Improvement of Schottky Contacts of Gallium Oxide (Ga2O3) Nanowires for UV Applications
Abstract
:1. Introduction
2. Materials and Methods
3. Results and Discussion
3.1. Morphology
3.2. Photocurrent and Dark Current Measurements
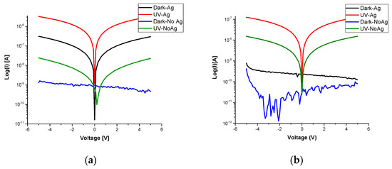
3.2.1. Voltage
3.2.2. Distance between Probes
3.2.3. Film Thickness
3.2.4. Transient Photocurrent
4. Conclusions
Author Contributions
Funding
Institutional Review Board Statement
Informed Consent Statement
Data Availability Statement
Conflicts of Interest
References
- González-Posada, F.; Songmuang, R.; Hertog, M.D.; Monroy, E. Room-temperature photodetection dynamics of single GaN nanowires. Nano Lett. 2012, 12, 172–176. [Google Scholar] [CrossRef] [PubMed]
- Pearton, S.J.; Yang, J.; Cary, P.H., IV; Ren, F.; Kim, J.; Tadjer, M.J.; Mastro, M.A. A review of Ga2O3 materials, processing, and devices. Appl. Phys. Rev. 2018, 5, 011301. [Google Scholar] [CrossRef] [Green Version]
- Kaya, A. β-Ga2O3 films grown via oxidation of GaAs substrates and their device demonstrations. In Proceedings of the Wide Bandgap Power Devices and Applications II SPIE, San Diego, CA, USA, 7–8 August 2017. [Google Scholar]
- Deng, H.; Leedle, K.J.; Miao, Y.; Black, D.S.; Urbanek, K.E.; McNeur, J.; Kozák, M.; Ceballos, A.; Hommelhoff, P.; Solgaard, O.; et al. Gallium oxide for high-power optical applications. Adv. Opt. Mater. 2020, 8, 1901522. [Google Scholar] [CrossRef] [Green Version]
- Weng, S.; Zhao, M.; Jiang, D. Preparation and performance enhancement study of organic ZnO/Au/PEDOT: PSS heterojunction UV photodetector. J. Mater. Sci. Mater. Electron. 2022, 33, 5161–5773. [Google Scholar] [CrossRef]
- Gao, A.; Jiang, W.; Ma, G.; Liu, Z.; Li, S.; Yan, Z.; Sun, W.; Zhang, S.; Tang, W. A self-powered β-Ga2O3/CsCu2I3 heterojunction photodiode responding to deep ultraviolet irradiation. Curr. Appl. Phys. 2022, 33, 20–26. [Google Scholar] [CrossRef]
- Talib, M.; Tripathi, N.; Sharma, P.; Hasan, P.; Melaibari, A.A.; Darwesh, R.; Arsenin, A.V.; Volkov, V.S.; Yakubovsky, D.I.; Kumar, S.; et al. Development of ultra-sensitive broadband photodetector: A detailed study on hidden photodetection-properties of TiS2 nanosheets. J. Mater. Res. Technol. 2021, 14, 1243–1254. [Google Scholar] [CrossRef]
- Alhalaili, B.; Mao, H.; Islam, S. Ga2O3 Nanowire Synthesis and Device Applications; IntechOpen: London, UK, 2018. [Google Scholar]
- Weng, W.Y.; Hsueh, T.J.; Chang, S.J.; Huang, G.J.; Hsueh, H.T. A beta-Ga2O3 solar-blind photodetector prepared by furnace oxidization of GaN thin film. IEEE Sens. J. 2011, 11, 999–1003. [Google Scholar] [CrossRef]
- Mazeina, L.; Perkins, F.K.; Bermudez, V.M.; Arnold, S.P.; Prokes, S.M. Functionalized Ga2O3 nanowires as active material in room temperature capacitance-based gas sensors. Langmuir 2010, 26, 13722–13726. [Google Scholar] [CrossRef]
- Dai, X.; Zhang, S.; Wang, Z.; Adamo, G.; Liu, H.; Huang, Y.; Couteau, C.; Soci, C. GaAs/AlGaAs nanowire photodetector. Nano Lett. 2014, 14, 2688–2693. [Google Scholar] [CrossRef] [Green Version]
- Alhalaili, B.; Bunk, R.J.; Mao, H.; Cansizoglu, H.; Vidu, R.; Woodall, J.; Islam, M.S. Gallium oxide nanowires for UV detection with enhanced growth and material properties. Sci. Rep. 2020, 10, 21434. [Google Scholar] [CrossRef]
- Liu, S.; Reed, S.N.; Higgins, M.J.; Titus, M.S.; Kramer-Bottiglio, R.; Kramer, R. Oxide rupture-induced conductivity in liquid metal nanoparticles by laser and thermal sintering. Nanoscale 2019, 11, 17615–17629. [Google Scholar] [CrossRef] [PubMed]
- Shao, D.; Yu, M.; Sun, H.; Hu, T.; Lian, J.; Sawyer, S. High responsivity, fast ultraviolet photodetector fabricated from ZnO nanoparticle–graphene core–shell structures. Nanoscale 2013, 5, 3664–3667. [Google Scholar] [CrossRef] [PubMed]
- Chen, F.; Johnston, R.L. Plasmonic properties of silver nanoparticles on two substrates. Plasmonics 2009, 4, 147–152. [Google Scholar] [CrossRef]
- Alhalaili, B.; Vidu, R.; Mao, H.; Islam, M.S. Comparative study of growth morphologies of Ga2O3 nanowires on different substrates. Nanomaterials 2020, 10, 1920. [Google Scholar] [CrossRef]
- Alhalaili, B.; Bunk, R.; Vidu, R.; Islam, M.S. Dynamics contributions to the growth mechanism of Ga2O3 thin film and NWS enabled by Ag catalyst. Nanomaterials 2019, 9, 1272. [Google Scholar] [CrossRef] [Green Version]
- Alhalaili, B.; Mao, H.; Dryden, D.M.; Cansizoglu, H.; Bunk, R.J.; Vidu, R.; Woodall, J.; Islam, M.S. Influence of silver as a catalyst on the growth of β- Ga2O3 nanowires on GaAs. Materials 2020, 13, 5377. [Google Scholar] [CrossRef]
- Alhalaili, B.; Vidu, R.; Islam, M.S. The growth of Ga2O3 nanowires on silicon for ultraviolet photodetector. Sensors 2019, 19, 5301. [Google Scholar] [CrossRef] [Green Version]
- Kaya, A.; Dryden, D.M.; Woodall, J.M.; Islam, M.S. Spontaneous delamination via compressive buckling facilitates large-scale β-Ga2O3 thin film transfer from reusable GaAs substrates. Phys. Status Solidi A 2017, 214, 1700102. [Google Scholar] [CrossRef]
- Nguyen, T.D.; Kim, E.T.; Dao, K.A. Ag nanoparticle catalyst based on Ga2O3/GaAs semiconductor nanowire growth by VLS method. J. Mater. Sci.-Mater. Electron. 2015, 26, 8747–8752. [Google Scholar] [CrossRef]
- Smeltzer, W.W.; Tollefson, E.L.; Cambron, A. Adsorption of oxygen by a silver catalyst. Can. J. Chem. 1956, 34, 1046–1060. [Google Scholar] [CrossRef] [Green Version]
- Lindberg, C.; Whiticar, A.; Dick, K.A.; Sköld, N.; Nygård, J.; Bolinsson, J. Silver as seed-particle material for GaAs nanowires—Dictating crystal phase and growth direction by substrate orientation. Nano Lett. 2016, 16, 2181–2188. [Google Scholar] [CrossRef] [PubMed] [Green Version]
- Zinkevich, M.; Aldinger, F. Thermodynamic assessment of the gallium-oxygen system. J. Am. Ceram. Soc. 2004, 87, 683–691. [Google Scholar] [CrossRef]
- Saslow, W.M. (Ed.) Electricity, Magnetism, and Light; Academic Press: San Diego, CA, USA, 2002; pp. 281–335. [Google Scholar]
- Yang, H.-Y.D. Introduction to electromagnetics. In The Electrical Engineering Handbook; Chen, W.-K., Ed.; Academic Press: Burlington, MA, USA, 2005; pp. 477–478. [Google Scholar]






| Material | Ga Only | 5 nm Ag-Ga |
|---|---|---|
| NWs Avg. Length | 5–60 µm | 30–100 µm |
| NWs Avg. Diameter | 300–868 nm | 200 nm–1.00 µm |
| Density of NWs * | Less | High |
| Surface Morphology | Less uniform | Highly uniform |
| Voltage (V) | Current, A | |||
|---|---|---|---|---|
| NoAg-Dark | NoAg-UV | Ag-Dark | Ag-UV | |
| 5 | 8.07 × 10−11 | 1.52 × 10−8 | −1.23 × 10−10 | 1.27 × 10−7 |
| −4.64 × 10−10 | 2.20 × 10−8 | 2.39 × 10−7 | 3.15 × 10−6 | |
| 10 | 1.23 × 10−10 | 3.36 × 10−8 | 5.15 × 10−11 | 2.76 × 10−7 |
| 1.19 × 10−9 | 7.26 × 10−8 | 7.16 × 10−7 | 6.57 × 10−6 | |
| 20 | 3.2 × 10−10 | 8.34 × 10−8 | 4.49 × 10−10 | 6.19 × 10−7 |
| 2.75 × 10−8 | 2.69 × 10−7 | 2.15 × 10−6 | 1.44 × 10−5 | |
| 50 | 1.4 × 10−9 | 2.23 × 10−8 | 5.65 × 10−7 | 4.63 × 10−6 |
| 1.25 × 10−9 | 2.49 × 10−7 | 2.4 × 10−9 | 2.05 × 10−6 | |
| Transient Time | Distance (1 mm) | Distance (3 mm) | ||||
|---|---|---|---|---|---|---|
| 5 V | 10 V | 20 V | 5 V | 10 V | 20 V | |
| Rise Time | 0.3 | 0.3 | 0.34 | 0.37 | 0.47 | 1.6 |
| Fall Time | 1.2 | 1.2 | 1.2 | 0.22 | 0.19 | 0.8 |
| Device Structure | MSM | MSM | GR/oxide/GR | NW Network | MSM | MOS |
|---|---|---|---|---|---|---|
| Fabrication Method | Oxidation | MBE | LMBE | CVD | MOCVD | PECVD |
| Electrode | Cr/Au | Ti/Al | Au | Au | Au/Cr | |
| Light of Detection (nm) | 280–450 | 255 | 254 | 290–340 | 255–260 | 255 |
| IPhoto/IDark | 31.2 | 5.58 × 104 | 82.88 | 50 @ 10V | - | <103 |
| Year | 2022 | 2017 | 2017 | 2016 | 2015 | 2013 |
| Reference | This work | [2] | [3] | [4] | [5] | [6] |
Publisher’s Note: MDPI stays neutral with regard to jurisdictional claims in published maps and institutional affiliations. |
© 2022 by the authors. Licensee MDPI, Basel, Switzerland. This article is an open access article distributed under the terms and conditions of the Creative Commons Attribution (CC BY) license (https://creativecommons.org/licenses/by/4.0/).
Share and Cite
Alhalaili, B.; Al-Duweesh, A.; Popescu, I.N.; Vidu, R.; Vladareanu, L.; Islam, M.S. Improvement of Schottky Contacts of Gallium Oxide (Ga2O3) Nanowires for UV Applications. Sensors 2022, 22, 2048. https://doi.org/10.3390/s22052048
Alhalaili B, Al-Duweesh A, Popescu IN, Vidu R, Vladareanu L, Islam MS. Improvement of Schottky Contacts of Gallium Oxide (Ga2O3) Nanowires for UV Applications. Sensors. 2022; 22(5):2048. https://doi.org/10.3390/s22052048
Chicago/Turabian StyleAlhalaili, Badriyah, Ahmad Al-Duweesh, Ileana Nicoleta Popescu, Ruxandra Vidu, Luige Vladareanu, and M. Saif Islam. 2022. "Improvement of Schottky Contacts of Gallium Oxide (Ga2O3) Nanowires for UV Applications" Sensors 22, no. 5: 2048. https://doi.org/10.3390/s22052048
APA StyleAlhalaili, B., Al-Duweesh, A., Popescu, I. N., Vidu, R., Vladareanu, L., & Islam, M. S. (2022). Improvement of Schottky Contacts of Gallium Oxide (Ga2O3) Nanowires for UV Applications. Sensors, 22(5), 2048. https://doi.org/10.3390/s22052048

