A Novel Paper-Based Reagentless Dual Functional Soil Test to Instantly Detect Phosphate Infield
Abstract
1. Introduction
2. Materials and Methods
2.1. Extraction–Reaction Reagent, P Standards, and Interfering Solutions
2.2. Impregnated Filters Preparation
2.3. Physical Characterization of ERR IFP
2.4. Recovery of Reagents from ERR IFP
2.5. Stability of ERR IFP
2.6. Soil P Extraction
2.7. Soil Sample Collection and Laboratory Analysis
2.8. Soil P Data Mapping
2.9. CV Electrochemical P Detection
2.10. Data Analysis
3. Results and Discussion
3.1. Chemical and Physical Characterization of Extraction–Reaction Reagent Impregnated Filter Paper
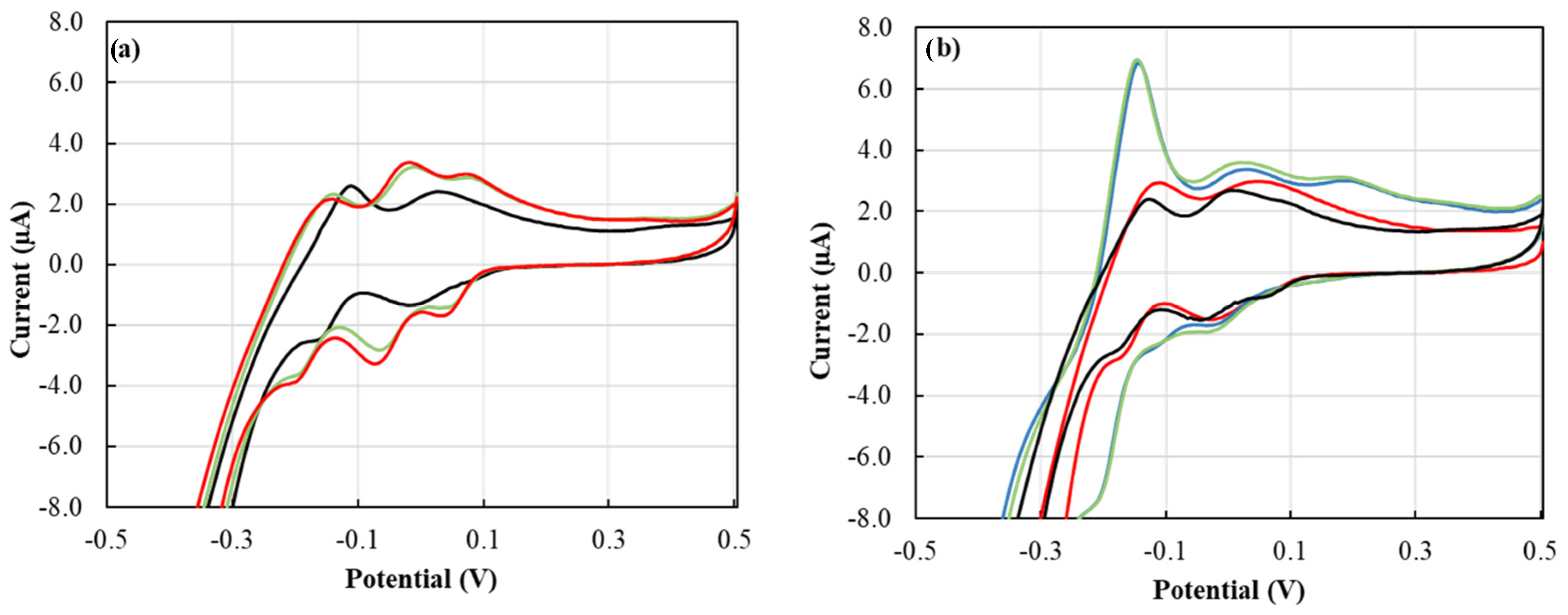
3.2. CV Response Characteristics
3.3. Silicate Interference
3.4. Soil Samples Analysis
3.5. Soil P Test Interpretation
4. Conclusions
Author Contributions
Funding
Data Availability Statement
Acknowledgments
Conflicts of Interest
References
- Brady, N.; Weil, R. Chapter 14: Soil Phosphorous and Potassium. In The Nature and Properties of Soil, 15th ed.; Pearson Upper: Saddle River, NJ, USA, 2016. [Google Scholar]
- Barber, S.A. Soil Nutrient Bioavailability: A Mechanistic Approach; John Wiley & Sons: Hoboken, NJ, USA, 1995. [Google Scholar]
- Syers, J.; Johnston, A.; Curtin, D. Efficiency of soil and fertilizer phosphorus use. FAO Fertil. Plant Nutr. Bull. 2008, 18, 1–123. [Google Scholar]
- JJ, E. Phosphorus: A limiting nutrient for humanity? Curr. Opin. Biotechnol. 2012, 23, 833–838. [Google Scholar]
- Stelzer, R.S.; Lamberti, G.A. Effects of N:P ratio and total nutrient concentration on stream periphyton community structure, biomass, and elemental composition. Limnol. Oceanogr. 2001, 46, 356–367. [Google Scholar] [CrossRef]
- Kim, H.-J.; Hummel, J.W.; Sudduth, K.A.; Birrell, S.J. Evaluation of phosphate ion-selective membranes and cobalt-based electrodes for soil nutrient sensing. Trans. ASABE 2007, 50, 415–425. [Google Scholar] [CrossRef]
- Zeitoun, R.; Chaudhry, H.; Vasava, H.B.; Biswas, A. Global development in Soil Science Research: Agriculture Sensors and Technologies. In Soil Science: Fundamentals to Recent Advances; Rakshit, A., Singh, S.K., Abhilash, P.C., Biswas, A., Eds.; Springer: Singapore, 2021; pp. 599–612. [Google Scholar]
- Costa, M.G.; Gama-Rodrigues, A.C.; Gonçalves, J.L.d.M.; Gama-Rodrigues, E.F.; Sales, M.V.d.S.; Aleixo, S. Labile and non-labile fractions of phosphorus and its transformations in soil under eucalyptus plantations, Brazil. Forests 2016, 7, 15. [Google Scholar] [CrossRef]
- Kuang, B.; Mahmood, H.S.; Quraishi, M.Z.; Hoogmoed, W.B.; Mouazen, A.M.; van Henten, E.J. Sensing soil properties in the laboratory, in situ, and on-line: A review. Adv. Agron. 2012, 114, 155–223. [Google Scholar]
- Soriano-Disla, J.M.; Janik, L.J.; Viscarra Rossel, R.A.; Macdonald, L.M.; McLaughlin, M.J. The performance of visible, near-, and mid-infrared reflectance spectroscopy for prediction of soil physical, chemical, and biological properties. Appl. Spectrosc. Rev. 2014, 49, 139–186. [Google Scholar] [CrossRef]
- Ziadi, N.; Whalen, J.K.; Messiga, A.J.; Morel, C. Assessment and Modeling of Soil Available Phosphorus in Sustainable Cropping Systems. Adv. Agron. 2013, 122, 85–126. [Google Scholar] [CrossRef]
- Watson, M.; Mullen, R. Understanding Soil Tests for Plant-Available Phosphorus; The Ohio State University: Columbus, OH, USA, 2007. [Google Scholar]
- Wuenscher, R.; Unterfrauner, H.; Peticzka, R.; Zehetner, F. A comparison of 14 soil phosphorus extraction methods applied to 50 agricultural soils from Central Europe. Plant Soil Environ. 2015, 61, 86–96. [Google Scholar] [CrossRef]
- Zeitoun, R.; Biswas, A. Instant and Mobile Electrochemical Quantification of Inorganic Phosphorus in Soil Extracts. J. Electrochem. Soc. 2020, 16, 167512. [Google Scholar] [CrossRef]
- Rice, E.; Baird, R.; Eaton, A.; Clesceri, L. PHOSPHORUS 4500-P. In Standard Methods for the Examination of Water and Wastewater; American Public Health Association: Washington, DC, USA, 2017; Volume 10, pp. 4–155. [Google Scholar]
- Adesanwo, O.; Ige, D.; Thibault, L.; Flaten, D.; Akinremi, W. Comparison of colorimetric and ICP methods of phosphorus determination in soil extracts. Commun. Soil Sci. Plant Anal. 2013, 44, 3061–3075. [Google Scholar] [CrossRef]
- Yang, J.; Bai, J.; Liu, M.; Chen, Y.; Wang, S.; Yang, Q. Determination of Phosphorus in Soil by ICP-OES Using an Improved Standard Addition Method. J. Anal. Methods Chem. 2018, 2018, 1–8. [Google Scholar] [CrossRef]
- Mehlich, A. Mehlich 3 soil test extractant: A modification of the Mehlich 2 extractant. Commun. Soil Sci. Plant Anal. 1984, 15, 1409–1416. [Google Scholar] [CrossRef]
- Olsen, S.R.; Cole, C.V.; Watanabe, F.S.; Dean, L.A. Estimation of Available Phosphorus in Soils by Extraction with Sodium Bicarbonate, 1st ed.; U.S. Government Printing Office: Washington, DC, USA, 1954. [Google Scholar]
- OMAFRA. Soil Fertility Handbook—Pub 611, 3rd ed.; Blurb Incorporated: Toronto, ON, Canada, 2018. [Google Scholar]
- Mallarino, A.P. Comparison of Mehlich-3, Olsen, and Bray-Pi Procedures for Phosphorus in Calcareous Soils. In Proceedings of the North Central Extension-Industry Soil Fertility Conference, Manhattan, KS, USA, 15–16 November 1995. [Google Scholar]
- Mallarino, A.P.; Sawyer, J.E.; Stephen, K. A General Guide for Crop Nutrient and Limestone Recommendations in Iowa; Iowa State University Extension and Outreach: Ames, IA, USA, 2013. [Google Scholar]
- Hudak-Wise, C.M. Agronomic Services—Mehlich-3 Extractant; Hudak-Wise, C.M., Ed.; North Carolina Department of Agriculture & Consumer Services: Raleigh, NC, USA, 2013.
- De Alcântara, F.A.; Furtini Neto, A.E.; Curi, N.; de Resende, Á.V. Extraction Methods for Phosphorus and Their Relationship with Soils Phosphorus-Buffer Capacity Estimated by the Remaining-Phosphorus Methodology—A Pot Study with Maize. Commun. Soil Sci. Plant Anal. 2008, 39, 603–615. [Google Scholar] [CrossRef]
- Kabala, C.; Galka, B.; Labaz, B.; Anjos, L.; de Souza Cavassani, R. Towards more simple and coherent chemical criteria in a classification of anthropogenic soils: A comparison of phosphorus tests for diagnostic horizons and properties. Geoderma 2018, 320, 1–11. [Google Scholar] [CrossRef]
- Schick, J.; Kratz, S.; Rückamp, D.; Shwiekh, R.; Haneklaus, S.; Schnug, E. Comparison and Inter-Calibration of different Soil P Tests Used in the Baltic Sea Countries; Julius Kühn-Institut, Federal Research Center for Cultivated Plants (JKI) Institute for Crop and Soil Science: Braunschweig, Germany, 2013. [Google Scholar]
- Ara, I.; Islam, M.; Kashem, M.; Osman, K.T. A comparative study of phosphorus availability in an acidic soil and an alkaline soil amended with organic and inorganic phosphorus sources. J. Soil Sci. Plant Nutr. 2018, 18, 466–478. [Google Scholar] [CrossRef]
- Steinfurth, K.; Hirte, J.; Morel, C.; Buczko, U. Conversion equations between Olsen-P and other methods used to assess plant available soil phosphorus in Europe—A review. Geoderma 2021, 401, 115339. [Google Scholar] [CrossRef]
- Zeitoun, R.; Adamchuk, V.; Warland, J.; Biswas, A. Paper-polished Carbon Screen-Printed Electrodes Increase Reusability and Enhance Performance in Phosphomolybdate Electrochemical Detection. J. Electroanal. Chem. 2021, 890, 115229. [Google Scholar] [CrossRef]
- Oginskyy, A. Integrated Hydrologic-Economic Optimization Modeling for Watershed Evaluation of Agricultural BMPs and Policies. PhD Dissertation, University of Guelph, Guelph, ON, Canada, 2014. [Google Scholar]
- Li, J.; Shen, S.; Kong, F.; Jiang, T.; Tang, C.; Yin, C. Effects of pore size on in vitro and in vivo anticancer efficacies of mesoporous silica nanoparticles. RSC Adv. 2018, 8, 24633–24640. [Google Scholar] [CrossRef]
- Cogan, E.B.; Birrell, G.B.; Griffith, O.H. A robotics-based automated assay for inorganic and organic phosphates. Anal. Biochem. 1999, 271, 29–35. [Google Scholar] [CrossRef]
- Kabir, M.F.; Rahman, M.T.; Gurung, A.; Qiao, Q. Electrochemical phosphate sensors using silver nanowires treated screen printed electrodes. IEEE Sens. J. 2018, 18, 3480–3485. [Google Scholar] [CrossRef]
- Ciavatta, C.; Antisari, L.V.; Sequi, P. Interference of Soluble Silica in the Determination of Orthophosphate-Phosphorus; 0047-2425; Wiley Online Library: Hoboken, NJ, USA, 1990. [Google Scholar]
- Zhang, J.-Z.; Fischer, C.J.; Ortner, P.B. Optimization of performance and minimization of silicate interference in continuous flow phosphate analysis. Talanta 1999, 49, 293–304. [Google Scholar] [CrossRef]
- Jońca, J.; Fernández, V.L.; Thouron, D.; Paulmier, A.; Graco, M.; Garçon, V. Phosphate determination in seawater: Toward an autonomous electrochemical method. Talanta 2011, 87, 161–167. [Google Scholar] [CrossRef] [PubMed]
- Lacombe, M.; Garçon, V.; Comtat, M.; Oriol, L.; Sudre, J.; Thouron, D.; Le Bris, N.; Provost, C. Silicate determination in sea water: Toward a reagentless electrochemical method. Mar. Chem. 2007, 106, 489–497. [Google Scholar] [CrossRef]
- Kuo, S. Phosphorus. In Methods of Soil Analysis 3. Chemical Methods; Bartels, J., Bigham, J., Eds.; Soil Science Society of America: Madison, WI, USA, 1996; pp. 869–919. [Google Scholar]
- Houba, V.; Temminghoff, E.; Gaikhorst, G.; Van Vark, W. Soil analysis procedures using 0.01 M calcium chloride as extraction reagent. Commun. Soil Sci. Plant Anal. 2000, 31, 1299–1396. [Google Scholar] [CrossRef]
- Sharpley, A.N. An Innovative Approach to Estimate Bioavailable Phosphorus in Agricultural Runoff Using Iron Oxide-Impregnated Paper; 0047-2425; Wiley Online Library: Hoboken, NJ, USA, 1993. [Google Scholar]









| Filter Name | Filter Material | Uses | Thickness (µm) | Pore Size (µm) | Basis Weight (g/m2) | Recovery (%) ± |
|---|---|---|---|---|---|---|
| Whatman 41 | Cellulose | Fast quantitative air pollution analysis as a paper tape for impregnation | 220 | 20–25 | 85 | 59.47 ± 0.24 a |
| Whatman 42 | Cellulose | Slow quantitative analysis for filtering extremely small particles | 200 | 2.5 | 100 | 53.13 ± 0.25 b |
| Whatman 934-AH | Binder-free glass microfiber | Fast and high loading capacity filtration | 435 | 1.5 | 64 | 51.17 ± 0.69 c |
| Millipore AP2512450 | Hydrophilic glass fiber with binder resin | Prefiltration for heavily contaminated liquids | 1200 | 2 | NA | 0.21 ± 0.02 d |
| Recovery (%) ± | ||
|---|---|---|
| Day | ERR w/o AA + NA IFP | ERR IFP |
| 1 | 60.62 ± 0.80 a | 59.44 ± 1.26 a |
| 2 | 59.55 ± 1.20 a | 60.43 ± 0.78 a |
| 3 | 57.03 ± 2.01 a | 58.62 ± 0.56 a |
| 6 | 57.19 ± 1.34 a | 58.71 ± 0.07 a |
| Extraction Time (min) | Predicted P Concentration (mg·L−1) | Recovery (%) |
|---|---|---|
| 1 | 1.75 ± 0.15 | 42.02 ± 3.68 b |
| 2 | 4.35 ± 0.23 | 104.31 ± 4.75 a |
| 5 | 4.39 ± 0.29 | 105.23 ± 6.15 a |
| 10 | 4.43 ± 0.18 | 106.22 ± 3.79 a |
| Method | Extracting Solution | Solution pH | Extraction Time | Soil-to-Solution Ratio | Method of Detection | Ref. |
|---|---|---|---|---|---|---|
| HCl | 0.5 M HCl | <1 | 2 h | 1:10 | ICP | [13,38] |
| LiCl | 0.4 M LiCl | unbuffered | 2 × 2 h | 1:1.8–1:4.0 | ICP | [13] |
| CAE * | Distilled water | unbuffered | 16 h | 1:40 | photometer | [13] |
| CAL * | 0.05 M C6H10CaO6, 0.05 M (CH3COO)2Ca | 4.0 | 2 h | 1:20 | photometer | [13] |
| CaCl2 | 0.01 M CaCl2 | unbuffered | 2 h | 1:10 | photometer | [13,39] |
| H2O | Distilled water | unbuffered | 12 h | 1:0.3–1:1.2 | photometer | [13] |
| FeO IFP * | 0.01 M CaCl2 | unbuffered | 16 h | 1:40 | photometer | [13,40] |
| Olsen | 0.5 M NaHCO3 | 8.5 | 30 min | 1:20 | Photometer/ICP | [13,19] |
| Mehlich-3 | 0.015 M NH4F, 0.013 M HNO3, 0.001 M EDTA, 0.25 M NH4NO3 0.3 M CH3COOH | 2.5 | 5 min | 1:10 | Photometer/ICP | [13,18] |
| ERR IFP * | DI water | Unbuffered | 2 min | 1:10 | Cyclic voltammetry | This work |
Publisher’s Note: MDPI stays neutral with regard to jurisdictional claims in published maps and institutional affiliations. |
© 2022 by the authors. Licensee MDPI, Basel, Switzerland. This article is an open access article distributed under the terms and conditions of the Creative Commons Attribution (CC BY) license (https://creativecommons.org/licenses/by/4.0/).
Share and Cite
Zeitoun, R.; Adamchuk, V.; Biswas, A. A Novel Paper-Based Reagentless Dual Functional Soil Test to Instantly Detect Phosphate Infield. Sensors 2022, 22, 8803. https://doi.org/10.3390/s22228803
Zeitoun R, Adamchuk V, Biswas A. A Novel Paper-Based Reagentless Dual Functional Soil Test to Instantly Detect Phosphate Infield. Sensors. 2022; 22(22):8803. https://doi.org/10.3390/s22228803
Chicago/Turabian StyleZeitoun, Reem, Viacheslav Adamchuk, and Asim Biswas. 2022. "A Novel Paper-Based Reagentless Dual Functional Soil Test to Instantly Detect Phosphate Infield" Sensors 22, no. 22: 8803. https://doi.org/10.3390/s22228803
APA StyleZeitoun, R., Adamchuk, V., & Biswas, A. (2022). A Novel Paper-Based Reagentless Dual Functional Soil Test to Instantly Detect Phosphate Infield. Sensors, 22(22), 8803. https://doi.org/10.3390/s22228803

