Abstract
The stepped-frequency (SF) waveform is highly sensitive to the target motion, which induces range shift and echo spread in a high-range-resolution profile (HRRP). This paper proposes a method based on a cross-transmitted double-stepped frequency (DSF) waveform and the phase-cancellation technique. The proposed method obtains the stationary HRRP of the moving targets according to the inverse discrete Fourier transform (IDFT) and complex multiplication. The results also show that the proposed method eliminates the generated false peaks from the existing methods. As a result, the obtained signal-to-noise ratio (SNR) of the HRRP using the proposed method is improved. Due to the cross-transmitted DSF waveform application, the proposed method adapts to higher speed targets. The analysis and simulation results validate the effectiveness of the proposed approach.
1. Introduction
Generally, the range resolution depends on the bandwidth of a radar. Owing to hardware limitations, it is difficult to directly generate real-time large-bandwidth signals. There are two techniques used for obtaining large bandwidth signals, including the de-chirping technique (DT) [1] and the synthetic bandwidth technique (SBT). The DT effectively reduces the signal bandwidth before sampling when the swath is narrow. However, for a wide swath, it is invalid. Moreover, the SBT divides the broadband signal into several narrow-band signals for transmitting and receiving to synthesize the whole bandwidth based on signal processing techniques after sampling all the narrow-band signals. The stepped-frequency (SF) waveform [2] is a typical example of a waveform that applies to SBT. In fact, it transmits a series of narrow-band pulses, which are stepped in frequency from pulse to pulse and form a burst that covers a wide bandwidth. The high range resolution profile (HRRP) is obtained by applying inverse discrete Fourier transform (IDFT) to the echoes of the SF waveform. Due to their ability in project realization and high-range-resolution performance, the SF waveforms are widely used in remote sensing, such as synthetic aperture radar (SAR) [3], inverse SAR [4], ground penetrating radar [5], through-wall imaging radar [6], and weather radar [7].
It is demonstrated that the SF radar can realize target detection, tracking, imaging, and recongnition [8]. However, the SF waveforms are highly sensitive to the target’s motion. The target’s radial velocity generates two motion-induced phase terms in echoes, linear phase term (LPT), and quadratic phase term (QPT). These phase terms lead to range shift and echo spread in HRRP, respectively [9]. Therefore, target motion requires compensation before generating the HRRP in the SF radar system. There are two main categories of motion compensation in the SF waveform, i.e., the parametric and non-parametric methods.
In parametric methods, the HRRP of the moving-target is generated after performing precise velocity compensation for echoes. Therefore, velocity estimation forms the base of parametric methods. As mentioned above, the QPT caused by the target’s velocity leads to echo spread in HRRP. The degree of echo spread can be represented by waveform entropy [10]. The higher the target speed, the worse the echo spread in HRRP, and the value of the waveform entropy is bigger. If the QPT is compensated for by the actual velocity, the range profile is perfectly focused, and then the waveform entropy is minimized. Considering the waveform entropy of the range-profile after speed compensation as an objective function, the process of searching the waveform with minimum entropy can be used to estimate the target velocity. Similarly, minimum image contrast [11,12], nonlinear least squares [13], and maximum likelihood [14] can also be applied as objective functions to the velocity estimation. The aforementioned methods search for the optimal velocity based on an iterative process. Therefore, the good performance of these methods is obtained at the cost of higher computational complexity. In [15], a DSF waveform comprising positive and negative SF waveforms is designed. By multiplying the echoes between the adjacent coherent pulse intervals (CPIs) and applying IDFT, the target velocity is estimated. However, it is noteworthy that the cross-phase terms introduced by the extended target containing multiple scattering points are not considered in this method. These cross-phase terms reduce the signal-to-noise ratio (SNR) of HRRP. As a result, this method is not suitable for extended targets. The phase-derived velocity measurement (PDVM) is presented in [16,17]. The velocity of a target can be estimated by combining PDVM and wide envelope velocity measurement (WEVM) via the adjacent CPIs. However, the highly accurate results require noncoherent accumulation in multiple CPIs based on a smoothing filter, which makes the process time-consuming.
The non-parametric methods are based on the phase-cancellation technique (PCT). The parameters of the SF waveform in these methods are elaborately designed in advance. Complex multiplication can partially or completely eliminate the motion-induced phase terms, and then the HRRP can be obtained directly by applying IDFT. In [18], a new DSF waveform is designed containing two sequentially transmitted SF waveforms. Each SF waveform’s pulse repetition time (PRT) varies according to the pulse serial number. The QPT can be effectively eliminated based on the PCT presented in [18]. However, it is not possible to eliminate LPT. Another DSF waveform presented in [19] contains two sequentially transmitted SF waveforms. The PRT of the second SF waveform is twice that of the first waveform. The other parameters of these two waveforms are the same. The QPT and LPT can be eliminated simultaneously via a similar PCT. According to [19], since this method only uses IDFT and complex multiplication, it has low computational complexity. In addition, it is easy to generate this DSF waveform. However, due to the intrinsic property of this sequentially transmitted DSF waveform, the method presented in [19] is not suitable for high-speed moving targets. Moreover, false peaks appear in HRRP with the SNR reduction using the presented PCT in [18,19].
Considering the aforementioned factors, this work proposes a novel method for generating the stationary HRRP of high-speed moving targets by applying a new PCT based on the cross-transmitted DSF waveform. The main contributions of this research are summarized below:
- A cross-transmitted DSF waveform consisting of two SF waveforms is designed in this paper. Compared to the sequentially transmitted DSF waveform in [19], since the pulses in these two SF waveforms are transmitted alternately, this cross-transmitted DSF waveform is more suitable for high-speed targets than the sequentially transmitted DSF waveform. Additionally, the reason is analyzed in detail;
- A new PCT is also presented, which realizes the elimination of LPT and QPT simultaneously. Compared to the existing PCT in [19], the new PCT performs better under low SNR conditions. Moreover, there is no false peak generated by using the new PCT.
2. Influence of Target’s Velocity in HRRP
The normal SF waveform is shown in Figure 1. The transmitted signal of this SF waveform radar is mathematically expressed as:
where N denotes the number of pulses in a burst, represents the pulse width, indicates the PRT, denotes the transmitting frequency of the nth pulse, expresses the initial carrier frequency, represents the frequency step, and is the initial phase. Assuming that one extended target has Q scattering points, the nth baseband signal of a burst after frequency mixing can be expressed as follows:
where represents the echo amplitude of the qth scattering point. The initial range between the qth scattering point and the radar is and the target’s velocity is . The round-trip delay of the qth scattering point is mathematically presented as follows:
where c denotes the speed of light. This paper uses oversampling and the iso-range local-maximum pick-up algorithm [20] to reduce the sampling loss and promote echo SNR. Assuming that denotes the sampling period, denotes the sampling number of one pulse. Suppose that the target does not move to other sampling cells during the repetition interval of the SF waveform and the target is in the mth sampling cell, the following echo signal is derived by substituting (3) into (2):
where , , , , , .
Figure 1.
Scenario of a moving target in normal SF radar.
If , applying IDFT to (4), the HRRP of the target can be obtained.
where , , expresses the synthetic bandwidth, and denotes the range resolution cell of HRRP. does not influence the amplitude of HRRP. Considering , where , attains the maximum value. Therefore, the range of the qth scattering point is calculated as follows:
where is determined by the position of the sampling cell.
Then, (7) can be regarded as a linear frequency modulation (LFM) signal with respect to . Additionally, is center frequency, is the slope of the LFM, and is the bandwidth. Applying IDFT to (4) can be thought of as analogous to applying DFT to (7). In this LFM signal, the sampling period is , so the frequency resolution is . The spectrum of r will spread out around . and are the functions of . The shift of induced by is equal to the range shift caused by LPT in HRRP, and the spreading out of induced by corresponds to echo spread caused by QPT in HRRP. The influences of LPT and QPT can be eliminated by motion compensation. To ensure the quality of the moving target’s HRRP, the shift of and the spreading out of should be both less than frequency resolution after motion compensation.
where and represent compensation precision for LPT and QPT, respectively.
where is the period of the SF waveform. is times the value of . In general, is much larger than B. So, the compensation precision for LPT is much higher than the compensation precision for QPT. is related to and . Usually, the dimension of is milliseconds, and, for millimeter-wave radars, the dimension of may be meters per second, which means the SF waveform is highly sensitive to the target’s motion. The listed waveform parameter set 1 in Table 1 is substituted in (10), where and are m/s and m/s, respectively.
Table 1.
The parameter sets of DSF waveforms.
The methods based on DSF wavefrom and PCT can generate stationary HRRP of moving targets. It can simultaneously eliminate LPT and QPT without velocity estimation and compensation.
3. The Disadvantages of the Sequentially Transmitted DSF Wavform and the Existing PCT
The sequentially transmitted DSF waveform in [19] is shown in Figure 2b. Obviously, the sequentially transmitted DSF waveform contains two normal SF waveforms. The parameters of these two SF waveforms are the same except for the PRT. This signal can be mathematically expressed as:
Figure 2.
Normal SF, sequentially transmitted DSF, and cross-transmitted DSF waveforms. (a) Normal SF waveform. (b) Sequentially transmitted DSF waveform. (c) Cross-transmitted DSF waveform.
After frequency mixing and sampling, it is assumed that . Then, the nth baseband signals of echo are derived as follows:
where and . The existing PCT presented in [18,19] is expressed as:
Substituting (12) into (13) and applying IDFT, the corresponding result is derived:
where and . In order to ensure the quality of HRRP, should be less than [9]. The maximum speed of the target is computed as:
If the velocity is less than , the can be ignored. Then, (14) is similar to (5), which means the stationary HRRP of moving targes is obtained. Nevertheless, comparing (10) to (15), is only twice the maximum value of , which means sequentially transmitted DSF waveform is not suitable for high-speed targets.
Adding the complex white Gaussian noise in the echo signal, the following equations are obtained:
where and denote the complex white Gaussian noise samples, which are independent of each other. Substituting (17) into (13), the result is derived:
As the two samples of complex white Gaussian noise are independent, is generally not equal to . Moreover, when the SNR is reduced, and are approximately equal to and , respectively, with some probability. In this case, is approximately equal to zero, and the amplitude of will be an extremum. These extremums generated by using the existing PCT are considered as impulse signals in the frequency domain and can be interpreted as DC signals in the time domain after applying IDFT. These DC signals generate false peaks after range profile splicing [20], which reduces the output SNR and influences target detection.
This paper presents a new method for generating stationary HRRP of moving targets. Applying cross-transmitted DSF waveform, the proposed method can adapt to high-speed targets. Additionally, the false peaks no longer appear by using the new PCT.
4. The Proposed Method for High-Speed Moving Targets
4.1. Signal Model of DSF Waveform
The designed cross-transmitted DSF waveform is shown in Figure 2c. This DSF waveform also contains two SF waveforms, but the pulses in these two SF waveforms are transmitted alternately. The transmitted signal of this cross-transmitted DSF waveform radar is mathematically expressed as:
In this paper, is twice the value of . The nth baseband signals of echo can be expressed as follows:
4.2. New Phase-Cancellation Technique
The new PCT is expressed as:
where denotes the conjugate operation. Assuming , (23) can be rewritten as follows:
By substituting (25) into (24), the following equation is produced as (for a detailed derivation of (26), please refer to Appendix A):
Applying IDFT to (26), the next equation is generated.
where , , . does not influence the amplitude of HRRP. represents the residual term of LPT. In this paper, it is supposed that the target does not move to the other sampling cells during the repetition interval of the DSF waveform. Thus, the range migration [16,21] can be ignored. The maximum speed of the target is calculated as follows:
Now, substituting (28) in , the result will be:
The design of the system parameters usually satisfies and , which means that the residual term can be ignored [9].
Finally, the stationary HRRP of the moving target is obtained as follows:
4.3. The Superiority of the Proposed Method
Compared to (15) to (28), the ratio of to is derived as follows:
where is the sampling frequency. In SF radars, B is much bigger than . So, is times the value of . The listed waveform parameter sets in Table 1 are substituted in (31), where the ratio is 15 and , respectively. This means that the cross-transmitted DSF waveform is more suitable for high-speed targets than the sequentially transmitted DSF waveform.
5. Simulations
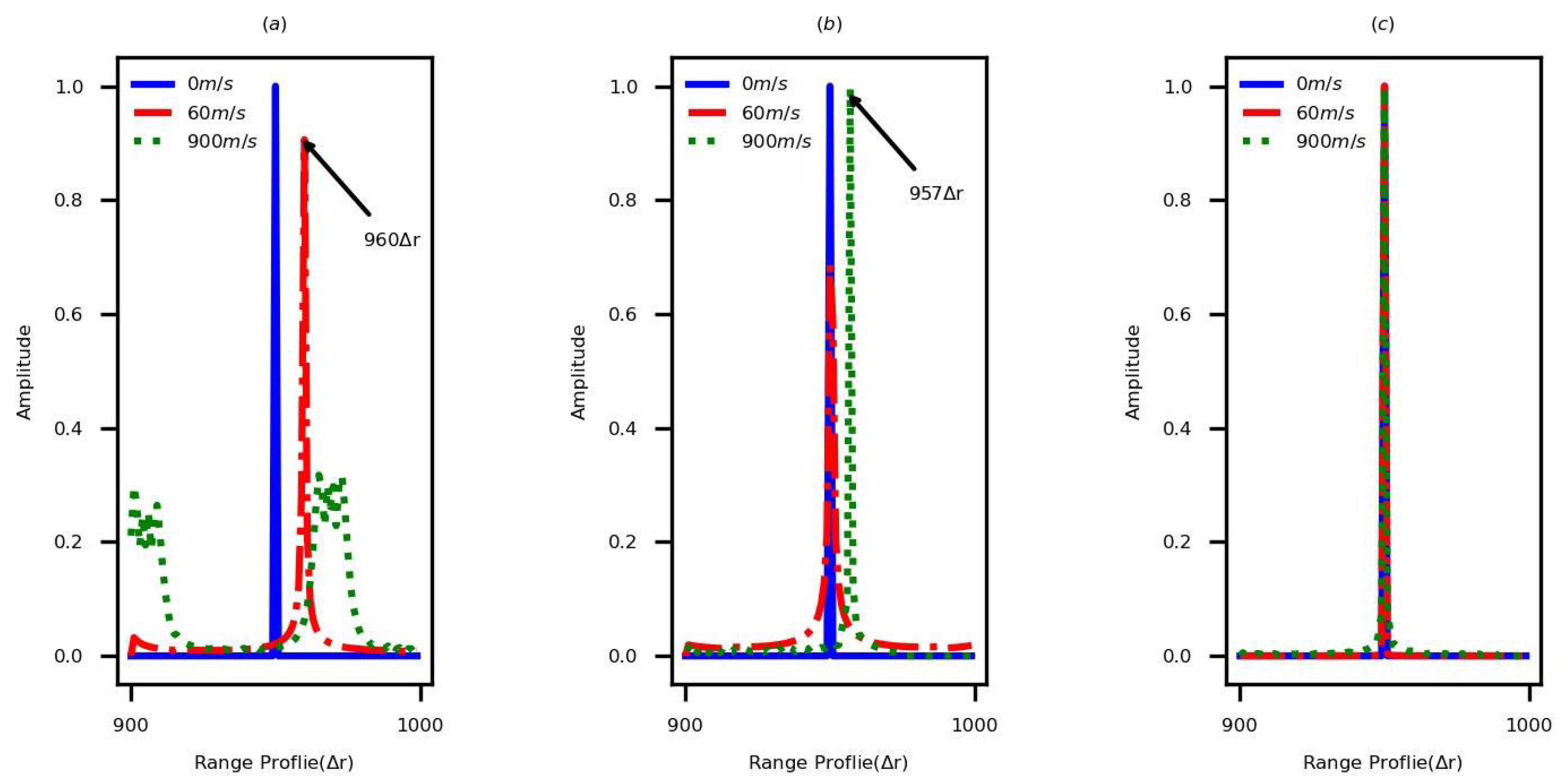
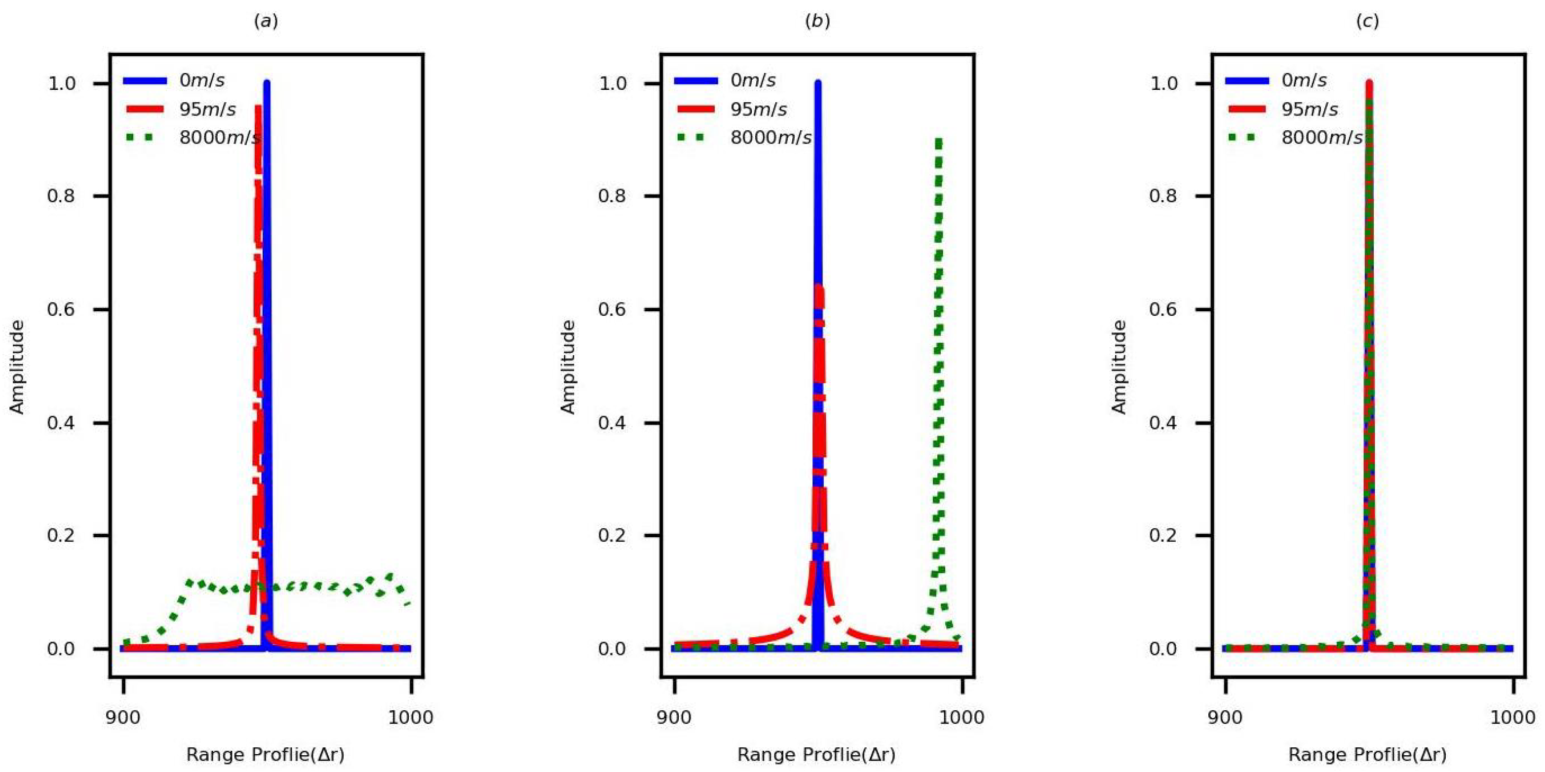
The simulations are performed to compare the quality of HRRP by using the nornal SF and the sequentially transmitted and cross-transmitted DSF waveforms, respectively. The parameter sets of DSF waveforms are listed in Table 1. A single-scattering-point target without noise is considered in simulations. The initial range of this target is , and the values of velocity are 0 m/s, 60 m/s, and 900 m/s, respectively. Figure 3 shows the generated HRRPs by applying the parameter set 1. Figure 3a shows the HRRPs generated by using the normal SF. If the target is static, the HRRP of the target can be obtained accurately. However, the velocity of the moving target leads range shift and echo spread in HRRP. When the velocity is 60 m/s, the range shift is approximately 54, and it displays 10 after folding. When the velocity is 900 m/s, the echo spread in HRRP is serious. Figure 3b shows the generated HRRPs by using the sequentially transmitted waveform and the existing PCT, and when the velocity is less than ( m/s), the existing method eliminates LPT and QPT effectively. In contrast, when the velocity is greater than , the LPT still exists. Substituting m/s in , would be , which is roughly equal to 7 and matches the range shift presented in Figure 3b. Figure 3c denotes the generated HRRPs by using the cross-transmitted DSF waveform and the new PCT, when the velocity is less than ( m/s). In this case, the LPT and QPT are eliminated completely. The same phenomenon occurs by applying the parameter set 2, which is shown in Figure 4.
Figure 3.
The HRRPs of the single-scattering-point target generated by the normal SF and the sequentially transmitted and cross-transmitted DSF waveforms in different velocities, based on the parameter set 1. (a) Normal SF. (b) Sequentially transmitted DSF waveform. (c) Cross-transmitted DSF waveform.
Figure 4.
The HRRPs of the single-scattering-point target generated by the normal SF and the sequentially transmitted and cross-transmitted DSF waveforms in different velocities, based on the parameter set 2. (a) Normal SF. (b) Sequentially transmitted DSF waveform. (c) Cross-transmitted DSF waveform.
In the next step, the simulations are performed to compare the performance of the existing and proposed PCTs. To simplify the analysis, a single-scattering-point target with different input SNRs is used in simulations. The initial range of this target is . As the velocity is 60 m/s, the LPT and QPT are eliminated by both PCTs. The performed simulations applying different parameter sets are shown in Figure 5. The existing PCT and the proposed PCT are represented by and , respectively. As can be seen, there are many false peaks in the generated HRRP using , while only one true peak appears in the proposed method.
Figure 5.
The HRRPs of the single-scattering-point target generated by the existing and the proposed PCTs based on different parameter sets. (a) Applying the parameter set 1. (b) Applying the parameter set 2.
This paper gives a detailed analysis of Figure 5a. As mentioned in Section 3, the extremums are generated when the existing PCT is applied, as shown in Figure 6a. After performing IDFT, these extremums become DC signals, as presented in Figure 6b. It should be noted that the false peaks appear after the range profile splicing [20] using the data matrix presented in Figure 6b. Figure 6c presents the obtained generated data matrix by the proposed PCT from the echo data before applying IDFT, and the result after applying the IDFT is shown in Figure 6d. The moving target is presented in Figure 6d without false peaks.
Figure 6.
The generated data matrix by the existing method and the proposed method from the echo data based on parameter set 1. (a) The obtained data matrix using the existing PCT before applying IDFT. (b) The obtained data matrix using the existing PCT after applying IDFT. (c) The obtained data matrix using the proposed PCT before applying IDFT. (d) The obtained data matrix using the proposed PCT after applying IDFT.
Considering the different values of SNR, 100 simulations are performed based on and by using the parameter set 1. The SNRs of HRRP are compared in Figure 7. Figure 7a,b present the mean and variance of SNRs, respectively. As presented in Figure 7, the obtained mean of HRRP’s SNR using is greater than the obtained SNR using . Moreover, the variance of HRRP’s SNR obtained using is more stable than that obtained using .
Figure 7.
A comparison of the SNRs of HRRP generated by the existing method and the proposed methods. (a) The mean of HRRP’s SNR. (b) The variance of HRRP’s SNR.
In order to verify the performance of the proposed method in extended moving targets, an extended target possessing four scattering points is employed to perform the simulation. The initial ranges of these points are . Based on different parameter sets, the HRRPs corresponding to the stationary noiseless and noisy moving targets are shown in Figure 8. When the velocity is less than ( is 976 m/s based on the parameter set 1 and is 8138 m/s based on the parameter set 2), the high-quality static HRRP of the extended moving target can be obtained, as shown in the mentioned figure.
Figure 8.
The HRRPs of the stationary noiseless target and the noisy moving target based on different parameter sets. (a) Applying the parameter set 1. (b) Applying the parameter set 2.
6. Conclusions
The SF radar time-dividing transmits a sequence of single-frequency signals. The echo of the SF waveforms can be considered as samples in the frequency domain of the whole bandwidth. Applying IDFT to the echo can obtain the HRRP. The SF radar only needs to process a single-frequency signal at any time. Thus, the hardware of the system is easy to implement. Nevertheless, the SF waveforms are highly sensitive to the target’s motion. Thus, the velocity must be compensated for by the high-quality HRRP of moving targets.
This paper presents a new method for generating the stationary HRRP of moving targets. Using the new PCT, the proposed method can simultaneously eliminate LPT and QPT. Avoiding velocity estimation and compensation makes the processing easy. Compared to the existing method, the proposed PCT method can obtain higher-quality HRRP under low SNR conditions, and the cross-transmitted DSF waveform of the proposed method can be adapted to higher speed targets. The analysis and simulation results validate the proposed method. Moreover, the proposed method can be adopted for single-scattering-point and extended targets.
Author Contributions
Conceptualization, X.S. and Z.Z.; methodology, X.S. and Z.Z.; formal analysis, X.S. and H.W; validation, X.S. and F.S.; writing—original draft X.S. and H.W.; and writing—review and editing, Z.Z and F.S. All authors have read and agreed to the published version of the manuscript.
Funding
This research received no external funding.
Institutional Review Board Statement
Not applicable.
Informed Consent Statement
Not applicable.
Data Availability Statement
Not applicable.
Acknowledgments
The authors would like to thank the reviewers and the editor for their valuable comments and suggestions.
Conflicts of Interest
The authors declare no conflict of interest.
References
- Zhu, D.; Shen, M.; Zhu, Z. Some Aspects of Improving the Frequency Scaling Algorithm for Dechirped SAR Data Processing. IEEE Trans. Geosci. Remote Sens. 2008, 46, 1579–1588. [Google Scholar]
- Wehner, D. High-Resolution Radar, 2nd ed.; Artech House: London, UK, 1995. [Google Scholar]
- Wang, C.; Zhang, Q.; Hu, J.; Shi, S.; Li, C.; Cheng, W.; Fang, G. An Efficient Algorithm Based on Frequency Scaling for THz Stepped-Frequency SAR Imaging. IEEE Trans. Geosci. Remote Sens. 2022, 60, 1–15. [Google Scholar] [CrossRef]
- Hu, X.; Tong, N.; Zhang, Y.; He, X.; Wang, Y. Moving Target’s HRRP Synthesis with Sparse Frequency-Stepped Chirp Signal via Atomic Norm Minimization. IEEE Signal Process. Lett. 2016, 23, 1212–1216. [Google Scholar] [CrossRef]
- Lombardi, F.; Lualdi, M. Step-Frequency Ground Penetrating Radar for Agricultural Soil Morphology Characterisation. Remote Sens. 2019, 11, 1075. [Google Scholar] [CrossRef]
- Hu, Z.; Zeng, Z.; Wang, K.; Feng, W.; Zhang, J.; Lu, Q.; Kang, X. Design and Analysis of a UWB MIMO Radar System with Miniaturized Vivaldi Antenna for Through-Wall Imaging. Remote Sens. 2019, 11, 1867. [Google Scholar] [CrossRef]
- Sapp, J.W.; Alsweiss, S.O.; Jelenak, Z.; Chang, P.S.; Carswell, J. Stepped Frequency Microwave Radiometer Wind-Speed Retrieval Improvements. Remote Sens. 2019, 11, 214. [Google Scholar] [CrossRef]
- Long, T.; Liang, Z.; Liu, Q. Advanced technology of high-resolution radar: Target detection, tracking, imaging, and recognition. Sci. China Inf. Sci. 2019, 62, 40301. [Google Scholar] [CrossRef]
- Long, T.; Ren, L. PRF pulse Doppler stepped frequency radar. Sci. China Inf. Sci. 2009, 11, 883–893. [Google Scholar] [CrossRef]
- Jeong, H.; Kim, H.; Kim, K. Application of Subarray Averaging and Entropy Minimization Algorithm to Stepped-Frequency ISAR Autofocus. IEEE Trans. Antennas Propag. 2008, 56, 1144–1154. [Google Scholar] [CrossRef]
- Berizzi, F.; Martorella, M.; Cacciamano, A.; Capria, A. A Contrast-Based Algorithm For Synthetic Range-Profile Motion Compensation. IEEE Trans. Geosci. Remote Sens. 2008, 46, 3053–3062. [Google Scholar] [CrossRef]
- Cacciamano, A.; Giusti, E.; Capria, A.; Martorella, M.; Berizzi, F. Contrast-Optimization-Based Range-Profile Autofocus for Polarimetric Stepped-Frequency Radar. IEEE Trans. Geosci. Remote Sens. 2010, 48, 2049–2056. [Google Scholar] [CrossRef]
- Liu, Y.; Meng, H.; Li, G.; Wang, X. Velocity Estimation and Range Shift Compensation for High Range Resolution Profiling in Stepped-Frequency Radar. IEEE Geosci. Remote Sens. Lett. 2010, 7, 791–795. [Google Scholar] [CrossRef]
- Liu, Y.; Meng, H.; Zhang, H.; Wang, X. Motion Compensation of Moving Targets for High Range Resolution Stepped-Frequency Radar. Sensors 2008, 8, 3429–3437. [Google Scholar] [CrossRef] [PubMed]
- Liao, Z.; Hu, J.; Lu, D.; Zhang, J. Motion Analysis and Compensation Method for Random Stepped Frequency Radar Using the Pseudorandom Code. IEEE Access 2018, 6, 57643–57654. [Google Scholar] [CrossRef]
- Li, W.; Fan, H.; Ren, L.; Mao, E.; Liu, Q. A High-Accuracy Phase-Derived Velocity Measurement Method for High-Speed Spatial Targets Based on Stepped-Frequency Chirp Signals. IEEE Trans. Geosci. Remote Sens. 2021, 59, 1999–2014. [Google Scholar] [CrossRef]
- Fan, H.; Ren, L.; Mao, E.; Liu, Q. A High-Precision Method of Phase-Derived Velocity Measurement and Its Application in Motion Compensation of ISAR Imaging. IEEE Trans. Geosci. Remote Sens. 2018, 56, 60–77. [Google Scholar] [CrossRef]
- Hu, J.; Zhang, J.; Zhai, Q.; Zhan, R.; Lu, D. ISAR Imaging Using a New Stepped-Frequency Signal Format. IEEE Trans. Geosci. Remote Sens. 2014, 52, 4291–4305. [Google Scholar]
- Chen, H.; Liu, Y.; Jiang, W.; Guo, G. A new approach for synthesizing the range profile of moving targets via stepped-frequency waveforms. IEEE Geosci. Remote Sens. Lett. 2006, 3, 406–409. [Google Scholar] [CrossRef]
- Li, D.; Long, T. Target’s Redundance Removed Algorithms of Step Frequency Radar. Acta Electron. Sin. 2000, 28, 55–59. [Google Scholar]
- Wang, J.; Liu, X. Improved Global Range Alignment for ISAR. IEEE Trans. Aerosp. Electron. Syst. 2007, 43, 1070–1075. [Google Scholar] [CrossRef]
Publisher’s Note: MDPI stays neutral with regard to jurisdictional claims in published maps and institutional affiliations. |
© 2022 by the authors. Licensee MDPI, Basel, Switzerland. This article is an open access article distributed under the terms and conditions of the Creative Commons Attribution (CC BY) license (https://creativecommons.org/licenses/by/4.0/).







