Optimization of Bit Allocation for Spatial Multiplexing in MIMO VLC System with Smartphones
Abstract
1. Introduction
2. System Model
2.1. VLC Modulation
2.2. Detection of Physical Channels
2.3. Power Allocation
3. WF-Based Bit Allocation
| Algorithm 1. WF-based bit allocation algorithm. |
| 1: Initialization: 2: Calculate for each k 3: While do 4: k’ = arg max() 5: If < 0 then break and output failure; 5: = − 1; 6: 7: 8: end while 9: Output: |
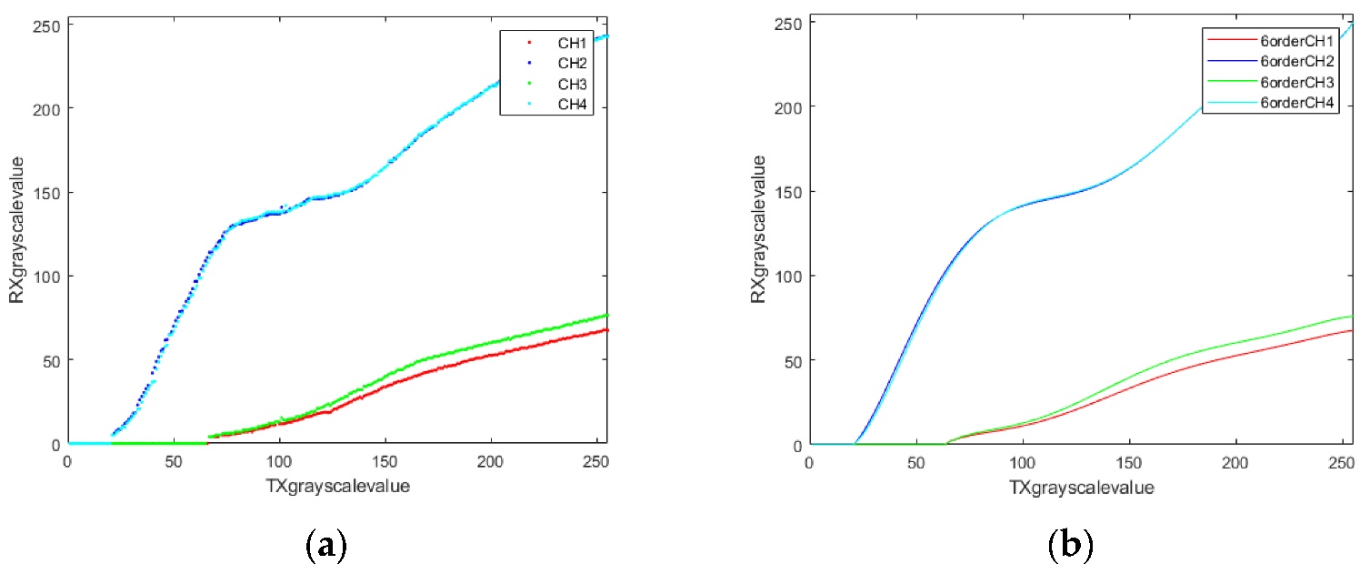
4. Experimental Results
5. Conclusions
Author Contributions
Funding
Conflicts of Interest
References
- Tariq, F.; Khandaker, M.R.A.; Wong, K.-K.; Imran, M.; Bennis, M.; Debbah, M. A Speculative Study on 6G. IEEE Wirel. Commun. 2020, 27, 118–125. [Google Scholar] [CrossRef]
- Chataut, R.; Akl, R. Massive MIMO Systems for 5G and beyond Networks—Overview, Recent Trends, Challenges, and Future Research Direction. Sensors 2020, 20, 2753. [Google Scholar] [CrossRef] [PubMed]
- Akyildiz, I.F.; Han, C.; Nie, S. Combating the Distance Problem in the Millimeter Wave and Terahertz Frequency Bands. IEEE Commun. Mag. 2018, 56, 102–108. [Google Scholar] [CrossRef]
- Hu, S.; Rusek, F.; Edfors, O. Beyond Massive MIMO: The Potential of Data Transmission with Large Intelligent Surfaces. IEEE Trans. Signal Process. 2018, 66, 2746–2758. [Google Scholar] [CrossRef]
- Zhang, Z.; Xiao, Y.; Ma, Z.; Xiao, M.; Ding, Z.; Lei, X.; Karagiannidis, G.K.; Fan, P. 6G Wireless Networks: Vision, Requirements, Architecture, and Key Technologies. IEEE Veh. Technol. Mag. 2019, 14, 28–41. [Google Scholar] [CrossRef]
- Khalid, A.; Asif, H.M.; Kostromitin, K.I.; Otaibi, S.; Huq, K.M.; Rodriguez, J. Doubly Orthogonal Wavelet Packets for Multi-Users Indoor Visible Light Communication Systems. Photonics 2019, 6, 85. [Google Scholar] [CrossRef]
- Won, E.T.; Al, E.T. Visible Light Communication: Tutorial; IEEE 802.15; IEEE: Pittsburgh, PA, USA, 2008. [Google Scholar]
- Yesilkaya, A.; Cogalan, T.; Erkucuk, S.; Sadi, Y.; Panayirci, E.; Haas, H.; Vincent, H.P. Physical-Layer Security in Visible Light Communications. In Proceedings of the 2nd 6G Wireless Summit (6G SUMMIT), Levi, Finland, 17–20 March 2020. [Google Scholar]
- Rajagopal, S.; Electronics, S.; Richard, D.; Intel, R.; Lim, S.K. IEEE 802.15.7 Visible Light Communication: Modulation Schemes and Dimming Support. IEEE Commun. Mag. 2012, 50, 72–78. [Google Scholar] [CrossRef]
- Gong, C.; Li, S.; Gao, Q.; Xu, Z. Power and Rate Optimization for Visible Light Communication System with Lighting Constraint. IEEE Trans. Signal Process. 2015, 63, 4245–4256. [Google Scholar] [CrossRef]
- Ying, K.; Qian, H.; Baxley, R.J.; Yao, S. Joint Optimization of Precoder and Equalizer in MIMO VLC Systems. IEEE J. Sel. Areas Commun. 2015, 33, 1949–1958. [Google Scholar] [CrossRef]
- Chaleshtori, Z.N.; Ghassemlooy, O.Z.; Eldeeb, H.B.; Uysal, M.; Zvanovec, S. Utilization of an OLED-Based VLC System in Office, Corridor, and Semi-Open Corridor Environments. Sensors 2020, 20, 6869. [Google Scholar] [CrossRef] [PubMed]
- Pham, T.V.; Le-Minh, H.; Pham, A.T. Multi-User Visible Light Communication Broadcast Channels with Zero-Forcing Precoding. IEEE Trans. Consum. 2017, 65, 2509–2521. [Google Scholar] [CrossRef]
- Park, K.-H.; Ko, Y.-C.; Alouini, M.-S. On the Power and Offset Allocation for Rate Adaptation of Spatial Multiplexing in Optical Wireless MIMO Channels. IEEE Trans. Commun. 2013, 61, 1534–1543. [Google Scholar]
- Sun, Z.; Zhu, Y.; Zhang, Y. The DMT-Based Bit-Power Allocation Algorithms in the Visible Light Communication. In Proceedings of the 2012 Second International Conference on Business Computing and Global Informatization, Shanghai, China, 12–14 October 2012; pp. 572–575. [Google Scholar]
- Viñals, R.; Muñoz, O.; Agustín de Dios, A.; Vidal Manzano, J. Multi-User Precoder Designs for RGB Visible Light Communication Systems. Sensors 2020, 20, 6836. [Google Scholar] [CrossRef] [PubMed]
- Saengudomlert, P. Transmit beamforming for line-of-sight MIMO VLC with IM/DD under illumination constraints. In Proceedings of the 2015 12th International Conference on Electrical Engineering/Electronics, Computer, Telecommunications and Information Technology (ECTI-CON), Hua Hin, Thailand, 24–27 June 2015; pp. 1–4. [Google Scholar]
- John, G.; Salehi, M. Digital Communications; McGraw-Hill: New York, NY, USA, 2008. [Google Scholar]
- Zhai, Y.; Chi, H.; Tong, J.; Xi, J. Capacity Maximized Linear Precoder Design for Spatial-multiplexing MIMO VLC Systems. IEEE Access 2020, 8, 63901–63909. [Google Scholar] [CrossRef]
- Fath, T.; Haas, H. Digital Performance Comparison of MIMO Techniques for Optical Wireless Communications in Indoor Environments. IEEE Trans. Commun. 2013, 61, 733–742. [Google Scholar] [CrossRef]
- Kahn, J.M.; Barry, J.R. Wireless Infrared Communications. IEEE Proc. 1997, 85, 265–298. [Google Scholar] [CrossRef]
- Komine, T.; Nakagawa, M. Fundamental Analysis for Visible Light Communication System using LED Lights. IEEE Trans. Consum. Electron. 2004, 50, 100–107. [Google Scholar] [CrossRef]
- Harris, C.; Stephens, M. A Combined Corner and Edge Detector. In Proceedings of the 4th Alvey Vision Conference, Manchester, UK, 31 August–2 September 1988; pp. 147–152. [Google Scholar]
- Bosi, M.; Goldberg, R.E. Introduction to Digital Audio Coding and Standards; Springer: New York, NY, USA, 2003. [Google Scholar]








| Parameters | Value |
|---|---|
| Transmission distance (cm) | 15 |
| Smartphone model | Google Pixel 4a |
| Frame rate on transmitter/receiver (fps) | 30/29.6 |
| Display pixel value (pixel) | 720 × 1520 |
| Number of transmitters | 4 |
| Number of receivers | 4 |
| Bits per frame | 8 |
| Camera resolution (pixel) | 12.2 million |
| Smartphone chipset | Snapdragon 730 G |
| Smartphone CPU | 2.2 GHz + 1.8 GHz, 64-bitmulti-core processor |
| Smartphone RAM | 6 GB |
| Levels of PAM2/4/8 | TX1 | RX1 | TX2 | RX2 | TX3 | RX3 | TX4 | RX4 |
|---|---|---|---|---|---|---|---|---|
| 1/1/1 | 89 | 9.2 | 49 | 74.9 | 88 | 10.8 | 49 | 73.7 |
| -/-/2 | 113 | 18.2 | 78 | 101.2 | 12 | 21 | 78 | 100.2 |
| -/2/3 | 136 | 26.9 | 108 | 128.3 | 136 | 31.2 | 108 | 127.6 |
| -/-/4 | 160 | 35.9 | 137 | 154.6 | 160 | 41.3 | 137 | 154.1 |
| -/-/5 | 184 | 44.9 | 166 | 180.8 | 183 | 51.1 | 166 | 180.6 |
| -/3/6 | 207 | 53.5 | 195 | 207.1 | 207 | 61.2 | 195 | 207.1 |
| -/-/7 | 231 | 62.5 | 226 | 235.1 | 231 | 71.4 | 226 | 235.5 |
| 2/4/8 | 255 | 71.6 | 255 | 255 | 255 | 81.5 | 255 | 255 |
| Bit Allocation | Simulation | Real Case |
|---|---|---|
| [2, 2, 2, 2] | 0.0153 | 0.1303 |
| [0, 3, 2, 3] | 0.0048 | 0.1042 |
| [2, 3, 0, 3] | 0.0043 | 0.1182 |
| [1, 3, 1, 3] | 0.0010 | 0.0959 |
Publisher’s Note: MDPI stays neutral with regard to jurisdictional claims in published maps and institutional affiliations. |
© 2022 by the authors. Licensee MDPI, Basel, Switzerland. This article is an open access article distributed under the terms and conditions of the Creative Commons Attribution (CC BY) license (https://creativecommons.org/licenses/by/4.0/).
Share and Cite
Lee, C.-M.; Li, B.-H.; Chiang, C.-C. Optimization of Bit Allocation for Spatial Multiplexing in MIMO VLC System with Smartphones. Sensors 2022, 22, 8117. https://doi.org/10.3390/s22218117
Lee C-M, Li B-H, Chiang C-C. Optimization of Bit Allocation for Spatial Multiplexing in MIMO VLC System with Smartphones. Sensors. 2022; 22(21):8117. https://doi.org/10.3390/s22218117
Chicago/Turabian StyleLee, Chang-Ming, Bo-Hung Li, and Chang-Chin Chiang. 2022. "Optimization of Bit Allocation for Spatial Multiplexing in MIMO VLC System with Smartphones" Sensors 22, no. 21: 8117. https://doi.org/10.3390/s22218117
APA StyleLee, C.-M., Li, B.-H., & Chiang, C.-C. (2022). Optimization of Bit Allocation for Spatial Multiplexing in MIMO VLC System with Smartphones. Sensors, 22(21), 8117. https://doi.org/10.3390/s22218117

