A Novel Prototype for Safe Driving Using Embedded Smart Box System
Abstract
1. Introduction
2. Related Works
2.1. Infrastructure
2.2. Healthcare
2.3. Vehicle
2.4. Smart Transportation Architecture
2.5. Dashboard
2.6. Internet of Things (IoT) Element
3. Smart Driver Architecture
3.1. Wearable Device
3.2. Embedded System
3.3. Communication
3.4. Cloud
3.5. Flowchart of the Smart Driver System
4. Hardware Component of Smart Driver
- GPS Module functions as a GPS receiver that can detect location and process signals from navigation satellites. The GPS module utilizes the time of delivery data as altitude data against the satellites. If we have data from three different satellites, each transmitting position, and altitude data, we will obtain the position where the GPS module is located [46]. The position calculation process uses the concept of trilateration calculation, with different calculation algorithms for each GPS module [47]. The format of latitude and longitude data received by GPS is still in degrees comma minutes (ddmm.mmmm), then the data must be converted to degrees comma degrees (dd.dddd) to obtain latitude and longitude numbers that can be used in google maps;
- Bluetooth is a communication media device that can connect a communication device with other communication devices. The device used is the Arduino Mega 2560 with ATMega328P;
- Global System for Mobile Communication (GSM) is an open telecommunications system, and there is no ownership (non-proprietary) but the copyright owner of a company that is growing rapidly and constantly. The Subscriber Identity Module (SIM) card is an integrated circuit for storing customers’ cellular phone data, such as the user’s identity, location and telephone number, authorization data network, personal security key, contact list, and stored text [48];
- Arduino Mega 2560 is a microcontroller board based on ATMega2560. This module has 54 digital inputs/outputs, including 14 for pulse width modulation (PWM) outputs, and 16 are used as analog inputs, four serial ports, 16 MHz Crystal oscillators, USB connections, power jacks, ICISP Headers, and reset buttons. This device has a flash memory of 256 KB to store programs;
- ATMega 328P is a microcontroller from the Atmel that exhibits a reduced instruction set computer architecture; each data execution process is faster than the completed instruction set computer architecture;
- The vibration motor vibrates when the driver is sleepy;
- A battery provides electricity to ATMega 328P;
- An accelerometer is a transducer sensor that detects and measures changes in acceleration, object orientation, and vibrations, as well as acceleration due to the influence of gravity. The MMA7361 accelerometer sensor has a g-select facility that allows the sensor to work at different sensitivity levels. The internal gain on the sensor will change according to the selected sensitivity level, namely 1.5 g, 2 g, 4 g, or 6 g;
- Heart rate is a sensor that detects the driver’s pulse; the unit of this sensor is beats per minute;
- The IoT Cloud Gateway connects IoT devices and applications (cloud-based) to convey information using the Internet transfer protocol.
5. Results
5.1. Sudden Brake Testing on the Car
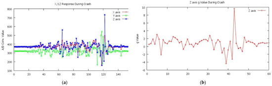
5.2. Collision Testing
- Ten sudden brake tests were carried out;
- Collision from the front and side;
- The test was in a condition where a collision from the side caused the car to roll so that the vehicle tilted 10 times;
5.3. Global Positioning System (GPS) Testing
6. Conclusions
Author Contributions
Funding
Institutional Review Board Statement
Informed Consent Statement
Data Availability Statement
Acknowledgments
Conflicts of Interest
References
- Hassan, R.; Jubair, A.M.; Azmi, K.; Bakar, A. Adaptive congestion control mechanism in CoAP Application Protocol for Internet of Things (IoT). In Proceedings of the 2016 International Conference on Signal Processing and Communication (ICSC), Noida, India, 26–28 December 2016; pp. 121–125. [Google Scholar]
- Celesti, A.; Galletta, A.; Carnevale, L.; Fazio, M.; Lay-Ekuakille, A.; Villari, M. An IoT Cloud System for Traffic Monitoring and Vehicular Accidents Prevention Based on Mobile Sensor Data Processing. IEEE Sens. J. 2018, 18, 4795–4802. [Google Scholar] [CrossRef]
- Khalil, U.; Nasir, A.; Khan, S.; Javid, T.; Raza, S.; Siddiqui, A. Automatic Road Accident Detection Using Ultrasonic Sensor. In Proceedings of the 2018 IEEE 21st International Multi-Topic Conference (INMIC), Karachi, Pakistan, 1–2 November 2018; pp. 206–212. [Google Scholar]
- Priya, E.K.; Manju, P.; Mythra, V.; Umamaheswari, S. IoT Based Vehicle Tracking and Accident Detection System. Int. J. Innov. Res. Comput. Commun. Eng. 2017, 5, 4424–4430. [Google Scholar] [CrossRef]
- Al Wadhahi, N.T.S.; Hussain, S.M.; Yosof, K.M.; Singh, A.V. Accidents Detection and Prevention System to reduce Traffic Hazards using IR Sensors. In Proceedings of the 2018 7th International Conference on Reliability, Infocom Technologies and Optimization (Trends and Future Directions) (ICRITO), Noida, India, 29–31 August 2018; pp. 737–741. [Google Scholar] [CrossRef]
- Tanvir, R.; Habib, N.Z.; Walker, G.H. A Qualitative Investigation of Professional Driver Behavior Due to Socio-Economic, Cultural, Religious Factors and Its Impact on Dubai Road Safety. In Proceedings of the International Conference on Applied Human Factors and Ergonomics, Orlando, FL, USA, 22–26 July 2018; pp. 764–775. [Google Scholar] [CrossRef]
- Ma, Y.; Chen, B.; Li, R.; Wang, C.; Wang, J.; She, Q.; Luo, Z.; Zhang, Y. Driving Fatigue Detection from EEG Using a Modified PCANet Method. Comput. Intell. Neurosci. 2019, 2019, 4721863. [Google Scholar] [CrossRef] [PubMed]
- Prithvi, P.S.; Rajeswari Devi, R.; Yogapriya, N.; Narayanan, S. IoT Based Wearable Device Monitoring Driver’s Stress. Fatigue Drowsiness 2019, 10, 1218–1224. [Google Scholar]
- Budak, U.; Bajaj, V.; Akbulut, Y.; Atilla, O.; Sengur, A. An Effective Hybrid Model for EEG-Based Drowsiness Detection. IEEE Sens. J. 2019, 19, 7624–7631. [Google Scholar] [CrossRef]
- Taran, S.; Bajaj, V. Drowsiness Detection Using Adaptive Hermite Decomposition and Extreme Learning Machine for Electroencephalogram Signals. IEEE Sens. J. 2018, 18, 8855–8862. [Google Scholar] [CrossRef]
- Lee, B.G.; Park, J.-H.; Pu, C.C.; Chung, W.-Y. Smartwatch-Based Driver Vigilance Indicator with Kernel-Fuzzy-C-Means-Wavelet Method. IEEE Sens. J. 2015, 16, 242–253. [Google Scholar] [CrossRef]
- Tarane, K.; Fredrick, J.; Gaur, G.; Aruna, R.; Dhanalakshmi, Y. Heart Rate Variability among Long Distance Bus Drivers after a Night Shift. Int. J. Physiol. 2019, 7, 50. [Google Scholar] [CrossRef]
- Choi, M.; Koo, G.; Seo, M.; Kim, S.W. Wearable Device-Based System to Monitor a Driver’s Stress, Fatigue, and Drowsiness. IEEE Trans. Instrum. Meas. 2018, 67, 634–645. [Google Scholar] [CrossRef]
- Lee, B.-G.; Chung, W.-Y.; Lee, B.-L. Smartwatch-based driver alertness monitoring with wearable motion and physiological sensor. In Proceedings of the 2015 37th Annual International Conference of the IEEE Engineering in Medicine and Biology Society (EMBC), Milan, Italy, 25–29 August 2015; pp. 6126–6129. [Google Scholar] [CrossRef]
- Boon-Leng, L.; Dae-Seok, L.; Boon-Giin, L. Mobile-based wearable-type of driver fatigue detection by GSR and EMG. In Proceedings of the TENCON 2015—2015 IEEE Region 10 Conference, Macao, China, 1–4 November 2015. [Google Scholar] [CrossRef]
- Li, G.; Chung, W.-Y. Combined EEG-Gyroscope-tDCS Brain Machine Interface System for Early Management of Driver Drowsiness. IEEE Trans. Hum.-Mach. Syst. 2017, 48, 50–62. [Google Scholar] [CrossRef]
- Mashru, D.; Gandhi, V. Detection of a Drowsy state of the Driver on road using wearable sensors: A survey. In Proceedings of the 2018 Second International Conference on Inventive Communication and Computational Technologies (ICICCT), Coimbatore, India, 20–21 April 2018; pp. 691–695. [Google Scholar] [CrossRef]
- He, J.; Choi, W.; Yang, Y.; Lu, J.; Wu, X.; Peng, K. Detection of driver drowsiness using wearable devices: A feasibility study of the proximity sensor. Appl. Ergon. 2017, 65, 473–480. [Google Scholar] [CrossRef] [PubMed]
- Li, G.; Lee, B.-L.; Chung, W.-Y. Smartwatch-Based Wearable EEG System for Driver Drowsiness Detection. IEEE Sens. J. 2015, 15, 7169–7180. [Google Scholar] [CrossRef]
- Dupley, W. Choosing the Correct Infrastructure for Your IoT Service. 2019. Available online: https://www.futurithmic.com/2019/03/20/choosing-correct-infrastructure-for-your-iot-service/ (accessed on 20 March 2019).
- Senthilkumar, S.; Brindha, K.; Charanya, R.; Kumar, A. Patients Health Monitoring System Using IOT. Indian J. Public Health Res. Dev. 2019, 10, 252. [Google Scholar] [CrossRef]
- Jassas, M.S.; Qasem, A.A.; Mahmoud, Q.H. A smart system connecting e-health sensors and the cloud. In Proceedings of the 2015 IEEE 28th Canadian Conference on Electrical and Computer Engineering (CCECE), Halifax, NS, Canada, 3–6 May 2015; pp. 712–716. [Google Scholar] [CrossRef]
- Anilkumar, C.V.; Ahmed, M.; Sahana, R.; Thejashwini, R.; Anisha, P.S. Design of drowsiness, heart beat detection system and alertness indicator for driver safety. In Proceedings of the 2016 IEEE International Conference on Recent Trends in Electronics, Information & Communication Technology (RTEICT), Bangalore, India, 20–21 May 2016; pp. 937–941. [Google Scholar]
- Hussain, S.A.; Yusof, K.M.; Singh, A.V. A Review of Quality of Service Issues in Internet of Vehicles (IoV). In Proceedings of the 2019 Amity International Conference on Artificial Intelligence (AICAI), Dubai, United Arab Emirates, 4–6 February 2019; pp. 380–383. [Google Scholar] [CrossRef]
- Al-Mayouf, Y.R.B.; Mahdi, O.A.; Taha, N.A.; Abdullah, N.F.; Khan, S.; Alam, M. Accident Management System Based on Vehicular Network for an Intelligent Transportation System in Urban Environments. J. Adv. Transp. 2018, 2018, 6168981. [Google Scholar] [CrossRef]
- Lin, J.; Niu, J.; Li, H.; Atiquzzaman, M. A Secure and Efficient Location-based Service Scheme for Smart Transportation. Futur. Gener. Comput. Syst. 2019, 92, 694–704. [Google Scholar] [CrossRef]
- Murad, D.F.; Abbas, B.S.; Trisetyarso, A.; Suparta, W.; Kang, C.-H. Development of smart public transportation system in Jakarta city based on integrated IoT platform. In Proceedings of the 2018 International Conference on Information and Communications Technology (ICOIACT), Yogyakarta, Indonesia, 6–7 March 2018; pp. 872–878. [Google Scholar] [CrossRef]
- Matheus, R.; Janssen, M.; Maheshwari, D. Data science empowering the public: Data-driven dashboards for transparent and accountable decision-making in smart cities. Gov. Inf. Q. 2020, 37, 101284. [Google Scholar] [CrossRef]
- Outay, F.; Kamoun, F.; Yasar, A.; Shakshuki, E.; El-Amine, S. ConVeh: Driving Safely into a Connected Future. Procedia Comput. Sci. 2017, 113, 460–465. [Google Scholar] [CrossRef]
- Hassan, R.; Salek, S.; Hasan, M.K.; Lam, M.C.; Hussain, W.M.H.W. Mobile User Perception Factors for Express Bus Safety Journey Management System: A Survey Analysis. Int. J. Adv. Sci. Eng. Inf. Technol. 2018, 8, 1803–1809. [Google Scholar] [CrossRef]
- NEO-6 u-blox GPS Modules Data Sheet. Switzerland. 2017. Available online: https://www.u-blox.com/sites/default/files/products/documents/NEO-6_DataSheet_(GPS.G6-HW-09005).pdf (accessed on 24 December 2021).
- Ogura Industrial. EM Hysteresis Clutch; no. 732; Ogura Industrial: Somerset, NJ, USA, 2020. [Google Scholar]
- Maskrey, K. SIM900A_HD_V1.01; Shanghai SIMCom Wireless Solutions Ltd.: Shanghai, China, 2010. [Google Scholar]
- Atmel. Inspiring Smart and Secure Connected Designs; Atmel Corporation: San Jose, CA, USA, 2015; Volume 11. [Google Scholar]
- Diagram, C.; Configuration, P.; Ratings, E. MMA7361 3-Axis Accelerometer Module Table of Contents: Circuit Diagram; Apex Electric, LLC: Brookshire, TX, USA, 2013. [Google Scholar]
- InvenSense. MPU-9250, 1.1; no. 408; InvenSense: San Jose, CA, USA, 2016. [Google Scholar]
- Wave, S. AXIS50, 1st ed.; Axtal: Lobbach, Germany, 2014; Volume 1. [Google Scholar]
- Sensor, P.; To, E.; Heart, U.S.E.; Sensor, R. Pulse Sensor; World Famous Electronics LLC: New York, NY, USA, 2020. [Google Scholar]
- Aishwarya, S.R.; Rai, A.; Prasanth, M.A.; Savitha, S.C. An IoT Based Accident Prevention & Tracking System for Night Drivers. Int. J. Innov. Res. Comput. Commun. Eng. 2015, 3, 3493–3499. [Google Scholar]
- Faieq, S.; Saidi, R.; Elghazi, H.; Rahmani, M.D. C2IoT: A framework for Cloud-based Context-aware Internet of Things services for smart cities. Procedia Comput. Sci. 2017, 110, 151–158. [Google Scholar] [CrossRef]
- Ahmed, A.S.; Hassan, R.; Ali, Z.M. Eliminate spoofing threat in IPv6 tunnel. In Proceedings of the ICIDT 2012, 8th International Conference on Information Science and Digital Content Technology, Jeju Island, Korea, 26–28 June 2012; Volume 1, pp. 218–222. [Google Scholar]
- Hassan, R.; Ahmed, A.S.; Osman, N.E. Enhancing security for IPv6 neighbor discovery protocol using cryptography. Am. J. Appl. Sci. 2014, 11, 1472–1479. [Google Scholar] [CrossRef][Green Version]
- Hassan, S.S.; Hassan, R. IPv6 Network Mobility Route Optimization Survey. Am. J. Appl. Sci. 2011, 8, 579–583. [Google Scholar] [CrossRef]
- Ahmed, A.S.A.M.S.; Hassan, R.; Othman, N.E. IPv6 Neighbor Discovery Protocol Specifications, Threats and Countermeasures: A Survey. IEEE Access 2017, 5, 18187–18210. [Google Scholar] [CrossRef]
- State of Vermon. Safe Routes to School (SRTS). 2021. Available online: https://saferoutes.vermont.gov/ (accessed on 24 December 2021).
- Santerre, R.; Geiger, A. Geometry of GPS relative positioning. GPS Solut. 2018, 22, 50. [Google Scholar] [CrossRef]
- SIMCom. SIM800L_Hardware_Design_V1.00; SIMCom Limited: Shanghai, China, 2013. [Google Scholar]
- Kurian, D.; Joseph, P.L.J.; Radhakrishnan, K.; Balakrishnan, A.A. Drowsiness detection using photoplethysmography signal. In Proceedings of the 2014 Fourth International Conference on Advances in Computing and Communications, Cochin, India, 27–29 August 2014. [Google Scholar] [CrossRef]
- Google. (n.d.-a) Google Maps Directions to Drive from Universitas Islam Syekh Yusuf to Eiger Serpong. Available online: https://goo.gl/maps/dUBcs6c1GeJ3ANod6 (accessed on 23 December 2021).










| Ref. | Sensor | Connectivity |
|---|---|---|
| [11] | sensor, ecg sensor | 1 and 2 |
| [12] | eeg, ecg, hrv, eog | 1 and 2 |
| [13] | ppg, gsr, temp, accel, gyro | 1 and 2 |
| [14] | ppg, pgrx, tri-axis accelerometer, gyroscope | 2 |
| [15] | emg, gsr | 2 |
| [8] | heartbeat sensor, blink sensor, eeg, ecg, eog | 1, |
| [16] | eeg, gyroscope | 1 and 2 |
| [17] | bio harness, steering sensor, eeg, ecg, emg | 1 and 2 |
| [18] | eye-tracking, accelerometer, eeg, heart rate, respiration rate, galvanic skin response, driving dynamics, proximity sensor | 1 and 2 |
| [19] | EEG | 1 and 2 |
| Condition | Heartbeat |
|---|---|
| Normal | 60 ≤ heartbeat ≤ 100 |
| Abnormal | heartbeat < 60 AND heartbeat > 100 |
| Components | Connectivity |
|---|---|
| Gps gy-neo6mv2 | Module to detect locations based on satellite navigation signals |
| Module Bluetooth hc-05 | A module that functions for full-duplex communication |
| SIM900A Module GSM/GPRS | Module for communicating using GSM phone network |
| Arduino Mega 2560 | Microcontroller board based on Atmega 2560 |
| Atmega 328P | Microchip technology microcontroller |
| DC 9A 300w Dcstep-down 7–40V to 1–35V CCCV | Converter to reduce DC power from 7–40V to 1–35V |
| MMA7361(Accelerometer) | A sensor used to measure the acceleration of an object |
| Gy-91MPU9250BMP280 10DOF | Multi-sensor module, which has nine motion detection axes. This small module uses the MPU9250 chipset, which is also planted with three-axis Gyro, three-axis Accelerometer, Digital Compass, and BMP280 |
| Gy50L3G4200D3-Axis Digital gyrosensor module | Angular speed sensor board containing a 3-axis gyroscope, which provides measurements of 16-bit resolution up to 2000 dps, gyroscope measures how much the device rotates around the three axes |
| Heart rate sensor | This sensor can detect the heartbeats per minute |
| Number | Y-Axis Peak | Y-Axis g Value | Z-Axis Peak | Z-Axis g Value | Status |
|---|---|---|---|---|---|
| 1 | 643 | 7.46 | 706 | 9.00 | Accident |
| 2 | 496 | 3.87 | 634 | 7.24 | Accident |
| 3 | 474 | 3.33 | 682 | 8.41 | Accident |
| 4 | 602 | 6.46 | 503 | 4.04 | Accident |
| 5 | 458 | 2.94 | 709 | 9.07 | Accident |
| 6 | 709 | 9.07 | 497 | 3.89 | Accident |
| 7 | 604 | 6.51 | 642 | 7.43 | Accident |
| 8 | 700 | 8.85 | 593 | 6.24 | Accident |
| 9 | 421 | 2.03 | 695 | 8.73 | Accident |
| 10 | 708 | 9.05 | 535 | 4.82 | Accident |
| 1 | 2 | Status |
|---|---|---|
| 494 | 383 | Violation from the side |
| 538 | 490 | Violation from the side |
| 460 | 299 | Violation from the side |
| 745 | 996 | Accident |
| 503 | 404 | Violation from the side |
| 732 | 962 | Accident |
| 739 | 980 | Accident |
| 620 | 685 | Accident |
| 634 | 725 | Accident |
| 483 | 380 | Violation from the side |
| No | Result from Smartphone | Result from GPS Modul | Deviation (Meter) | ||
|---|---|---|---|---|---|
| Latitude | Longitude | Latitude | Longitude | ||
| 1 | 6.1899208 | 106.6362118 | 6.1899204 | 106.6362111 | 3 |
| 2 | –6.1942012 | 106.6334934 | –6.1942006 | 106.6334940 | 4 |
| 3 | –6.1937332 | 106.6354367 | –6.1937330 | 106.6354360 | 5 |
| 4 | –6.1944922 | 106.5960114 | –6.1944920 | 106.5960111 | 1 |
| 5 | –6.2050088 | 106.6388634 | –6.2050082 | 106.6388624 | 4 |
| 6 | –6.2145531 | 106.628502 | –6.2145530 | 106.628512 | 9 |
| 7 | –6.2226824 | 106.6316815 | –6.2226820 | 106.6316805 | 4 |
| 8 | –6.2473944 | 106.6425258 | –6.2473940 | 106.6425250 | 4 |
| 9 | –6.2337492 | 106.6397589 | –6.2337490 | 106.6397585 | 3 |
| 10 | –6.2547462 | 106.6451515 | –6.2547458 | 106.6451510 | 1 |
| Drivers | Normal | Drowsy | Sleep |
|---|---|---|---|
| 1 | 76 | 63 | 59 |
| 2 | 84 | 77 | 72 |
| 3 | 82 | 62 | 58 |
| 4 | 72 | 63 | 61 |
| 5 | 82 | 75 | 66 |
| 6 | 74 | 67 | 61 |
| 7 | 88 | 82 | 77 |
| Average | 79.71 | 69.85 | 64.86 |
| Drivers | Normal |
|---|---|
| 1 | 60.26 |
| 2 | 69.50 |
| 3 | 66.35 |
Publisher’s Note: MDPI stays neutral with regard to jurisdictional claims in published maps and institutional affiliations. |
© 2022 by the authors. Licensee MDPI, Basel, Switzerland. This article is an open access article distributed under the terms and conditions of the Creative Commons Attribution (CC BY) license (https://creativecommons.org/licenses/by/4.0/).
Share and Cite
Irsan, M.; Hassan, R.; Hasan, M.K.; Lam, M.C.; Hussain, W.M.H.W.; Ibrahim, A.H.; Ahmed, A.S.A.M.S. A Novel Prototype for Safe Driving Using Embedded Smart Box System. Sensors 2022, 22, 1907. https://doi.org/10.3390/s22051907
Irsan M, Hassan R, Hasan MK, Lam MC, Hussain WMHW, Ibrahim AH, Ahmed ASAMS. A Novel Prototype for Safe Driving Using Embedded Smart Box System. Sensors. 2022; 22(5):1907. https://doi.org/10.3390/s22051907
Chicago/Turabian StyleIrsan, Muhamad, Rosilah Hassan, Mohammad Khatim Hasan, Meng Chun Lam, Wan Mohd Hirwani Wan Hussain, Anwar Hassan Ibrahim, and Amjed Sid Ahmed Mohamed Sid Ahmed. 2022. "A Novel Prototype for Safe Driving Using Embedded Smart Box System" Sensors 22, no. 5: 1907. https://doi.org/10.3390/s22051907
APA StyleIrsan, M., Hassan, R., Hasan, M. K., Lam, M. C., Hussain, W. M. H. W., Ibrahim, A. H., & Ahmed, A. S. A. M. S. (2022). A Novel Prototype for Safe Driving Using Embedded Smart Box System. Sensors, 22(5), 1907. https://doi.org/10.3390/s22051907

