A Triple-Band Reflective Polarization Conversion Metasurface with High Polarization Conversion Ratio for Ism and X-Band Applications
Abstract
1. Introduction
2. Design and Simulation Analysis
2.1. Unit Cell Configuration
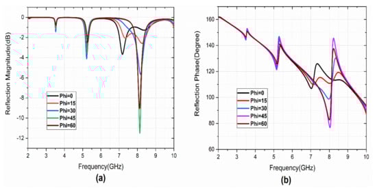
2.2. Response to the Incident Angle and Polarization Angle Variation
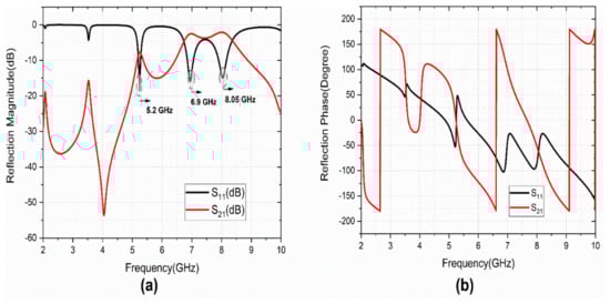
2.3. Analysis with TE and TM Incident Wave
2.4. Analysis of Surface Current Distribution
Performance Analysis
3. Experimental Setup and Results
4. Conclusions
Author Contributions
Funding
Institutional Review Board Statement
Informed Consent Statement
Data Availability Statement
Conflicts of Interest
References
- Bukhari, S.S.; Vardaxoglou, J.; Whittow, W. A Metasurfaces Review: Definitions and Applications. Appl. Sci. 2019, 9, 2727. [Google Scholar] [CrossRef]
- Hsu, W.-L.; Chen, Y.-C.; Yeh, S.P.; Zeng, Q.-C.; Huang, Y.-W.; Wang, C.-M. Review of Metasurfaces and Meta devices: Advantages of Different Materials and Fabrications. Nanomaterials 2022, 12, 1973. [Google Scholar] [CrossRef]
- Zhang, L.; Mei, S.; Huang, K.; Qiu, C.-W. Advances in Full Control of Electromagnetic Waves with Metasurfaces. Adv. Opt. Mater. 2016, 4, 818–833. [Google Scholar] [CrossRef]
- Liang, Y.; Lin, H.; Koshelev, K.; Zhang, F.; Yang, Y.; Wu, J.; Kivshar, Y.; Jia, B. Full-stokes polarization perfect absorption with diatomic metasurfaces. Nano Lett. 2021, 21, 1090–1095. [Google Scholar] [CrossRef]
- Alwareth, H.; Ibrahim, I.M.; Zakaria, Z.; Al-Gburi, A.J.A.; Ahmed, S.; Nasser, Z.A. A wideband high-gain microstrip array antenna integrated with frequency-selective surface for Sub-6 GHz 5G applications. Micromachines 2022, 13, 1215. [Google Scholar] [CrossRef]
- Sun, Z.; Liu, R.; Cao, H.; Gong, H.; Du, M.; Li, S. Dual-Axis Metasurface Strain Sensor Based on Polarization–Phase-Deformation Relationship. Sensors 2020, 20, 1307. [Google Scholar] [CrossRef]
- Pang, K.; Alam, M.Z.; Zhou, Y.; Liu, C.; Reshef, O.; Manukyan, K.; Voegtle, M.; Pennathur, A.; Tseng, C.; Su, X.; et al. Adiabatic frequency conversion using a time-varying epsilon-near-zero metasurface. Nano Lett. 2021, 21, 5907–5913. [Google Scholar] [CrossRef]
- Majeed, A.; Zhang, J.; Ashraf, M.A.; Memon, S.; Mohammadani, K.H.; Ishfaq, M.; Sun, M. An Ultra-Wideband Linear-to-Circular Polarization Converter Based on a Circular, Pie-Shaped Reflective Metasurface. Electronics 2022, 11, 1681. [Google Scholar] [CrossRef]
- Sakda, N.; Chitaree, R.; Rahman, B.M.A. Reflective Terahertz Metasurfaces Based on Non-Volatile Phase Change Material for Switchable Manipulation. Photonics 2022, 9, 508. [Google Scholar] [CrossRef]
- Rahman, B.M.A.; Viphavakit, C.; Chitaree, R.; Ghosh, S.; Pathak, A.K.; Verma, S.; Sakda, N. Optical Fiber, Nanomaterial, and THz-Metasurface-Mediated Nano-Biosensors: A Review. Biosensors 2022, 12, 42. [Google Scholar] [CrossRef] [PubMed]
- Ullah, N.; Zhao, R.; Huang, L. Recent Advancement in Optical Metasurface: Fundament to Application. Micromachines 2022, 13, 1025. [Google Scholar] [CrossRef] [PubMed]
- Li, X.; Wang, Y.; Fan, J.; He, J.; Huang, X. Ultra-Thin/Wide-Band Polarization Conversion Metasurface and Its Applications in Anomalous Reflection and RCS Reduction. Appl. Sci. 2022, 12, 7696. [Google Scholar] [CrossRef]
- Sui, R.; Wang, J.; Xu, Y.; Feng, D. An X-Band Reflective Active Polarization Conversion Metasurface. Electronics 2022, 11, 2847. [Google Scholar] [CrossRef]
- Mohanty, A.; Behera, B.R.; Esselle, K.P.; Alsharif, M.H.; Jahid, A.; Mohsan, S.A.H. Investigation of a Dual-Layer Metasurface-Inspired Fractal Antenna with Dual-Polarized/-Modes for 4G/5G Applications. Electronics 2022, 11, 2371. [Google Scholar] [CrossRef]
- Tian, Y.; Han, L.; Yan, L.; Wang, J.; Zhang, B.; Jiao, Z. Optically Controlled Terahertz Multifunctional Polarization Conversion Metasurface with Reflection and Transmission Modes. Micromachines 2022, 13, 1387. [Google Scholar] [CrossRef] [PubMed]
- Ahmad, T.; Rahim, A.A.; Bilal, R.M.H.; Noor, A.; Maab, H.; Naveed, M.A.; Madni, A.; Ali, M.M.; Saeed, M.A. Ultrawideband Cross-Polarization Converter Using Anisotropic Reflective Metasurface. Electronics 2022, 11, 487. [Google Scholar] [CrossRef]
- Mao, C.; Yang, Y.; He, X.; Zheng, J.; Zhou, C. Broadband Reflective Multi-Polarization Converter Based on Single-Layer Double-L-Shaped Metasurface. Appl. Phys. A 2017, 123, 767. [Google Scholar] [CrossRef]
- Gao, X.; Han, X.; Cao, W.-P.; Li, H.O.; Ma, H.F.; Cui, T.J. Ultrawideband and High-Efficiency Linear Polarization Converter Based on Double V-Shaped Metasurface. IEEE Trans. Antennas Propag. 2015, 63, 3522–3530. [Google Scholar] [CrossRef]
- Zheng, Q.; Guo, C.; Ding, J. Wideband Metasurface-Based Reflective Polarization Converter for Linear-to-Linear and Linear-to-Circular Polarization Conversion. IEEE Antennas Wirel. Propag. Lett. 2018, 17, 1459–1463. [Google Scholar] [CrossRef]
- Kamal, B.; Chen, J.; Yin, Y.; Ren, J.; Ullah, S.; Ali, U. Design and Experimental Analysis of Dual-Band Polarization Converting Metasurface. IEEE Antennas Wirel. Propag. Lett. 2021, 20, 1409–1413. [Google Scholar] [CrossRef]
- Wu, P.C.; Zhu, W.; Shen, Z.X.; Chong, P.H.J.; Ser, W.; Tsai, D.P.; Liu, A.-Q. Broadband wide-angle multifunctional polarization converter via liquid-metal-based metasurface. Adv. Opt. Mater. 2017, 5, 1600938. [Google Scholar] [CrossRef]
- Li, W.; Xia, S.; He, B.; Chen, J.; Shi, H.; Zhang, A.; Li, Z.; Xu, Z. A Reconfigurable Polarization Converter Using Active Metasurface and Its Application in Horn Antenna. IEEE Trans. Antennas Propag. 2016, 64, 5281–5290. [Google Scholar] [CrossRef]
- Sun, S.; Jiang, W.; Gong, S.; Hong, T. Reconfigurable Linear-to-Linear Polarization Conversion Metasurface Based on PIN Diodes. IEEE Antennas Wirel. Propag. Lett. 2018, 17, 1722–1726. [Google Scholar] [CrossRef]
- Liu, X.; Zhang, J.; Li, W.; Lu, R.; Li, L.; Xu, Z.; Zhang, A. Three-Band Polarization Converter Based on Reflective Metasurface. IEEE Antennas Wirel. Propag. Lett. 2017, 16, 924–927. [Google Scholar] [CrossRef]
- Huang, X.; Yang, H.; Zhang, D.; Luo, Y. Ultrathin Dual-Band Metasurface Polarization Converter. IEEE Trans. Antennas Propag. 2019, 67, 4636–4641. [Google Scholar] [CrossRef]
- Yang, Z.; Yu, S.; Kou, N.; Long, F.; Ding, Z.; Zhang, Z. Ultrathin Tri-Band Reflective Cross-Polarization Artificial Electromagnetic Metasurface. J. Electromagn. Waves Appl. 2020, 34, 1491–1501. [Google Scholar] [CrossRef]
- Lin, B.Q.; Guo, J.X.; Chu, P.; Huo, W.J.; Xing, Z.; Huang, B.G.; Wu, L. Multiple-band Linear-Polarization Conversion and Circular Polarization In Reflection Mode Using Asymmetric Anisotropic Metasurface. Phys. Rev. Appl. 2018, 9, 024038. [Google Scholar] [CrossRef]
- Wu, L.P.; Fang, Q.H.; Pan, W.K.; Li, M.H.; Dong, J.F. Realization of Cross-Polarization Conversion for Linearly Polarized Waves in Multiband by Orthotropic Metasurface. J. Electromagn. Waves Appl. 2022, 36, 101–114. [Google Scholar] [CrossRef]
- Yuan, L.; Hou, L.; Zhang, Z. Triple-Band Highly Efficient Multi-Polarization Converter Based on Reflective Metasurface. Prog. Electromagn. Res. M 2021, 102, 127–135. [Google Scholar] [CrossRef]
- Ghosh, S.; Ghosh, J.; Singh, M.S.; Sarkhel, A. A Low-Profile Multifunctional Metasurface Reflector for Multiband Polarization Transformation. IEEE Trans. Circuits Syst. II Express Briefs 2022. [Google Scholar] [CrossRef]















| Ref. No | Substrate | Unit Cell Size (L × W × h) λ03 | PCR (%) | Frequency (GHz) | Conversion Type |
|---|---|---|---|---|---|
| [24] | FR4 | 0.128 × 0.128 × 0.128 | _ | 9.1–16.5, 20–25.4, 17.4–18.9 | Cross-polarization LP-CP |
| [25] | FR4 | 0.19 × 0.19 × 0.049 | >86 | 4.47–5.35 9.45–13.60 | Cross-polarization LP-CP LP-LP |
| [26] | F4B | 0.285 × 0.285 × 0.071 | >90 | 10.75, 19.65, 27.35 | Cross-polarization LP-LP |
| [27] | RT Duroid 4730 | 0.186 × 0.186 × 0.055 | ≥80 | 4.34–4.98, 6.77–6.97, 8.25–8.69, 10.72–15.56 | Cross-polarization LP-CP |
| [28] | F4B-2 | 0.28 × 0.28 × 0.084 | ≥90 | 4.60–12.27, 13.79–13.90, 14.61–14.69, 15.44–15.52 | Cross-polarization LP-LP |
| [29] | F4B | 0.152 × 0.152 × 0.038 | >90 | 5.7,8.8,14.85 | Multi polarization CP-LP, LP-CP LP-LP |
| [30] | Rogers RO 40003 | 0.5 × 60.56 × 0.034 | >90 | 5.30–5.41, 5.77–7.58, 9.27–13.91, 17.53–19.59 | Multifunctional LP-LP LP-CP |
| Prop. Work | FR4 | 0.173 × 0.173 × 0.027 | >92 | 5.2, 6.9, 8.05 | Cross-Polarization LP-LP |
Publisher’s Note: MDPI stays neutral with regard to jurisdictional claims in published maps and institutional affiliations. |
© 2022 by the authors. Licensee MDPI, Basel, Switzerland. This article is an open access article distributed under the terms and conditions of the Creative Commons Attribution (CC BY) license (https://creativecommons.org/licenses/by/4.0/).
Share and Cite
Babu, B.A.; Madhav, B.T.P.; Das, S.; Hussain, N.; Ali, S.S.; Kim, N. A Triple-Band Reflective Polarization Conversion Metasurface with High Polarization Conversion Ratio for Ism and X-Band Applications. Sensors 2022, 22, 8213. https://doi.org/10.3390/s22218213
Babu BA, Madhav BTP, Das S, Hussain N, Ali SS, Kim N. A Triple-Band Reflective Polarization Conversion Metasurface with High Polarization Conversion Ratio for Ism and X-Band Applications. Sensors. 2022; 22(21):8213. https://doi.org/10.3390/s22218213
Chicago/Turabian StyleBabu, Badisa Anil, Boddapati Taraka Phani Madhav, Sudipta Das, Niamat Hussain, Syed Samser Ali, and Nam Kim. 2022. "A Triple-Band Reflective Polarization Conversion Metasurface with High Polarization Conversion Ratio for Ism and X-Band Applications" Sensors 22, no. 21: 8213. https://doi.org/10.3390/s22218213
APA StyleBabu, B. A., Madhav, B. T. P., Das, S., Hussain, N., Ali, S. S., & Kim, N. (2022). A Triple-Band Reflective Polarization Conversion Metasurface with High Polarization Conversion Ratio for Ism and X-Band Applications. Sensors, 22(21), 8213. https://doi.org/10.3390/s22218213

