholar] [CrossRef]
- Pennock, B.E.; Schwan, H.P. Further observations on the electrical properties of hemoglobin-bound water. J. Phys. Chem. 1969, 73, 2600–2610. [Google Scholar] [CrossRef]
- Fripiat, J.J.; Jelli, A.; Poncelet, G.; Andre, J. Thermodynamic properties of adsorbed water molecules and electrical conduction in montmorillonites and silicas. J. Phys. Chem. 1965, 69, 2185–2197. [Google Scholar] [CrossRef]
- Roudaut, G.; Maglione, M.; LeMeste, M. Relaxations below the glass transition temperature in bread and its components. Cereal Chem. 1999, 76, 78–81. [Google Scholar] [CrossRef]
- Jia, C.; Wang, L.; Yin, S.; Liu, C.; Tong, L. Low-field nuclear magnetic resonance for the determination of water diffusion characteristics and activation energy of wheat drying. Dry. Technol. 2020, 38, 917–927. [Google Scholar] [CrossRef]
- Mirzaee, E.; Rafiee, S.; Keyhani, A.; Emam-Djomeh, Z. Determining of moisture diffusivity and activation energy in drying of apricots. Res. Agric. Eng. 2009, 55, 114–120. [Google Scholar] [CrossRef] [Green Version]
- McCafferty, E.; Pravdic, V.; Zettlemoyer, A.C. Dielectric behaviour of adsorbed water films on the alpha-Fe2O3 surface. Trans. Faraday Soc. 1970, 66, 1720–1731. [Google Scholar] [CrossRef]
- Kraszewski, A.W.; Nelson, S.O. Moisture content determination in single kernels and seeds with microwave resonant sensors. In Microwave Aquametry; Kraszewski, A., Ed.; IEEE Press: New York, NY, USA, 1996; pp. 177–203. [Google Scholar]
- Sillers, R.W. The properties of a dielectric containing semi-conducting particles of various shapes. J. Inst. Elect. Eng. 1937, 80, 378–394. [Google Scholar]
- Kelley, J.M.; Stenoien, J.O.; Isbell, D.E. Wave-guide measurements in the microwave region on metal powders suspended in paraffin wax. J. Appl. Phys. 1953, 24, 258–262. [Google Scholar] [CrossRef]
- Landau, L.D.; Lifshitz, E.M. Electrodynamics of Continuous Media; Permagon Press: New York, NY, USA, 1960; Volume 8, pp. 22–27. [Google Scholar]
- Jane, J.L.; Kasemsuwan, T.; Leas, S.; Zobel, H.; Robyt, J.F. Anthology of starch granule morphology by scanning electron microscopy. Starch/Starke 1994, 46, 121–129. [Google Scholar] [CrossRef]
- Gallant, D.J.; Bouchet, B.; Baldwin, P.M. Microscopy of starch: Evidence of a new level of granule organization. Carbohydr. Polym. 1997, 32, 177–191. [Google Scholar] [CrossRef]
- Yaghjian, A.D. Electric dyadic Green’s functions in the source region. Proc. IEEE 1980, 68, 248–263. [Google Scholar] [CrossRef]
- USDA. Visual Reference Images: Grains and Oilseeds; Federal Grain Inspection Service: Washington, DC, USA, 2016; p. 431.
- Nelson, S.O. Correlating dielectric properties of solids and particulate samples through mixture relationships. Trans. ASAE 1992, 35, 625–629. [Google Scholar] [CrossRef]
- Sihvola, S. Lorenz-Lorentz or Lorentz-Lorenz? IEEE Antennas Propag. Mag. 1991, 33, 56. [Google Scholar] [CrossRef]
- Maxwell, J.C. Treatise on Electricity and Magnetism, 2nd ed.; Clarendon: Oxford, UK, 1881; Volume 2. [Google Scholar]
- Maxwell-Garnett, J.C. Colours in metal glasses and in metallic films. Phil.Trans. R. Soc. Lond. 1904, 203, 385–420. [Google Scholar]
- Sihvola, A.H.; Kong, J.A. Effective permittivity of dielectric mixtures. IEEE Trans. Geosci. Remote Sens. 1988, 26, 420–429. [Google Scholar] [CrossRef]
- Polder, D.; Santen, J.H.V. The effective permeability of mixtures of solids. Physica 1946, XII, 257–271. [Google Scholar] [CrossRef]
- Tsang, L.; Kong, L.A.; Shin, R.T. Theory of Microwave Remote Sensing; Wiley: New York, NY, USA, 1985. [Google Scholar]
- Sihvola, A.; Lindell, I.V. Polarizability and effective permittivity of layered and continuously inhomogeneous dielectric ellipsoids. J. Electromagn. Waves Appl. 1990, 4, 1–26. [Google Scholar] [CrossRef]
- Dobson, M.C.; Ulaby, F.T.; Hallikainen, M.T.; El-Rayes, M.A. Microwave dielectric behavior of wet soil-Part II: Dielectric mixing models. IEEE Trans. Geosci. Remote Sens. 1985, GE-23, 35–46. [Google Scholar] [CrossRef]
- deLoor, G.P. Dielectric properties of heterogeneous mixtures containing water. J. Microw. Power 1968, 3, 67–73. [Google Scholar]
- Győri, Z. Corn: Grain-Quality Characteristics and Management of Quality Requirements. In Cereal Grains: Assessing and Managing Quality, 2nd ed.; Wrigley, C., Batey, I., Miskelly, D., Eds.; Woodhead Publishing: Duxford, UK, 2017; pp. 257–290. [Google Scholar]
- Brooker, D.B.; Bakker-Arkema, F.W.; Hall, C.W. Drying and Storage of Grains and Oilseeds; Van Nostrand Reinhold: New York, NY, USA, 1992. [Google Scholar]
- Augustin, J.; Klein, B.P. Nutrient composition of raw, cooked, canned, and sprouted legumes. In Legumes: Chemistry, Technology, and Human Nutrition; Matthews, R.H., Ed.; M. Dekker: New York, NY, USA, 1989; pp. 187–217. [Google Scholar]
- Radley, J.A. Starch and Its Derivatives, 3rd ed.; John Wiley & Sons Inc.: New York, NY, USA, 1954; Volume 1, p. 524. [Google Scholar]
- Sasaki, T.; Matsuki, J. Effect of wheat starch structure on swelling power. Cereal Chem. 1998, 75, 52–529. [Google Scholar] [CrossRef]
- Lee, Y.E.; Osman, E.M. Correlation of morphological changes of rice sarch granules with rheological properties during heating in excess water. J. Korean Agric. Chem. Soc. 1991, 34, 379–385. [Google Scholar]
- Raeker, M.O.; Gaines, C.S.; Finney, P.L.; Donelson, T. Granule size distrubtion and chemical composition of starches from 12 soft wheat cultivars. Cereal Chem. 1998, 75, 721–728. [Google Scholar] [CrossRef]
- Klucinec, J.D.; Thompson, D.B. Amylose and amylopectin interact in retrogradation of dispersed high-amylose starches. Cereal Chem. 1999, 76, 282–291. [Google Scholar] [CrossRef]
- Visser, R.G.F.; Suurs, L.C.J.M.; Steeneken, P.A.M.; Jacobsen, E. Some physicochemical properties of amylose-free potato starch. Starch 1997, 49, 443–448. [Google Scholar] [CrossRef]
- Hoseney, R.C. Principles of Cereal Science and Technology, 2nd ed.; American Association of Cereal Chemists, Inc.: St. Paul, MN, USA, 1998. [Google Scholar]
- Goethe, J.W. Water in biological systems. In Dielectric and Electronic Properties of Biological Materials; Pethig, R., Ed.; John Wiley & Sons: Chichester, UK, 1979; p. 376. [Google Scholar]
- Fisher, H.F. A limiting law relating the size and shape of protein molecules to their composition. Proc. Nat. Acad. Sci. USA 1964, 51, 1285–1291. [Google Scholar] [CrossRef] [Green Version]
- Kuhn, L.A.; Siani, M.A.; Pique, M.E.; Fisher, C.L.; Getzoff, E.D.; Tainer, J.A. The interdependence of protein surface topography and bound water molecules revealed by surface accessibility and fractal density measures. J. Mol. Biol. 1992, 228, 13–22. [Google Scholar] [CrossRef]
- Richards, F.M. Areas, volumes, packing, and protein structure. Ann. Rev. Biophys. Bioeng. 1977, 6, 151–176. [Google Scholar] [CrossRef]
- Leopold, A.C. Volumetric components of seed imbibition. Plant Physiol. 1983, 73, 677. [Google Scholar] [CrossRef] [Green Version]
- Ratkovic, S.; Pissis, P. Water binding to biopolymers in different cereals and legumes: Proton NMR relaxation, dielectric and water imbibition studies. J. Mater. Sci. 1997, 32, 3061–3068. [Google Scholar] [CrossRef]
- Shukla, T.P. Cereal proteins: Chemistry and food applications. In CRC Critical Reviews in Food Science and Nutrition; CRC Press: Boca Raton, FL, USA, 1975; Volume 6. [Google Scholar]
- Southan, M.; MacRitchie, F. Molecular weight distribution of wheat proteins. Cereal Chem. 1999, 76, 827–836. [Google Scholar] [CrossRef]
- Dieckert, J.W.; Dieckert, M.C. The chemistry and biology of seed storage proteins. In New Protein Foods; Altschul, A.M., Wilcke, H.L., Eds.; Academic Press: Orlando, FL, USA, 1985; Volume 5. [Google Scholar]
- Lasztity, R. The Chemistry of Cereal Proteins; CRC Press: Boca Raton, FL, USA, 1984. [Google Scholar]
- Loffler, G.; Schreiber, H.; Steinhouser, O. Calculation of the dielectric properties of a protein and its solvent: Theory and a case study. J. Mol. Biol. 1997, 270, 520–534. [Google Scholar] [CrossRef] [PubMed] [Green Version]
- Sham, Y.Y.; Muegge, I.; Warshel, A. The effect of protein relaxation on charge-charge interactions an ddielectric constants of proteins. Biophys. J. 1998, 74, 1744–1753. [Google Scholar] [CrossRef] [Green Version]
- Simonson, T.; Perahia, D. Internal and interfacial dielectric properties of cytochrome c from molecular dynamics in aqueous solution. Proc. Natl. Acad. Sci. USA 1995, 92, 1082–1086. [Google Scholar] [CrossRef] [Green Version]
- Suzuki, M.; Shigematsu, J.; Kodama, T. Hydration study of proteins in solution by microwave dielectric analysis. J. Phys. Chem. 1996, 100, 7279–7282. [Google Scholar] [CrossRef]
- Gilson, M.K.; Rashin, A.; Fine, R.; Honig, B. On the calculation of electrostatic interactions in proteins. J. Mol. Biol. 1985, 183, 503–516. [Google Scholar] [CrossRef]
- Pethig, R. Dielectric and Electronic Properties of Biological Materials; John Wiley & Sons: Chichester, UK, 1979; p. 376. [Google Scholar]
- Deshpande, S.D.; Bal, S.; Ojha, T.P. Physical properties of soybean. J. Agric. Engng. Res. 1993, 56, 89–98. [Google Scholar] [CrossRef]
- Peleg, M. Physical characteristics of food powders. In Physical Properties of Foods; Peleg, M., Bagley, E.B., Eds.; AVI Publishing Co. Inc.: Westport, CT, USA, 1983. [Google Scholar]
- Sokhansanj, S.; Lang, W. Prediction of kernel and bulk volume of wheat and canola during adsorption and desorption. J. Agric. Eng. Res. 1996, 63, 129–136. [Google Scholar] [CrossRef]
- Nelson, S.O. RF and microwave dielectric properties of shelled, yellow-dent field corn. Trans. ASAE 1979, 22, 1451–1457. [Google Scholar] [CrossRef]
- Chang, C.S. Measuring density and porosity of grain kernels using a gas pycnometer. Cereal Chem. 1988, 65, 13–15. [Google Scholar]
- Westgate, M.E.; Boyer, J.S. Water status of the developing grain of maize. Agron. J. 1986, 78, 714–719. [Google Scholar] [CrossRef]
- Mohsenin, N.N. Physical Properties of Plant and Animal Materials: Structure, Physical Characteristics and Mechanical Properties; Gordon and Breach Science Publishers: New York, NY, USA, 1970; Volume 1. [Google Scholar]
- Cumberland, D.J.; Crawford, R. The packing of particles. In Handbook of Powder Technology; Williams, J.C., Allen, T., Eds.; Elsevier: Amsterdam, The Netherlands, 1987; Volume 6. [Google Scholar]
- Sokhansanj, S.; Falacinski, A.A.; Sosulski, F.W.; Jayas, D.S.; Tang, J. Resistance of bulk lentils to airflow. Trans. ASAE 1990, 33, 1281–1285. [Google Scholar] [CrossRef]
- Brusewitz, G.H. Density of rewetted high moisture grains. Trans. ASAE 1975, 18, 935–938. [Google Scholar] [CrossRef]
- Lawrence, K.; Nelson, S. Radio-frequency density-independent moisture determination in wheat. Trans. ASAE 1993, 36, 477–483. [Google Scholar] [CrossRef]
- McLendon, B.D.; Branch, B.G.; Thompson, S.A.; Kraszewski, A.; Nelson, S.O. Density-independent microwave measurement of moisture content in static and flowing grain. Trans. ASAE 1993, 36, 827–835. [Google Scholar] [CrossRef]
- Archibald, D.D.; Trabelsi, S.; Kraszewski, A.W.; Nelson, S.O. Regression analysis of microwave spectra for temperature-compensated and density-independent determination of wheat moisture content. Appl. Spectrosc. 1998, 52, 1435–1446. [Google Scholar] [CrossRef]
- Trabelsi, S.; Krazsewski, A.W.; Nelson, S.O. New density-independent calibration function for microwave sensing of moisture content in particulate materials. IEEE Trans. Instrum. Mes. 1998, 47, 613–622. [Google Scholar] [CrossRef] [Green Version]
- Trabelsi, S. New Calibration Algorithms for Dielectric-Based Microwave Moisture Sensors. IEEE Sens. Lett. 2017, 1, 1–4. [Google Scholar] [CrossRef]
- Chen, Y.; Or, D. Effects of Maxwell-Wagner polarization on soil complex dielectric permittivity under variable temperature and electrical conductivity. Water Resour. Res. 2006, 42, 1–14. [Google Scholar] [CrossRef]
- Nelson, S.O. Dielectric Spectroscopy of Fresh Fruit and Vegetable Tissues. In Proceedings of the ASAE/CSAE Annual International Meeting Fairmont Chateau Laurier, Ottawa, ON, Canada, 1–4 August 2004. [Google Scholar]
- Zhuang, H.; Nelson, S.O.; Trabelsi, S.; Savage, E.M. Dielectric Properties of Uncooked Chicken Breast Muscles from Ten to One Thousand Eight Hundred Megahertz1. Poult. Sci. 2007, 86, 2433–2440. [Google Scholar] [CrossRef]
- Nelson, S.O. Dielectric spectroscopy in agriculture. J. Non-Cryst. Solids 2005, 351, 2940–2944. [Google Scholar] [CrossRef]
- Botlan, D.L.; Rugraff, Y.; Martin, C.; Colonna, P. Quantative determination of bound water in wheat starch by time domain NMR spectroscopy. Carbohydr. Res. 1998, 308, 29–36. [Google Scholar] [CrossRef]
- Leung, H.K.; Steinberg, M.P.; Wei, L.S.; Nelson, A.I. Water binding of macromolecules determined by pulsed NMR. J. Food Sci. 1976, 41, 297–300. [Google Scholar] [CrossRef]
- Kuntz, I.D. Hydration of macromolecules. III. Hydration of polypeptides. J. Am. Chem. Soc. 1971, 93, 514–516. [Google Scholar] [CrossRef]
- Yakubu, P.I.; Baianu, I.C.; Orr, P.H. Unique hydration behavior of potato starch as determined by deuterium nuclear magnetic resonance. J. Food Sci. 1990, 55, 458–461. [Google Scholar] [CrossRef]
- Shanbhag, S.; Steinberg, M.P.; Nelson, A.I. Bound water defined and determined at constant temperature by wide-line NMR. J. Food Sci. 1970, 35, 612–615. [Google Scholar] [CrossRef]
- Freeman, M.E. Heat capacity and bound water in starch suspensions. Arch. Biochem. 1943, 1, 27–39. [Google Scholar]
- Mousseri, J.; Steinberg, M.P.; Nelson, A.I.; Wei, L.S. Bound water capacity of corn starch and its derivatives. J. Food Sci. 1974, 30, 114–116. [Google Scholar] [CrossRef]
- Bruni, F.; Leopold, A.C. Hydration, protons and onset of physiological activities in maize seed. Physiol. Plant. 1991, 81, 359–366. [Google Scholar] [CrossRef]
- Haynes, L.C.; Locke, J.P. Microwave permittivities of cracker dough, starch and glutten. J. Microw. Power Electromagn. Energy 1995, 30, 124–131. [Google Scholar] [CrossRef]
- Konsta, A.A.; Pissis, P.; Kanapitsas, A.; Ratkovic, S. Dielectric and conductivity studies of the hydration mechanisms in plant seeds. Biophys. J. 1996, 70, 1485–1493. [Google Scholar] [CrossRef] [Green Version]
- Tang, J.; Sokhansanj, S. Geometric changes in lentil seeds caused by drying. J. Agric. Engng. Res. 1993, 56, 313–326. [Google Scholar] [CrossRef]
- Ryden, B.E. Double layers and specific surfaces of organic soils for modeling the unsaturated hydraulic conductivity. In Indirect Methods for Estimating the Hydraulic Properties of Unsaturated Soils; Van Genuchten, M.T., Leij, F., Lund, L., Eds.; University of California, Riverside: Riverside, CA, USA, 1992; pp. 693–706. [Google Scholar]
- Robinson, R.A.; Stokes, R.H. Electrolyte Solutions, 2nd ed.; Butterworths: London, UK, 1959. [Google Scholar]
- Low, B.W.; Richards, F.M. Measurements of the density, composition and related unit cell dimensions of some protein crystals. Am. Chem. Soc. J. 1954, 76, 2511–2518. [Google Scholar] [CrossRef]
- Anderson, D.M.; Low, P.F. The density of water adsorbed by lithium- sodium- and potassium-bentonite. Soil Sci. Soc. Am. Proc. 1958, 22, 99–103. [Google Scholar] [CrossRef]
- Israelachvili, J.N. Intermolecular and Surface Forces, 2nd ed.; Academic Press: San Diego, CA, USA, 1992. [Google Scholar]
- Schoen, M.; Diestler, D.J.; Cushman, J.H. Fluids in micropores. I. Structures of a simple classical fluid in a slit-pore. J. Chem. Phys. 1987, 87, 5464–5476. [Google Scholar] [CrossRef]
- Agmon, N. Tetrahedral displacement: The molecular mechanism behind the Debye relaxation in water. J. Phys. Chem. 1996, 100, 1072–1080. [Google Scholar] [CrossRef]
- Fink, D.H.; Rich, C.I.; Thomas, G.W. Determination of internal surface area, external water, and amount of montmorillonite in clay-water systems. Soil Sci. 1968, 105, 71–77. [Google Scholar] [CrossRef]
- Lamm, G.; Pack, G.R. Local dielectric constants and Poisson-Boltzmann calculations of DNA counterion distributions. Int. J. Quant. Chem. 1997, 65, 1087–1093. [Google Scholar] [CrossRef]
- Bockris, J.O.M.; Devanathan, M.A.V.; Muller, K. On the structure of charged interfaces. Proc. Roy. Soc. (Lond.) 1963, A274, 55–79. [Google Scholar]
- Hasted, J.B. Aqueous Dielectrics; John Wiley & Sons: New York, NY, USA, 1973; p. 302. [Google Scholar]
- Friedman, S.P. A saturation degree-dependent composite spheres model for describing the effective dielectric constant of unsaturated porous media. Water Resour. Res. 1998, 34, 2949–2961. [Google Scholar] [CrossRef]
- Cherkaeva, E.; Golden, K.M. Inverse bounds for microstructural parameters of composite media derived from complex permittivity measurements. Waves Random Media 1998, 8, 437–450. [Google Scholar] [CrossRef] [Green Version]
- Rupley, J.A.; Siemankowski, L. The binding of water to dry biological systems. In Membranes, Metabolism, and Dry Organisms; Leopold, A.C., Ed.; Comstock Publishing Associates: Ithaca, NY, USA, 1986; pp. 259–272. [Google Scholar]
- Nandi, N.; Bagchi, B. Dielectric relaxation of biological water. J. Phys. Chem. B 1997, 101, 10954–10961. [Google Scholar] [CrossRef] [Green Version]
- Wei, Y.Z.; Kumbharkhane, A.C.; Sadeghi, M.; Sage, J.T.; Tian, W.D.; Chamion, P.M.; McDonald, M.J. Protein hydration investigations with high-frequency dielectric spectroscopy. J. Phys. Chem. 1994, 98, 6644–6651. [Google Scholar] [CrossRef]
- Corrêa, P.C.; Botelho, F.M.; Oliveira, G.H.H.; Goneli, A.L.D.; Resende, O.; Campos, S.D.C. Mathematical modeling of the drying process of corn ears. Acta Scientiarum. Agron. 2011, 33, 575–581. [Google Scholar] [CrossRef] [Green Version]
- Zhang, H.-L.; Ma, Q.; Fan, L.-F.; Zhao, P.-F.; Wang, J.-X.; Zhang, X.-D.; Zhu, D.-H.; Huang, L.; Zhao, D.-J.; Wang, Z.-Y. Nondestructive In Situ Measurement Method for Kernel Moisture Content in Corn Ear. Sensors 2016, 16, 2196. [Google Scholar] [CrossRef] [PubMed] [Green Version]
- Fan, L.-F.; Chai, Z.-Q.; Zhao, P.-F.; Tian, Z.-F.; Wen, S.-Q.; Li, S.-M.; Wang, Z.-Y.; Huang, L. Nondestructive measurement of husk-covered corn kernel layer dynamic moisture content in the field. Comput. Electron. Agric. 2021, 182, 106034. [Google Scholar] [CrossRef]
- Fan, L.; Chai, Z.; Wang, Y.; Wang, Z.; Zhao, P.; Li, J.; Zhou, Q.; Qin, X.; Yao, J.; Yan, S.; et al. A Novel Handheld Device for Intact Corn Ear Moisture Content Measurement. IEEE Trans. Instrum. Meas. 2020, 69, 9157–9169. [Google Scholar] [CrossRef]
- Çelik, E.; Parlak, N.; Çay, Y. Development of an integrated corn dryer with an indirect moisture measuring system. Sādhanā 2021, 47, 1. [Google Scholar] [CrossRef]
- Rowe, M. VNAs get deep into the field. Electron. Prod. 2018. Available online: https://www.electronicproducts.com/vnas-get-deep-into-the-field/ (accessed on 7 February 2022).
- Zareef, M.; Arslan, M.; Hassan, M.M.; Ahmad, W.; Ali, S.; Li, H.; Ouyang, Q.; Wu, X.; Hashim, M.M.; Chen, Q. Recent advances in assessing qualitative and quantitative aspects of cereals using nondestructive techniques: A review. Trends Food Sci. Technol. 2021, 116, 815–828. [Google Scholar] [CrossRef]
- Caporaso, N.; Whitworth, M.B.; Fisk, I.D. Near-Infrared spectroscopy and hyperspectral imaging for non-destructive quality assessment of cereal grains. Appl. Spectrosc. Rev. 2018, 53, 667–687. [Google Scholar] [CrossRef] [Green Version]
- Estrada-Girón, Y.; Swanson, B.G.; Barbosa-Cánovas, G.V. Advances in the use of high hydrostatic pressure for processing cereal grains and legumes. Trends Food Sci. Technol. 2005, 16, 194–203. [Google Scholar] [CrossRef]
- Schmidt, M.; Zannini, E.; Arendt, E.K. Recent Advances in Physical Post-Harvest Treatments for Shelf-Life Extension of Cereal Crops. Foods 2018, 7, 45. [Google Scholar] [CrossRef] [PubMed] [Green Version]
















| Property | Corn | Rice | Wheat | Soybean † | Lentil † |
|---|---|---|---|---|---|
| Starch (%) | 63.6 | 64.3 | 69.7 | 31.6 | 61.2 |
| Protein (%) | 9.8 | 7.3 | 10.6 | 34.3 | 24.7 |
| Fat (%) | 4.9 | 2.2 | 1.9 | 18.7 | 1.0 |
| Fiber (%) | 2.0 | 0.8 | 1.0 | 3.8 | 4.1 |
| Maximum harvest moisture ‡ | 25 | 38 | 20 | ||
| Optimum harvest moisture ‡ | 23 | 22 | 18 | ||
| Storage moisture > 1 year ‡ | 13 | 13 | 13 | 11 | 14 |
| Corn | Rice | Wheat | Potato | |
|---|---|---|---|---|
| Starch granule density (g cm−3) † | 1.517 | 1.510 | 1.542 | 1.511 |
| Ext. surface area, Ae (m2 g) ‡ | 0.031 | 0.80 | 0.19 | 0.085 |
| Diameter referencing Ae (μm) | 12 | 4.6 | 19 | 43 |
| Starch bulk density (g cm−3) § | 0.810 | 0.678 | 0.790 | |
| Starch dielectric constant § | 2.74 | 1.25 | 2.42 |
| Protein and Associated Molecular Weight | As Protein Only | Kernel Protein Content | As within Kernel | ||||
|---|---|---|---|---|---|---|---|
| Albumin | Globulin | Prolamin | Glutelin | ||||
| 12,000 † | 320,000 † | 21,000 † | 1 × 106 ‡ | ||||
| Cereal | % Protein in Each Seed Variety | m2 g−1 | % | m2 g−1 § | |||
| Barley normal | 13 | 12 | 52 | 23 | 1910 | 10.9 ¶ | 209 |
| Maize normal | 4 | 2 | 55 | 39 | 1730 | 10 | 173 |
| Millet, Pearl | 13.2 | 9.4 | 40 | 28 | 1810 | 16 | 289 |
| Oat | 1 | 78 | 16 | 5 | 1210 | 11 | 134 |
| Rice | 5 | 10 | 5 | 80 | 900 | 9 | 81 |
| Rye | 10 | 10 | 40 | 40 | 1630 | 11.5 | 187 |
| Sorghum Normal | 8 | 8 | 52 | 32 | 1790 | 11 | 197 |
| Triticale | 26.4 | 6.5 | 24.4 | 36.3 | 1790 | 15 | 268 |
| Wheat | 5 | 10 | 69 | 16 | 2030 | 12.2 ¶ | 247 |
| Property | Corn | Rice | Wheat | Soybean § |
|---|---|---|---|---|
| Length (mm) † | 8–17 | 5–10 | 5–8 | 5.4 |
| Width (mm) † | 5–15 | 1.5–5 | 2.5–4.5 | 6.6 |
| Aspect ratio, a/b | 1.6–1.1 | 3.3–2.0 | 1.8–2.0 | 0.81 |
| Kernel weight (mg) † | 150–600 | 23–27 | 30–45 | 120 |
| Bulk density, ρb (g cm−3) † | 0.745 | 0.590 | 0.805 | 0.721 |
| Bulk porosity, φb † | 0.40 | 0.48 | 0.41 | 0.382 |
| Kernel density, ρk (g cm3) ‡ | 1.24 | 1.13 | 1.36 | 1.17 |
| Avg. solid density ρs (g cm−3) ¶ | 1.45 | 1.43 | 1.47 | 1.34 |
| Kernel specific surface area (m2 m−3) † | 784 | 1132 | 1181 | 870 |
| Material | Crossover Frequency | Temperature Range | Reference |
|---|---|---|---|
| MHz | °C | ||
| 5 soils | 10–110 | 5–45 | Chen and Or, [139] |
| Chicken Breast Muscle | 100–200 | 5–85 | Zhuang, [141] |
| Whey protein gel | 100 | 5–95 | Nelson, [142] |
| Navel orange | 50 | 5–65 | Nelson, [140] |
| Russett Burbank potato | 70 | 5–65 | Nelson, [140] |
| Red delicious apple | 23 | 5–65 | Nelson, [140] |
| Avocado | 90 | 5–65 | Nelson, [140] |
| Banana | 50 | 5–65 | Nelson, [140] |
| Cantaloupe | 80 | 5–65 | Nelson, [140] |
| Carrot | 120 | 5–65 | Nelson, [140] |
| Cucumber | 16 | 5–65 | Nelson, [140] |
| Thompson seedless grape | 23 | 5–65 | Nelson, [140] |
| Molecular Layers | 1 | 1 | 2–3 | |
|---|---|---|---|---|
| Material | Method | Mdb | As | Mdb |
| (g g−1) | (m2 g−1) | (g g−1) | ||
| BSA [62] | 0.25 | 633 | ||
| 34 protein avg. [109] | 0.28 | 709 | ||
| Lysozyme [145] | NMR | 0.33 | ||
| Myoglobin [145] | NMR | 0.43 | ||
| Ovalbumin [145] | NMR | 0.33 | ||
| Hemoglobin [145] | NMR | 0.43 | ||
| β-casein [62] | Admittance | 0.24 | 607 | |
| Myoglobin [62] | Admittance | 0.22 | 557 | |
| Hemoglobin [74] | DRS | 0.20 | ||
| Wheat starch [143] | NMR | 0.17 | 430 | |
| Potato starch [146] | 0.30 | |||
| Corn starch [113] | TSDC | 0.15 | 380 | |
| Corn starch [147] | NMR | 0.35 † | ||
| Corn starch [148] | Dilatometry | 0.35 | ||
| Corn starch [149] | NMR | 0.32 | ||
| Corn starch [144] | NMR | 0.19 | 481 | |
| Maize [150] | Thermodyn | 0.08 | 202 | 0.25 |
| Cracker dough [151] | DSC | 0.25 † | ||
| Bean flour [152] | TSDC | 0.17 | 430 | |
| Soy flour [113] | NMR | 0.39 | 987 | |
| Wheat flour [152] | TSDC | 0.11 | 278 | |
| Wheat flour [147] | NMR | 0.49 † | ||
| Assumed | Axial | Cylinder | Cumulative | ||
|---|---|---|---|---|---|
| Structure Level | Geometry | Radius † | Radius † | As | As |
| m | m | m2 g−1 | m2 g−1 | ||
| Starch grain | sphere | 1.0 × 10−6 | 2 | 2 | |
| Large blocklets | sphere | 2.5 × 10−8 | 80 | 82 | |
| Small blocklets | sphere | 1.0 × 10−8 | 200 | 280 | |
| Amylopectin Cluster | cylinder | 5.0 × 10−9 | 5.0 × 10−9 | 260 | 540 |
| Amylopectin/Amylose unit cell | cylinder | 3.0 × 10−9 | 8.0 × 10−10 | 1650 | 2190 |
| Corn, Wheat, Soy Beans | Corn | Corn | ||||
|---|---|---|---|---|---|---|
| Variable | Used in Equation Number | Figure 11 | Figure 12 | Figure 13 (As) | Figure 13 (EMA) | Units |
| a/b | Equations (5) and (19) | 1.4, 2.5, 0.81 | 1 † | 1.4 | 1.4 | m m−1 |
| ρs, (Table 4) | Equations (17) and (20) | 1450 1470 1340 | 1500 | 1450 | 1450 | kg m−3 |
| ρb | Equation (14) | f(θ) Equation (20) | 750 † | 612 | 612 | kg m−3 |
| εa | Equations (7) and (9) | 1 | 1 | 1 | 1 | |
| εs | Equations (7) and (9) | 3.3, 3.8, 4 | 2.5 | 2.5 | 2.5 | |
| εw | Equations (7) and (9) | |||||
| T | Equations (2) and (4) | 25 | 25 | 25 | 25 | °C |
| f* | Equation (4) | 1 | 1 | 1 | 1 | GHz |
| r | Equation (4) | 2.5 | 2.5 | 2.5 | 2.5 | Å |
| Mc | Equation (24) | 0.18 | 0.16 | |||
| As | Equations (3) and (23) | 200, 280, 990 | 200 † | 200 | 200 | m2 g−1 |
| Description | Designation | Phase Configuration | ||
|---|---|---|---|---|
| WSA | SWA | ASW | ||
| Core volume (cm3) | V2 | 4πabc/3 | MvV1 | V1(ϕb−Mv) |
| Shell volume (cm3) | V1 | MvV0 + V2 | 4πabc/3 | 4πabc/3 |
| Background volume (cm3) | V0 | V2/(1−ϕb) | V1(1 + ϕb−Mv) | V1(1 + Mv) |
| Core vol. fraction | ϕ2 | V2/V0 | V2/V0 | V2/V0 |
| Shell vol. fraction | ϕ1 | (V1 − V2)/V0 | (V1 − V2)/V0 | (V1 − V2)/V0 |
Publisher’s Note: MDPI stays neutral with regard to jurisdictional claims in published maps and institutional affiliations. |
© 2022 by the authors. Licensee MDPI, Basel, Switzerland. This article is an open access article distributed under the terms and conditions of the Creative Commons Attribution (CC BY) license (https://creativecommons.org/licenses/by/4.0/).
Share and Cite
Jones, S.B.; Sheng, W.; Or, D. Dielectric Measurement of Agricultural Grain Moisture—Theory and Applications. Sensors 2022, 22, 2083. https://doi.org/10.3390/s22062083
Jones SB, Sheng W, Or D. Dielectric Measurement of Agricultural Grain Moisture—Theory and Applications. Sensors. 2022; 22(6):2083. https://doi.org/10.3390/s22062083
Chicago/Turabian StyleJones, Scott B., Wenyi Sheng, and Dani Or. 2022. "Dielectric Measurement of Agricultural Grain Moisture—Theory and Applications" Sensors 22, no. 6: 2083. https://doi.org/10.3390/s22062083
APA StyleJones, S. B., Sheng, W., & Or, D. (2022). Dielectric Measurement of Agricultural Grain Moisture—Theory and Applications. Sensors, 22(6), 2083. https://doi.org/10.3390/s22062083

