Ion-Imprinted Chitosan-Based Localized Surface Plasmon Resonance Sensor for Ni2+ Detection
Abstract
1. Introduction
2. Materials and Methods
2.1. Materials
2.2. Synthesis Method of the AuNPs
2.3. Preprocessing of the Optical Fiber
2.4. Functionalization of the Optical Fiber
2.5. Experimental Setup
3. Results
3.1. Characterization of the Sensor Device
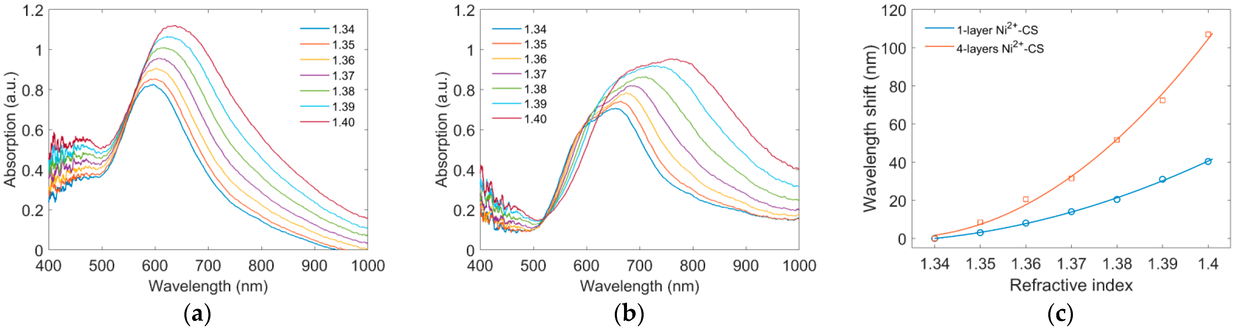
3.2. Refractive Index Response
3.3. Ni2+ Detection
4. Conclusions
Author Contributions
Funding
Institutional Review Board Statement
Informed Consent Statement
Data Availability Statement
Conflicts of Interest
References
- Gurel, L. Applications of the Biosorption Process for Nickel Removal from Aqueous Solutions—A Review. Chem. Eng. Commun. 2017, 204, 711–722. [Google Scholar] [CrossRef]
- Hussainzada, N.; Lewis, J.A.; Baer, C.E.; Ippolito, D.L.; Jackson, D.A.; Stallings, J.D. Whole adult organism transcriptional profiling of acute metal exposures in male Zebrafish. BMC Pharm. Toxicol. 2014, 15, 15. [Google Scholar] [CrossRef] [PubMed]
- Schmidt, M.; Goebeler, M. Nickel allergies: Paying the Toll for innate immunity. J. Mol. Med. 2011, 89, 961–970. [Google Scholar] [CrossRef] [PubMed]
- Udhayakumari, D.; Saravanamoorthy, S.; Velmathi, S. Colorimetric and fluorescent sensing of transition metal ions in aqueous medium by salicylaldimine based chemosensor. Mater. Sci. Eng. C 2012, 32, 1878–1882. [Google Scholar] [CrossRef]
- Mochi, F.; Burratti, L.; Fratoddi, I.; Venditti, I.; Battocchio, C.; Carlini, L.; Iucci, G.; Casalboni, M.; De Matteis, F.; Casciardi, S.; et al. Plasmonic Sensor Based on Interaction between Silver Nanoparticles and Ni2+ or Co2+ in Water. Nanomaterials 2018, 8, 488. [Google Scholar] [CrossRef]
- Sorouraddin, M.H.; Khoshmaram, L. Combination of Dispersive Liquid-liquid Microextraction with FlameAtomic Absorption for Determination of Trace Ni and Co in Water Samplesand Vitamin B12. J. Chin. Chem. Soc. 2010, 57, 1346–1352. [Google Scholar] [CrossRef]
- Khani, R.; Shemirani, F. Determination of Trace Levels of Nickel and Manganese in Soil, Vegetable, and Water. Clean Soil Air Water 2010, 38, 1177–1183. [Google Scholar] [CrossRef]
- Chen, J.; Yang, C.; Gu, P.; Kuang, Y.; Tang, C.; Chen, S.; Liu, Z. High Sensing Properties of Magnetic Plasmon Resonance by Strong Coupling in Three-Dimensional Metamaterials. J. Lightwave Technol. 2021, 39, 562–565. [Google Scholar] [CrossRef]
- Chen, J.; Kuang, Y.; Gu, P.; Feng, S.; Zhu, Y.; Tang, C.; Guo, Y.; Liu, Z.; Gao, F. Strong Magnetic Plasmon Resonance in a Simple Metasurface for High-Quality Sensing. J. Lightwave Technol. 2021, 39, 4525–4528. [Google Scholar] [CrossRef]
- Jia, S.; Bian, C.; Sun, J.; Tong, J.; Xia, S. A wavelength-modulated localized surface plasmon resonance (LSPR) optical fiber sensor for sensitive detection of mercury(II) ion by gold nanoparticles-DNA conjugates. Biosens. Bioelectron. 2018, 114, 15–21. [Google Scholar] [CrossRef]
- Huang, Q.; Zhu, W.; Wang, Y.; Deng, Z.; Li, Z.; Peng, J.; Lyu, D.; Lewis, E.; Yang, M. Optical fiber plasmonic sensor for the ultrasensitive detection of copper (II) ion based on trimetallic Au@AgPt core-shell nanospheres. Sens. Actuators B Chem. 2020, 321, 128480. [Google Scholar]
- Dhara, P.; Kumar, R.; Binetti, L.; Nguyen, H.T.; Alwis, L.S.; Sun, T.; Grattan, K.T.V. Optical Fiber-Based Heavy Metal Detection Using the Localized Surface Plasmon Resonance Technique. IEEE Sens. J. 2019, 19, 8720–8726. [Google Scholar] [CrossRef]
- Grabar, K.C.; Freeman, R.G.; Hommer, M.B.; Natan, M.J. Preparation and Characterization of Au Colloid Monolayers. Anal. Chem. 1995, 67, 735–743. [Google Scholar] [CrossRef]
- Jin, Y.; Wong, K.H.; Granville, A.M. Developing localized surface plasmon resonance biosensor chips and fiber optics via direct surface modification of PMMA optical waveguides. Colloids Surf. A Physicochem. Eng. Asp. 2016, 492, 100–109. [Google Scholar] [CrossRef]
- Petryayeva, E.; Krull, U.J. Localized surface plasmon resonance: Nanostructures, bioassays and biosensing—A review. Anal. Chim. Acta. 2011, 706, 8–24. [Google Scholar] [CrossRef]
- Tsarmpopoulou, M.; Chronis, A.G.; Sigalas, M.; Stamatelatos, A.; Poulopoulos, P.; Grammatikopoulos, S. Calculation of the Localized Surface Plasmon Resonances of Au Nanoparticles Embedded in NiO. Solids 2022, 3, 55–65. [Google Scholar] [CrossRef]
- Katyal, J.; Badoni, V. Localized surface plasmon resonance and field enhancement of Au, Ag, Al and Cu nanoparticles having isotropic and anisotropic nanostructure. Mater. Today Proc. 2021, 44, 5012–5017. [Google Scholar] [CrossRef]
- Martínez-Hernández, M.E.; Goicoechea, J.; Arregui, F.J. Hg2+ Optical Fiber Sensor Based on LSPR Generated by Gold Nanoparticles Embedded in LBL Nano-Assembled Coatings. Sensors 2019, 19, 4906. [Google Scholar] [CrossRef]
- Zhao, L.; Yang, S.; Yilihamu, A.; Ma, Q.; Shi, M.; Ouyang, B.; Zhang, Q.; Guan, X.; Yang, S.T. Adsorptive decontamination of Cu2+-contaminated water and soil by carboxylated graphene oxide/chitosan/cellulose composite beads. Environ. Res. 2019, 179, 108779. [Google Scholar] [CrossRef]
- Kassem, A.; Ayoub, G.M.; Malaeb, L. Antibacterial activity of chitosan nano-composites and carbon nanotubes: A review. Sci. Total Environ. 2019, 668, 566–576. [Google Scholar] [CrossRef]
- Habiba, U.; Afifi, A.M.; Salleh, A.; Ang, B.C. Chitosan/(polyvinyl alcohol)/zeolite electrospun composite nanofibrous membrane for adsorption of Cr6+, Fe3+ and Ni2+. J. Hazard. Mater. 2017, 322, 182–194. [Google Scholar] [CrossRef] [PubMed]
- Jamshidifard, S.; Koushkbaghi, S.; Hosseini, S.F.; Rezaei, S.M.; Karamipour, A.; Jafari Rad, A.; Irani, M. Incorporation of UiO-66-NH2 MOF into the PAN/chitosan nanofibers for adsorption and membrane filtration of Pb(II), Cd(II) and Cr(VI) ions from aqueous solutions. J. Hazard. Mater. 2019, 368, 10–20. [Google Scholar] [CrossRef] [PubMed]
- Zhuang, S.; Cheng, R.; Kang, M.; Wang, J. Kinetic and equilibrium of U(VI) adsorption onto magnetic amidoxime-functionalized chitosan beads. J. Clean. Prod. 2018, 188, 655–661. [Google Scholar] [CrossRef]
- Vakili, M.; Deng, S.; Li, T.; Wang, W.; Wang, W.; Yu, G. Novel crosslinked chitosan for enhanced adsorption of hexavalent chromium in acidic solution. Chem. Eng. J. 2018, 347, 782–790. [Google Scholar] [CrossRef]
- Chen, Z.; Han, K.; Zhang, Y.N. Reflective Fiber Surface Plasmon Resonance Sensor for High-Sensitive Mercury Ion Detection. Appl. Sci. 2019, 9, 1480. [Google Scholar]
- Ravikumar, R.; Chen, L.H.; Meow, M.; Hui, X.; Chan, C.C. Ion-Imprinted Chitosan-Based Interferometric Sensor for Selective Detection of Heavy Metal Ions. J. Lighwave Technol. 2019, 37, 2778–2783. [Google Scholar]
- Ma, Y.; Zheng, W.; Zhang, Y.N.; Li, X.; Zhao, Y. Optical Fiber SPR Sensor With Surface Ion Imprinting for Highly Sensitive and Highly Selective Ni2+ Detection. IEEE Trans. Instrum. Meas. 2021, 70, 7006006. [Google Scholar] [CrossRef]
- Jana, N.R.; Gearheart, L.; Murphy, C.J. Seeding Growth for Size Control of 5−40 nm Diameter Gold Nanoparticles. Langmuir 2001, 17, 6782–6786. [Google Scholar] [CrossRef]
- Sovizi, M.; Aliannezhadi, M. Localized surface plasmon resonance (LSPR) of coupled metal nanospheres in longitudinal, transverse and three-dimensional coupling configurations. Optik 2022, 252, 168518. [Google Scholar] [CrossRef]
- Yuan, H.; Ji, W.; Chu, S.; Liu, Q.; Guang, J.; Sun, G.; Zhang, Y.; Han, X.; Masson, J.-F.; Peng, W. Au nanoparticles as label-free competitive reporters for sensitivity enhanced fiber-optic SPR heparin sensor. Biosens. Bioelectron. 2020, 154, 112039. [Google Scholar] [CrossRef]
- Raghunandhan, R.; Chen, L.H.; Long, H.Y.; Leam, L.L.; So, P.L.; Ning, X.; Chan, C.C. Chitosan/PAA based fiber-optic interferometric sensor for heavy metal ions detection. Sens. Actuators B Chem. 2016, 233, 31–38. [Google Scholar] [CrossRef]









Publisher’s Note: MDPI stays neutral with regard to jurisdictional claims in published maps and institutional affiliations. |
© 2022 by the authors. Licensee MDPI, Basel, Switzerland. This article is an open access article distributed under the terms and conditions of the Creative Commons Attribution (CC BY) license (https://creativecommons.org/licenses/by/4.0/).
Share and Cite
Zhong, X.; Ma, L.; Yin, G. Ion-Imprinted Chitosan-Based Localized Surface Plasmon Resonance Sensor for Ni2+ Detection. Sensors 2022, 22, 9005. https://doi.org/10.3390/s22229005
Zhong X, Ma L, Yin G. Ion-Imprinted Chitosan-Based Localized Surface Plasmon Resonance Sensor for Ni2+ Detection. Sensors. 2022; 22(22):9005. https://doi.org/10.3390/s22229005
Chicago/Turabian StyleZhong, Xiujuan, Li Ma, and Guolu Yin. 2022. "Ion-Imprinted Chitosan-Based Localized Surface Plasmon Resonance Sensor for Ni2+ Detection" Sensors 22, no. 22: 9005. https://doi.org/10.3390/s22229005
APA StyleZhong, X., Ma, L., & Yin, G. (2022). Ion-Imprinted Chitosan-Based Localized Surface Plasmon Resonance Sensor for Ni2+ Detection. Sensors, 22(22), 9005. https://doi.org/10.3390/s22229005
