Energy-Efficient Cooperative Spectrum Sensing Using Machine Learning Algorithm
Abstract
1. Introduction
- With the premise of a high global detection probability and a low global false alarm probability, a set of parameters for the CSS algorithm which lowers the energy consumption of the distributed sensor networks can be determined using ML.
- A neural network is constructed to select the appropriate sleeping rates and thresholds of energy detection for sensor systems with different SNRs. A custom loss function is introduced that quantifies the performance of spectrum sensing.
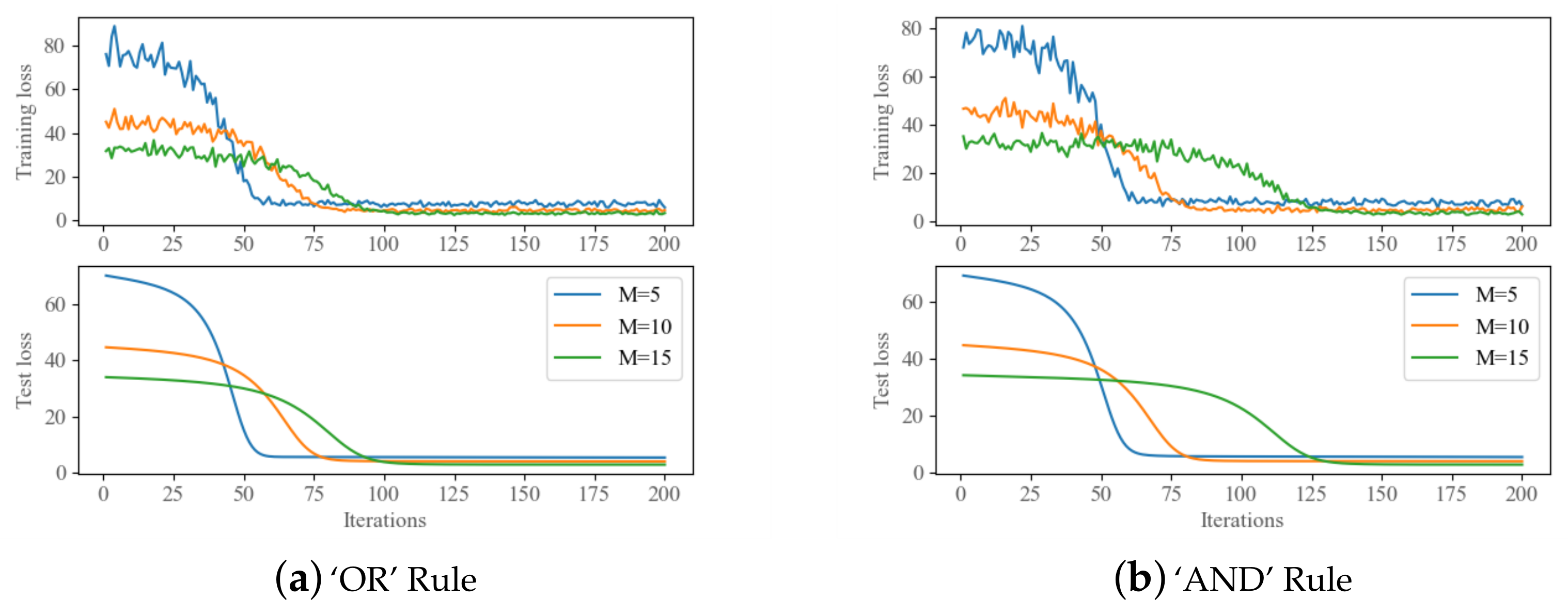
- Under the ‘OR’ and the ‘AND’ fusion rules, performances with the proposed method are compared with that of the traditional method.
2. Related Works
3. Model and Problem Formulation
3.1. CRSN Model with a Combined Sleeping and Censoring Scheme
3.2. Problem Formulation
4. Proposed Machine Learning Algorithm and Dataset
4.1. Proposed Machine Learning Algorithm
4.1.1. Neural Network Structure Design
4.1.2. NN-Based Constrainted Optimization for Spectrum Sensing
4.2. Dataset
5. Numerical Results and Analysis
5.1. Validation of the Designed Neural Network
5.1.1. Loss Iteration
5.1.2. Performance Validation
5.2. Proposed Neural Network vs. Traditional Semi-Analytic Method
5.2.1. Complexity Analysis
5.2.2. Cooperative Spectrum Sensing Performance
5.2.3. Robustness Comparision
6. Conclusions
Author Contributions
Funding
Institutional Review Board Statement
Informed Consent Statement
Data Availability Statement
Acknowledgments
Conflicts of Interest
Abbreviations
| FCC | Federal Communications Commission |
| DSA | Dynamic Spectrum Access |
| CR | Cognitive Radio |
| PU | Primary User |
| SU | Secondary User |
| ED | Energy Detection |
| CRSN | Cognitive Radio Sensor Network |
| CSS | Cooperative Spectrum Sensing |
| SH | Spectrum Hole |
| ML | Machine Learning |
| DL | Deep Learning |
| NN | Neural Network |
| RL | Reinforcement learning |
References
- Salahdine, F. Spectrum Sensing Techniques For Cognitive Radio Networks. arXiv 2017, arXiv:1710.02668. [Google Scholar]
- Spectrum Policy Task Force. 2015. Available online: https://www.fcc.gov/document/spectrum-policy-task-force (accessed on 23 September 2022).
- Chiwewe, T.M.; Mbuya, C.F.; Hancke, G.P. Using Cognitive Radio for Interference-Resistant Industrial Wireless Sensor Networks: An Overview. IEEE Trans. Ind. Inform. 2015, 11, 1466–1481. [Google Scholar] [CrossRef]
- Patil, S. A Comparative Analysis of Optimization Techniques in Cognitive Radio (QoS). Int. J. Eng. Adv. Technol. (IJEAT) 2017, 6, 97–102. [Google Scholar]
- Ahmad, A.W.; Yang, H.; Lee, C. Maximizing Throughput with Wireless Spectrum Sensing Network Assisted Cognitive Radios. Int. J. Distrib. Sens. Netw. 2015, 11, 195794. [Google Scholar] [CrossRef]
- Shi, G.; Li, K. Signal Interference in WiFi and ZigBee Networks; Springer: Berlin/Heidelberg, Germany, 2017. [Google Scholar]
- Kaschel, H.; Toledo, K.; Gómez, J.T.; García, M.J.F.G. Energy-Efficient Cooperative Spectrum Sensing Based on Stochastic Programming in Dynamic Cognitive Radio Sensor Networks. IEEE Access 2021, 9, 720–732. [Google Scholar] [CrossRef]
- Lunden, J.; Koivunen, V.; Huttunen, A.; Poor, H.V. Collaborative Cyclostationary Spectrum Sensing for Cognitive Radio Systems. IEEE Trans. Signal Process. 2009, 57, 4182–4195. [Google Scholar] [CrossRef]
- Maleki, S.; Pandharipande, A.; Leus, G. Energy-Efficient Distributed Spectrum Sensing for Cognitive Sensor Networks. IEEE Sens. J. 2011, 11, 565–573. [Google Scholar] [CrossRef]
- Maleki, S.; Leus, G.; Chatzinotas, S.; Ottersten, B. To AND or To OR: How Shall the Fusion Center Rule in Energy-Constrained Cognitive Radio Networks? In Proceedings of the 2014 IEEE International Conference on Communications (ICC), Sydney, NSW, Australia, 10–14 June 2014; pp. 1632–1637. [Google Scholar]
- Maleki, S.; Leus, G.; Chatzinotas, S.; Ottersten, B. To AND or To OR: On Energy-Efficient Distributed Spectrum Sensing With Combined Censoring and Sleeping. IEEE Trans. Wirel. Commun. 2015, 14, 4508–4521. [Google Scholar] [CrossRef]
- Rajendran, R.; Kalidasan, A.; Rajan, B.C. Convergence of AI, ML, and DL for Enabling Smart Intelligence: Artificial Intelligence, Machine Learning, Deep Learning, Internet of Things. In Challenges and Opportunities for the Convergence of IoT, Big Data, and Cloud Computing; IGI Global: Pennsylvania, PA, USA, 2021; pp. 180–195. [Google Scholar]
- He, H.; Jiang, H. Deep Learning Based Energy Efficiency Optimization for Distributed Cooperative Spectrum Sensing. IEEE Wirel. Commun. 2019, 26, 32–39. [Google Scholar] [CrossRef]
- Kay, S.M. Fundamentals of Statistical Signal Processing: Estimation Theory; Prentice-Hall, Inc.: Hoboken, NJ, USA, 1993. [Google Scholar]
- Jin, M.; Guo, Q.; Xi, J.; Li, Y.; Yu, Y.; Huang, D. Spectrum sensing using weighted covariance matrix in Rayleigh fading channels. IEEE Trans. Veh. Technol. 2014, 64, 5137–5148. [Google Scholar] [CrossRef]
- Shakir, M.Z.; Rao, A.; Alouini, M.S. Generalized mean detector for collaborative spectrum sensing. IEEE Trans. Commun. 2013, 61, 1242–1253. [Google Scholar] [CrossRef]
- Axell, E.; Leus, G.; Larsson, E.G.; Poor, H.V. Spectrum Sensing for Cognitive Radio: State-of-the-Art and Recent Advances. IEEE Signal Process. Mag. 2012, 29, 101–116. [Google Scholar] [CrossRef]
- Cichoń, K.; Kliks, A.; Bogucka, H. Energy-Efficient Cooperative Spectrum Sensing: A Survey. IEEE Commun. Surv. Tutor. 2016, 18, 1861–1886. [Google Scholar] [CrossRef]
- Zhang, W.; Mallik, R.K.; Letaief, K.B. Optimization of cooperative spectrum sensing with energy detection in cognitive radio networks. IEEE Trans. Wirel. Commun. 2009, 8, 5761–5766. [Google Scholar] [CrossRef]
- Ma, J.; Zhao, G.; Li, Y. Soft combination and detection for cooperative spectrum sensing in cognitive radio networks. IEEE Trans. Wirel. Commun. 2008, 7, 4502–4507. [Google Scholar]
- Tong, J.; Jin, M.; Guo, Q.; Li, Y. Cooperative spectrum sensing: A blind and soft fusion detector. IEEE Trans. Wirel. Commun. 2018, 17, 2726–2737. [Google Scholar] [CrossRef]
- Armi, N.; Saad, N.M.; Arshad, M. Hard decision fusion based cooperative spectrum sensing in cognitive radio system. ITB J. Inf. Commun. Technol. 2009, 3, 109–122. [Google Scholar]
- Nallagonda, S.; Kumar, Y.R.; Shilpa, P. Analysis of Hard-Decision and Soft-Data Fusion Schemes for Cooperative Spectrum Sensing in Rayleigh Fading Channel. In Proceedings of the 2017 IEEE 7th International Advance Computing Conference (IACC), Hyderabad, India, 5–7 January 2017; pp. 220–225. [Google Scholar]
- Varshney, P.K. Distributed Detection and Data Fusion; Springer Science & Business Media: Berlin/Heidelberg, Germany, 2012. [Google Scholar]
- Wang, P.; Xiao, L.; Zhou, S.; Wang, J. Optimization of detection time for channel efficiency in cognitive radio systems. In Proceedings of the 2007 IEEE Wireless Communications and Networking Conference, Hong Kong, China, 11–15 March 2007; pp. 111–115. [Google Scholar]
- Cabric, D.; Mishra, S.; Brodersen, R. Implementation Issues in Spectrum Sensing for Cognitive Radios. In Proceedings of the Conference Record of the Thirty-Eighth Asilomar Conference on Signals, Systems and Computers, Pacific Grove, CA, USA, 7–10 November 2004; Volume 1, pp. 772–776. [Google Scholar]
- Tandra, R.; Sahai, A. SNR Walls for Signal Detection. IEEE J. Sel. Top. Signal Process. 2008, 2, 4–17. [Google Scholar] [CrossRef]
- Mishra, S.M.; Sahai, A.; Brodersen, R.W. Cooperative Sensing among Cognitive Radios. In Proceedings of the 2006 IEEE International Conference on Communications, Istanbul, Turkey, 11–15 June 2006; Volume 4, pp. 1658–1663. [Google Scholar]
- Appadwedula, S.; Veeravalli, V.V.; Jones, D.L. Decentralized Detection With Censoring Sensors. IEEE Trans. Signal Process. 2008, 56, 1362–1373. [Google Scholar] [CrossRef]
- Appadwedula, S.; Veeravalli, V.; Jones, D. Energy-Efficient Detection in Sensor Networks. IEEE J. Sel. Areas Commun. 2005, 23, 693–702. [Google Scholar] [CrossRef]
- Rago, C.; Willett, P.; Bar-Shalom, Y. Censoring Sensors: A Low-Communication-Rate Scheme for Distributed Detection. IEEE Trans. Aerosp. Electron. Syst. 1996, 32, 554–568. [Google Scholar] [CrossRef]
- Sun, C.; Zhang, W.; Ben Letaief, K. Cooperative Spectrum Sensing for Cognitive Radios under Bandwidth Constraints. In Proceedings of the 2007 IEEE Wireless Communications and Networking Conference, Hong Kong, China, 11–15 March 2007; pp. 1–5. [Google Scholar]
- Johnson, J.; Alahi, A.; Fei-Fei, L. Perceptual Losses for Real-Time Style Transfer and Super-Resolution. In Proceedings of the Computer Vision—ECCV 2016; Leibe, B., Matas, J., Sebe, N., Welling, M., Eds.; Lecture Notes in Computer Science; Springer International Publishing: Cham, Switzerland, 2016; pp. 694–711. [Google Scholar]
- Bayati, S.; Jabbarvaziri, F. Learning to Optimize Under Constraints with Unsupervised Deep Neural Networks. arXiv 2021, arXiv:2101.00744. [Google Scholar]
- Li, K.; Malik, J. Learning to Optimize. arXiv 2016, arXiv:1606.01885. [Google Scholar]
- Cappart, Q.; Moisan, T.; Rousseau, L.M.; Prémont-Schwarz, I.; Cire, A.A. Combining Reinforcement Learning and Constraint Programming for Combinatorial Optimization. Proc. AAAI Conf. Artif. Intell. 2021, 35, 3677–3687. [Google Scholar] [CrossRef]
- Miagkikh, V.V.; Punch, W.F. An Approach to Solving Combinatorial Optimization Problems Using a Population of Reinforcement Learning Agents. In Proceedings of the 1st Annual Conference on Genetic and Evolutionary Computation—Volume 2, Orlando, FL, USA, 13–17 July 1999; pp. 1358–1365. [Google Scholar]
- Xia, W.; Zheng, G.; Zhu, Y.; Zhang, J.; Wang, J.; Petropulu, A.P. A Deep Learning Framework for Optimization of MISO Downlink Beamforming. IEEE Trans. Commun. 2020, 68, 1866–1880. [Google Scholar] [CrossRef]
- Stephan, T.; Al-Turjman, F.; Balusamy, B. Energy and spectrum aware unequal clustering with deep learning based primary user classification in cognitive radio sensor networks. Int. J. Mach. Learn. Cybern. 2021, 12, 3261–3294. [Google Scholar] [CrossRef]
- Lee, W.; Kim, M.; Cho, D.H. Deep cooperative sensing: Cooperative spectrum sensing based on convolutional neural networks. IEEE Trans. Veh. Technol. 2019, 68, 3005–3009. [Google Scholar] [CrossRef]
- Zhu, J.; Song, Y.; Jiang, D.; Song, H. Multi-armed bandit channel access scheme with cognitive radio technology in wireless sensor networks for the internet of things. IEEE Access 2016, 4, 4609–4617. [Google Scholar] [CrossRef]
- Ning, W.; Huang, X.; Yang, K.; Wu, F.; Leng, S. Reinforcement learning enabled cooperative spectrum sensing in cognitive radio networks. J. Commun. Netw. 2020, 22, 12–22. [Google Scholar] [CrossRef]
- Cybenko, G. Approximations by superpositions of a sigmoidal function. Math. Control. Signals Syst. 1989, 2, 183–192. [Google Scholar] [CrossRef]
- Hornik, K. Approximation capabilities of multilayer feedforward networks. Neural Netw. 1991, 4, 251–257. [Google Scholar] [CrossRef]
- Hinton, G.E.; Osindero, S.; Teh, Y.W. A fast learning algorithm for deep belief nets. Neural Comput. 2006, 18, 1527–1554. [Google Scholar] [CrossRef]
- Karsoliya, S. Approximating number of hidden layer neurons in multiple hidden layer BPNN architecture. Int. J. Eng. Trends Technol. 2012, 3, 714–717. [Google Scholar]
- Chicco, D.; Warrens, M.J.; Jurman, G. The Coefficient of Determination R-squared Is More Informative than SMAPE, MAE, MAPE, MSE and RMSE in Regression Analysis Evaluation. PeerJ Comput. Sci. 2021, 7, e623. [Google Scholar] [CrossRef]
- Shahin, F. ZigBee Wireless Networks and Transceivers; Newnes: Burlington, MA, USA, 2008. [Google Scholar]






| Rule | Global Probability of Detection | Global Probability of False Alarm |
|---|---|---|
| ‘OR’ Rule | ||
| ‘AND’ Rule |
| Symbol | Description | Value |
|---|---|---|
| N | Number of samples | 5 |
| M | Number of sensors/cognitive radios | 5, 10, 15 |
| Average SNR | Average signal-to-noise ratio of the sensors | dB |
| Sleeping rate of the j-th sensor | ||
| Lower threshold in Energy Detection | ||
| Upper threshold in Energy Detection | ||
| d | Distance between sensors and FC | 70 m |
| Sensing energy in N Samples | 190 nJ | |
| Transmission energy in d m distance per bit decision | 278 nJ |
Publisher’s Note: MDPI stays neutral with regard to jurisdictional claims in published maps and institutional affiliations. |
© 2022 by the authors. Licensee MDPI, Basel, Switzerland. This article is an open access article distributed under the terms and conditions of the Creative Commons Attribution (CC BY) license (https://creativecommons.org/licenses/by/4.0/).
Share and Cite
Wu, Q.; Ng, B.K.; Lam, C.-T. Energy-Efficient Cooperative Spectrum Sensing Using Machine Learning Algorithm. Sensors 2022, 22, 8230. https://doi.org/10.3390/s22218230
Wu Q, Ng BK, Lam C-T. Energy-Efficient Cooperative Spectrum Sensing Using Machine Learning Algorithm. Sensors. 2022; 22(21):8230. https://doi.org/10.3390/s22218230
Chicago/Turabian StyleWu, Qingying, Benjamin K. Ng, and Chan-Tong Lam. 2022. "Energy-Efficient Cooperative Spectrum Sensing Using Machine Learning Algorithm" Sensors 22, no. 21: 8230. https://doi.org/10.3390/s22218230
APA StyleWu, Q., Ng, B. K., & Lam, C.-T. (2022). Energy-Efficient Cooperative Spectrum Sensing Using Machine Learning Algorithm. Sensors, 22(21), 8230. https://doi.org/10.3390/s22218230

