Optimal Water Level Management for Mitigating GHG Emissions through Water-Conserving Irrigation in An Giang Province, Vietnam
Abstract
1. Introduction
2. Materials and Methods
2.1. Data Source
2.2. Feature Selection of Specific Water Levels and Statistical Analysis
3. Results
3.1. Spatial and Temporal Variation in the Rice Cultivation
3.2. Water Management
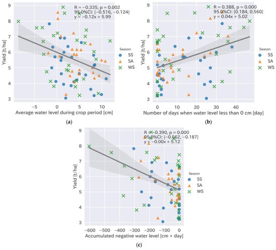
3.3. Relationships between Specific Water Management Practices and the Rice Yield
3.4. Relationships between Specific Water Management Practices and CH4 Emissions
4. Discussion
4.1. Water Level Management
4.2. Effect of Multiple Drainage on Rice Yield
4.3. Effect of Multiple Drainage on GHG Emissions
5. Conclusions
Author Contributions
Funding
Institutional Review Board Statement
Informed Consent Statement
Data Availability Statement
Acknowledgments
Conflicts of Interest
References
- Fageria, N.K. Yield physiology of rice. J. Plant Nutr. 2007, 30, 843–879. [Google Scholar] [CrossRef]
- General Statistics Office of Vietnam. 2020. Available online: https://www.gso.gov.vn/ (accessed on 28 March 2021).
- Li, H.; Li, M. Sub-group formation and the adoption of the alternate wetting and drying irrigation method for rice in China. Agric. Water Manag. 2010, 97, 700–706. [Google Scholar] [CrossRef]
- Sun, Y.; Ma, J.; Sun, Y.; Xu, H.; Yang, Z.; Liu, S.; Jia, X.; Zheng, H. The effects of different water and nitrogen managements on yield and nitrogen use efficiency in hybrid rice of China. Field Crops Res. 2012, 127, 85–98. [Google Scholar] [CrossRef]
- Ministry of Natural Resources and Environment. The Third National Communication of Vietnam to the United Nations Framework Convention on Climate Change; Ministry of Natural Resources and Environment: Hanoi, Vietnam, 2019.
- UNEP (United Nations Environment Programme). Solid Waste Management. Vol. I. 2005. Available online: http://www.unep.or.jp/ietc/publications/spc/solid_waste_management/Vol_I/Binder1.pdf (accessed on 28 March 2021).
- Yao, F.; Huang, J.; Cui, K.; Nie, L.; Xiang, J.; Liu, X.; Wu, W.; Chen, M.; Peng, S. Agronomic performance of high-yielding rice variety grown under alternate wetting and drying irrigation. Field Crops Res. 2012, 126, 16–22. [Google Scholar] [CrossRef]
- Lampayan, R.; Bouman, B.; de Dios, J.; Espiritu, A.; Sibayan, E.; Vicmudo, V.R.; Lactaoen, T. Adoption and dissemination of “safe alternate wetting and drying” in pump irrigated rice areas in the Philippines. In Proceedings of the 60th International Executive Council Meeting & the Asian Regional Conference, New Delhi, India, 6–11 December 2009. [Google Scholar]
- Maneepitak, S.; Ullah, H.; Paothong, K.; Kachenchart, B.; Datta, A.; Shrestha, R.P. Effect of water and rice straw management practices on yield and water productivity of irrigated lowland rice in the Central Plain of Thailand. Agric. Water Manag. 2019, 211, 89–97. [Google Scholar] [CrossRef]
- Yamaguchi, T.; Tuan, L.M.; Minamikawa, K.; Yokoyama, S. Assessment of the relationship between adoption of a knowledge-intensive water-saving technique and irrigation conditions in the Mekong Delta of Vietnam. Agric. Water Manag. 2019, 212, 162–171. [Google Scholar] [CrossRef]
- Yamaguchi, T.; Tuan, L.M.; Minamikawa, K.; Yokoyama, S. Compatibility of alternate wetting and drying irrigation with local agriculture in an Giang province, Mekong Delta, Vietnam. Trop Agric. Dev. 2017, 61, 117–127. [Google Scholar]
- Taminato, T.; Matsubara, E. Influence on greenhouse gas emission decrease from paddy field and yield by two water saving irrigation methods in the Mekong Delta. IDRE J. 2016, 303, 195–i, (In Japanese with English abstract). [Google Scholar]
- Arai, H.; Hosen, Y.; Chiem, N.H.; Inubushi, K. Alternate wetting and drying enhanced the yield of a triple-cropping rice paddy of the Mekong Delta. Soil Sci. Plant Nutr. 2021, 67, 493–506. [Google Scholar] [CrossRef]
- Guo, J.; Song, Z.; Zhu, Y.; Wei, W.; Li, S.; Yu, Y. The characteristics of yield-scaled methane emission from paddy field in recent 35-year in China: A meta-analysis. J. Clean. Prod. 2017, 161, 1044–1050. [Google Scholar] [CrossRef]
- Uno, K.; Ishido, K.; Nguyen Xuan, L.; Nguyen Huu, C.; Minamikawa, K. Multiple drainage can deliver higher rice yield and lower methane emission in paddy fields in an Giang Province, Vietnam. Paddy Water Environ. 2021, 19, 623–634. [Google Scholar] [CrossRef]
- Carrijo, D.R.; Lundy, M.E.; Linquist, B.A. Rice yields and water use under alternate wetting and drying irrigation: A meta-analysis. Field Crops Res. 2017, 203, 173–180. [Google Scholar] [CrossRef]
- Nguyen, L.T.; Nanseki, T.; Ogawa, S.; Chomei, Y. Determination of paddy rice yield in the context of farmers’ adoption of multiple technologies in Colombia. Int. J. Plant Prod. 2022, 16, 93–104. [Google Scholar] [CrossRef]
- Rizki, M.; Erni, R.; Benito, H.P.; Sri, R.; Supadno, S. Shallow water depth management to enhance rice performances under System of Rice Intensification (SRI) framework. J. Irigasi. 2017, 10, 41–48. [Google Scholar]
- Peng, S.; Yang, S.; Xu, J.; Luo, Y.; Hou, H. Nitrogen and phosphorus leaching losses from paddy fields with different water and nitrogen managements. Paddy Water Environ. 2011, 9, 333–342. [Google Scholar] [CrossRef]
- Kritee, K.; Nair, D.; Zavala-Araiza, D.; Proville, J.; Rudek, J.; Adhya, T.K.; Loecke, T.; Esteves, T.; Balireddygari, S.; Dava, O.; et al. High nitrous oxide fluxes from rice indicate the need to manage water for both long- and short-term climate impacts. Proc. Natl Acad. Sci. USA 2018, 115, 9720–9725. [Google Scholar] [CrossRef]
- Cabangon, R.J.; Tuong, T.P.; Castillo, E.G.; Bao, L.X.; Lu, G.; Wang, G.; Cui, Y.; Bouman, B.A.M.; Li, Y.; Chen, C.; et al. Effect of irrigation method and N-fertilizer management on rice yield, water productivity and nutrient-use efficiencies in typical lowland rice conditions in China. Paddy Water Environ. 2004, 2, 195–206. [Google Scholar] [CrossRef]
- Chen, W.L.; Lin, Y.B.; Ng, F.L.; Liu, C.Y.; Lin, Y.W. Rice Talk: Rice Blast Detection using Internet of Things and Artificial Intelligence Technologies. IEEE Internet Things J. 2019, 7, 1001–1010. [Google Scholar] [CrossRef]
- Sub-Department of Plant Protection in An Giang (SDPPA). So Tay Huong Dan Trong Lua, Can San Theo “1 Pahi 5 Giam.”; SDPPA: Long Xuyen, Vietnam, 2011. [Google Scholar]
- Belder, P.; Spiertz, J.H.J.; Bouman, B.A.M.; Lu, G.; Tuong, T.P. Nitrogen economy and water productivity of lowland rice under water-saving irrigation. Field Crops Res. 2005, 93, 169–185. [Google Scholar] [CrossRef]
- Arai, H.; Hosen, Y.; Pham Hong, V.N.; Thi, N.T.; Huu, C.N.; Inubushi, K. Greenhouse gas emissions from rice straw burning and straw-mushroom cultivation in a triple rice cropping system in the Mekong Delta. Soil Sci. Plant Nutr. 2015, 61, 719–735. [Google Scholar] [CrossRef]
- Khai, N.H.; Tinh, T.K.; Tin, H.Q.; Sanh, N.V. Reducing greenhouse gas emissions in rice grown in the Mekong Delta of Vietnam. Environ. Pollut. Clim. Change 2018, 2, 158. [Google Scholar]
- Duan, Y.H.; Zhang, Y.L.; Ye, L.T.; Fan, X.R.; Xu, G.H.; Shen, Q.R. Responses of rice cultivars with different nitrogen use efficiency to partial nitrate nutrition. Ann. Bot. 2007, 99, 1153–1160. [Google Scholar] [CrossRef]
- Minamikawa, K.; Yamaguchi, T.; Tokida, T. Dissemination of water management in rice paddies in Asia. In Climate Smart Agriculture for the Small-Scale Farmers in the Asian and Pacific Region; Shirato, Y., Hasebe, A., Eds.; National Agriculture and Food Research Organization: Tsukuba, Japan, 2019; pp. 19–36. [Google Scholar]
- Tran, T.N.H.; Trinh, Q.K.; Chu, V.H.; Pham, S.T.; Roland, B. Effect of seeding rate and nitrogen management under two different water regimes on grain yield, water productivity and profitability of rice production. Omonrice 2008, 16, 81–88. [Google Scholar]
- Dong, N.M.; Brandt, K.K.; Sørensen, J.; Hung, N.N.; Hach, C.V.; Tan, P.S.; Dalsgaard, T. Effects of alternating wetting and drying versus continuous flooding on fertilizer nitrogen fate in rice fields in the Mekong Delta, Vietnam. Soil Biol. Biochem. 2012, 47, 166–174. [Google Scholar] [CrossRef]
- Sriphirom, P.; Chidthaisong, A.; Towprayoon, S. Effect of alternate wetting and drying water management on rice cultivation with low emissions and low water used during wet and dry season. J. Clean. Prod. 2019, 223, 980–988. [Google Scholar] [CrossRef]
- Hayashi, S.; Kamoshita, A.; Yamagishi, J.; Kotchasatit, A.; Jongdee, B. Spatial variability in the growth of direct-seeded rainfed lowland rice (Oryza sativa L.) in Northeast Thailand. Field Crops Res. 2009, 111, 251–261. [Google Scholar] [CrossRef]
- Quang, L.X.; Nakamura, K.; Hung, T.; Van Tinh, N.; Matsuda, S.; Kadota, K.; Horino, H.; Hai, P.T.; Komatsu, H.; Hasegawa, K.; et al. Effect of organizational paddy water management by a water user group on methane and nitrous oxide emissions and rice yield in the Red River Delta, Vietnam. Agric. Water Manag. 2019, 217, 179–192. [Google Scholar] [CrossRef]
- IPCC. Agriculture, forestry and other land use. In Refinement to the 2006 IPCC Guidelines for National Greenhouse Gas Inventories; Calvo Buendia, E., Tanabe, K., Kranjc, A., Baasansuren, J., Fukuda, M., Ngarize, S., Osako, A., Pyrozhenko, Y., Shermanau, P., Federici, S., Eds.; IPCC: Geneva, Switzerland, 2019; Volume 4, pp. 5.49–5.60. [Google Scholar]
- Government of Vietnam. Intended Nationally Determined Contribution of Viet Nam. 2015. Available online: https://www4.unfccc.int/sites/ndcstaging/PublishedDocuments/Viet%20Nam%20First/VIETNAM%27S%20INDC.pdf (accessed on 28 September 2021).






| District | Chau Thanh | Cho Moi | Thoai Son | Tri Ton | Tinh Bien | Chau Phu | |
|---|---|---|---|---|---|---|---|
| Latitude | 10°28′27.7″ N | 10°24′41.1″ N | 10°15′29.1″ N | 10°18′27.5″ N | 10°32′20.0″ N | 10°27′37.5″ N | |
| Longitude | 105°20′24.1″ E | 105°27′25.9″ E | 105°07′45.7″ E | 105°04′19.6″ E | 105°12′15.4″ E | 105°04′53.4″ E | |
| Soil type | Alluvial soil | Alluvial soil | Acidic soil | Acidic soil | Alluvial soil | Acidic soil | |
| Rainfall (mm) | |||||||
| 2015 | SS | 299.5 | 190.1 | 452.1 | 277.0 | n.d. | n.d. |
| AW | 711.8 | 588.4 | 718.3 | n.d. | n.d. | n.d. | |
| WS | 18.6 | 23.1 | 24.4 | 0.0 | n.d. | n.d. | |
| 2016 | SS | 638.1 | 223.3 | 691.4 | 419.2 | n.d. | n.d. |
| AW | 675.2 | 530.5 | 739.6 | 722.7 | n.d. | n.d. | |
| WS | 119.0 | 276.4 | 86.1 | 51.6 | n.d. | n.d. | |
| 2017 | SS | 766.1 | 365.8 | 882.7 | 453.4 | 403.4 | 299.6 |
| AW | 756.3 | 587.2 | 891.7 | 577.5 | 497.6 | n.d. | |
| WS | 108.3 | 67.8 | 166.2 | 125.0 | 143.2 | 165.3 | |
| Field management | |||||||
| Variety | |||||||
| 2015 | SS | OM6976 | IR50404 | IR50404 | OM6976 | n.d. | n.d. |
| AW | OM5451 | Jasmine | n.d. | n.d. | n.d. | ||
| WS | OM4900 | IR50404 | IR50404 | n.d. | n.d. | ||
| 2016 | SS | OM4900 | IR50404 | IR50404 | n.d. | n.d. | |
| AW | OM5451 | OM5451 | IR50404 | n.d. | n.d. | ||
| WS | OM7347 | IR50404 | OM6976 | n.d. | n.d. | ||
| 2017 | SS | Jasmine | Sticky rice | OM5451 | OM9577 | AGPPS114 | |
| AW | OM4900 | OM5451 | OM5451 | OM5451 | n.d. | ||
| WS | OM4900 | IR50404 | OM5451 | OM5451 | Jasmine 85 | ||
| Inorganic fertilizer | |||||||
| N (kg N ha−1) | 96–264 | 14–37 | 92–159 | 36–95 | 5–13 | 83–117 | |
| P (kg P ha−1) | 110–341 | 25–35 | 120–200 | 60–145 | 8 | 0–120 | |
| K (kg K ha−1) | 30–133 | 5–30 | 0–153 | 29–130 | 8 | 80–150 |
| Accumated Temperature | Precipitation | Total N | Number of N Applications | Average Water Level When N Applied | Crop Period | Final Drainage Period | Duration of Final Drainage | Days of Negative Water Levels | Number of Drainages | Accumulative Negative Water Level | Accumulative Water Level | Average Water Level | Frequency of Pump Operation | Cost of Pump Operation | CH4 Emissions | N2O Emissions | |
|---|---|---|---|---|---|---|---|---|---|---|---|---|---|---|---|---|---|
| Precipitation | 0.405 | ||||||||||||||||
| Total N | 0.125 | −0.128 | |||||||||||||||
| Number of N applications | −0.103 | −0.240 | 0.359 | ||||||||||||||
| Average water level when N applied | −0.154 | 0.035 | −0.142 | −0.040 | |||||||||||||
| Crop period | 0.965 | 0.306 | 0.149 | −0.088 | −0.169 | ||||||||||||
| Final drainage period | 0.363 | 0.188 | 0.338 | −0.007 | 0.199 | ||||||||||||
| Duration of final drainage | 0.693 | 0.163 | −0.113 | −0.084 | −0.326 | −0.375 | |||||||||||
| Days of negative water levels | −0.105 | −0.114 | 0.033 | 0.168 | −0.566 | −0.469 | 0.281 | ||||||||||
| Number of drainages | 0.249 | −0.086 | −0.171 | 0.089 | −0.368 | −0.200 | 0.491 | 0.320 | 0.625 | ||||||||
| Accumulative negative water level | 0.186 | 0.206 | 0.031 | −0.172 | 0.458 | 0.456 | −0.204 | −0.380 | −0.904 | −0.595 | |||||||
| Accumulative water level | 0.103 | 0.142 | 0.127 | −0.198 | 0.573 | 0.491 | −0.262 | −0.273 | −0.720 | −0.476 | 0.641 | ||||||
| Average water level | 0.149 | 0.186 | 0.071 | −0.225 | 0.570 | 0.508 | −0.254 | −0.357 | −0.892 | −0.583 | 0.890 | 0.917 | |||||
| Frequency of pump operation | 0.077 | −0.159 | −0.088 | −0.280 | 0.383 | 0.189 | −0.027 | −0.237 | −0.464 | -0.181 | 0.342 | 0.314 | 0.373 | ||||
| Cost of pump operation | −0.129 | −0.159 | 0.250 | −0.204 | 0.259 | 0.202 | −0.244 | 0.031 | −0.207 | −0.103 | 0.032 | 0.186 | 0.134 | 0.587 | |||
| CH4 emissions | −0.046 | 0.159 | 0.063 | −0.166 | 0.006 | 0.000 | −0.067 | −0.118 | −0.165 | −0.114 | 0.107 | 0.067 | 0.091 | 0.210 | 0.310 | ||
| N2O emissions | −0.019 | −0.212 | −0.068 | 0.060 | 0.139 | 0.021 | 0.111 | −0.065 | 0.013 | 0.039 | −0.111 | −0.079 | −0.097 | 0.131 | 0.122 | 0.054 | |
| Rice Yield | 0.112 | −0.214 | 0.234 | −0.123 | −0.341 | 0.021 | 0.143 | 1.000 | 0.410 | 0.320 | −0.380 | −0.273 | −0.357 | −0.237 | 0.031 | −0.118 | 0.128 |
| Rice Yield | CH4 Emissions | N2O Emissions | ||||||||||||||
|---|---|---|---|---|---|---|---|---|---|---|---|---|---|---|---|---|
| Df | Sum Sq | Mean Sq | F Value | Pr (>F) | Sum Sq | Mean Sq | F Value | Pr (>F) | Sum Sq | Mean Sq | F Value | Pr (>F) | ||||
| Season | 2 | 12.35 | 6.173 | 2.928 | 0.0608 | ns | 12.9 | 6.451 | 1.207 | 0.3058 | ns | 42.7 | 42.7 | 3.664 | 0.0605 | ns |
| Water management | 1 | 17.09 | 17.092 | 8.956 | 0.00385 | ** | 61.7 | 61.7 | 11.61 | 0.00111 | ** | 0.3 | 0.32 | 0.03 | 0.8633 | ns |
| Soil type | 1 | 6.66 | 6.663 | 3.16 | 0.0803 | ns | 21.8 | 21.794 | 4.079 | 0.0477 | * | 14 | 6.99 | 0.6 | 0.5523 | ns |
| Water management × soil type | 1 | 34 | 34 | 6.398 | 0.01375 | ** | 0.13 | 0.126 | 0.066 | 0.79811 | ns | 3.9 | 3.94 | 0.367 | 0.5469 | ns |
| Residuals | 63 | 132.84 | 2.109 | 336.6 | 5.343 | 675.9 | 11.65 | |||||||||
Publisher’s Note: MDPI stays neutral with regard to jurisdictional claims in published maps and institutional affiliations. |
© 2022 by the authors. Licensee MDPI, Basel, Switzerland. This article is an open access article distributed under the terms and conditions of the Creative Commons Attribution (CC BY) license (https://creativecommons.org/licenses/by/4.0/).
Share and Cite
Ogawa, S.; Yamamoto, K.; Uno, K.; Thuan, N.C.; Togami, T.; Shindo, S. Optimal Water Level Management for Mitigating GHG Emissions through Water-Conserving Irrigation in An Giang Province, Vietnam. Sensors 2022, 22, 8418. https://doi.org/10.3390/s22218418
Ogawa S, Yamamoto K, Uno K, Thuan NC, Togami T, Shindo S. Optimal Water Level Management for Mitigating GHG Emissions through Water-Conserving Irrigation in An Giang Province, Vietnam. Sensors. 2022; 22(21):8418. https://doi.org/10.3390/s22218418
Chicago/Turabian StyleOgawa, Satoshi, Kyosuke Yamamoto, Kenichi Uno, Nguyen Cong Thuan, Takashi Togami, and Soji Shindo. 2022. "Optimal Water Level Management for Mitigating GHG Emissions through Water-Conserving Irrigation in An Giang Province, Vietnam" Sensors 22, no. 21: 8418. https://doi.org/10.3390/s22218418
APA StyleOgawa, S., Yamamoto, K., Uno, K., Thuan, N. C., Togami, T., & Shindo, S. (2022). Optimal Water Level Management for Mitigating GHG Emissions through Water-Conserving Irrigation in An Giang Province, Vietnam. Sensors, 22(21), 8418. https://doi.org/10.3390/s22218418

