Determining Exception Context in Assembly Operations from Multimodal Data
Abstract
1. Introduction
- with the use of multimodal data we get an improved predictive performance of ensembles;
- it is easy to add new classes (this is necessary as we discover new failure cases incrementally as they arise);
- the approach generalizes well to new cases (we can make useful predictions based on a model trained on a limited amount of data).
2. Related Work
3. Materials and Methods
3.1. Experimental Environment
3.2. Peg-in-Hole Insertion Task
3.3. The Task of Inserting Copper Sliding Rings into Metal Pallets
- no displacement, leading to successful insertion;
- positional displacement in the x direction, with between 1 and 3 mm in 1 mm steps;
- positional displacement in the y direction with between 1 and 3 mm in 1 mm steps, both leading to unsuccessful insertion.
3.4. Force-Torque Data Extraction: Contact Vector Estimation
3.5. Vision Data Extraction: Instance Segmentation with YOLACT
3.6. Extracting a Fixed-Size Feature Vector from Instance Segmentation Results
3.7. Combining Image Features and Force-Torque Measurements Using Ensembles of Predictive Clustering Trees
4. Results
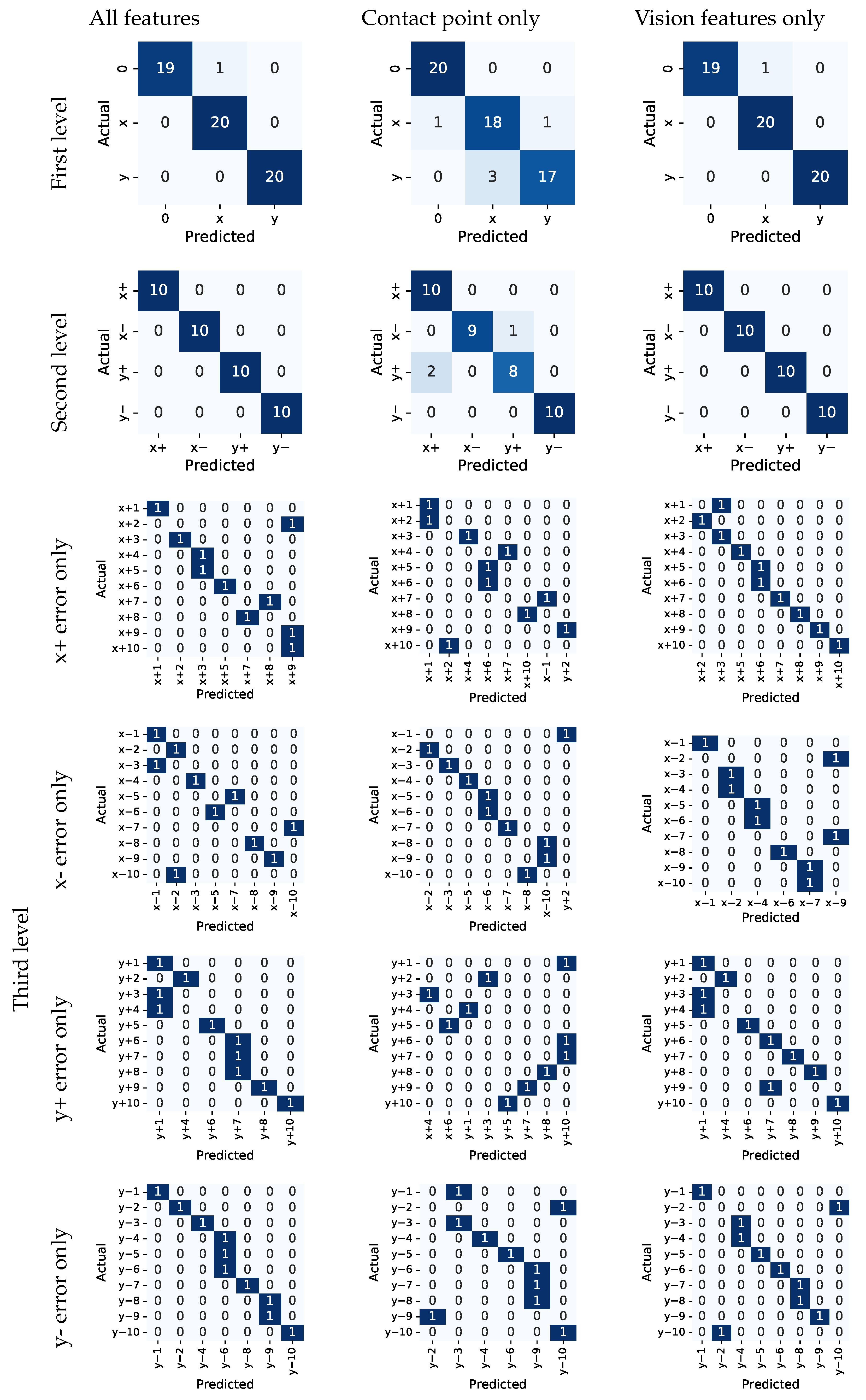
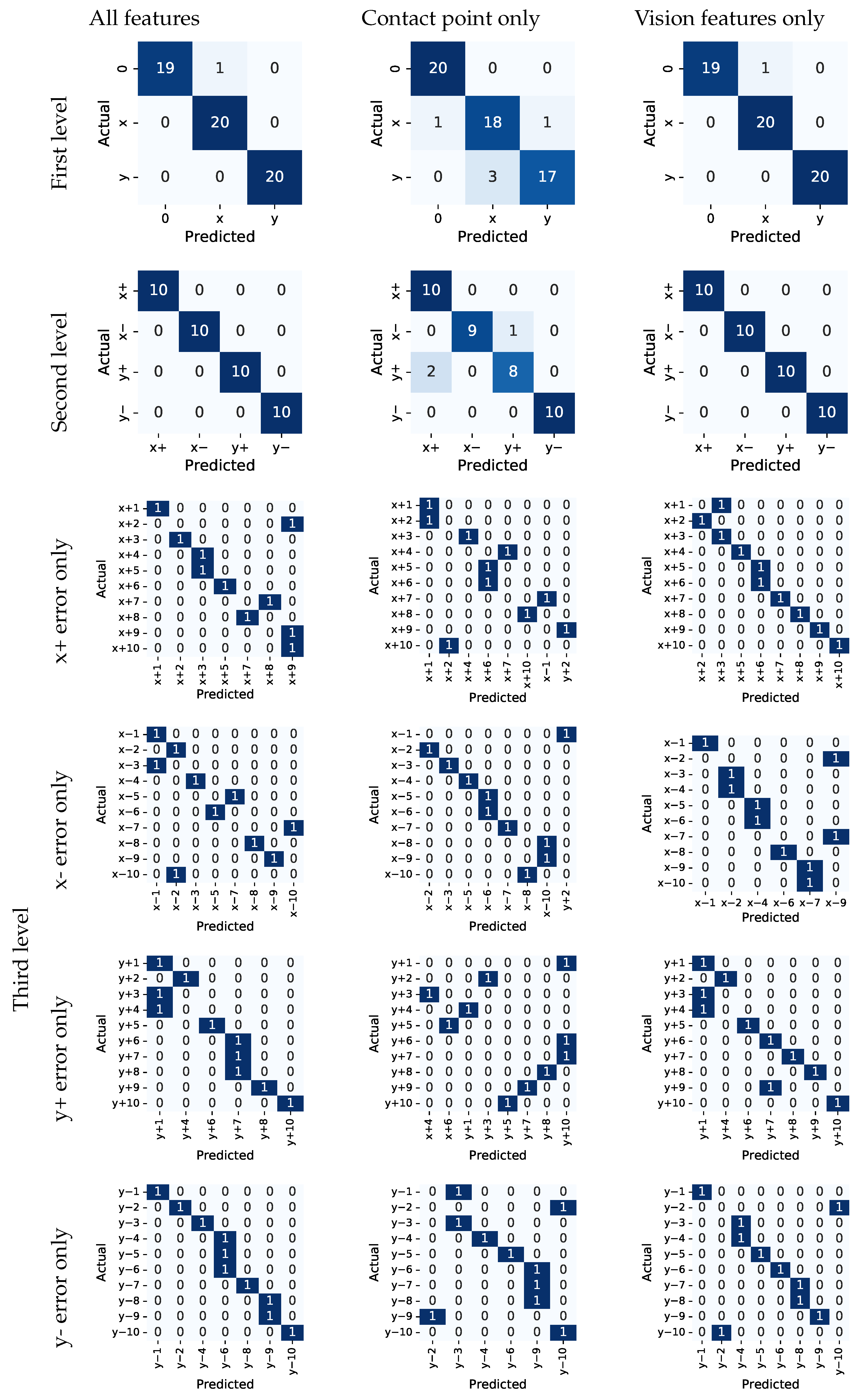
4.1. Generalizability of Classification
4.2. Single Modality versus Multimodal Models for Classification
- only features based on the image data (see Section 3.6);
- only features based on the force-torque sensor data (see Section 3.4);
- features from both modalities.
4.3. Verification of Error Context Determination for the Generation of Exception Strategies
5. Discussion
- (1)
- the type of error (due to positional displacement, part geometry, imprecise grasping), determined based on image data;
- (2)
- the magnitude of error, based on force-torque or depth data.
6. Conclusions
Supplementary Materials
Author Contributions
Funding
Institutional Review Board Statement
Informed Consent Statement
Data Availability Statement
Acknowledgments
Conflicts of Interest
References
- International Federation of Robotics. World Robotics 2021 Industrial Robots; VDMA Services GmbH: Frankfurt, Germany, 2021. [Google Scholar]
- Roveda, L.; Magni, M.; Cantoni, M.; Piga, D.; Bucca, G. Human–robot collaboration in sensorless assembly task learning enhanced by uncertainties adaptation via Bayesian Optimization. Robot. Auton. Syst. 2021, 136, 103711. [Google Scholar] [CrossRef]
- Gašpar, T.; Deniša, M.; Radanovič, P.; Ridge, B.; Savarimuthu, R.; Kramberger, A.; Priggemeyer, M.; Roßmann, J.; Wörgötter, F.; Ivanovska, T.; et al. Smart hardware integration with advanced robot programming technologies for efficient reconfiguration of robot workcells. Robot. Comput.-Integr. Manuf. 2020, 66, 101979. [Google Scholar] [CrossRef]
- Zhu, Z.; Hu, H. Robot Learning from Demonstration in Robotic Assembly: A Survey. Robotics 2018, 7, 17. [Google Scholar] [CrossRef]
- Zachares, P.; Lee, M.A.; Lian, W.; Bohg, J. Interpreting Contact Interactions to Overcome Failure in Robot Assembly Tasks. In Proceedings of the IEEE International Conference on Robotics and Automation (ICRA), Xi’an, China, 30 May–5 June 2021; pp. 3410–3417. [Google Scholar]
- Nemec, B.; Simonič, M.; Ude, A. Learning of Exception Strategies in Assembly Tasks. In Proceedings of the IEEE International Conference on Robotics and Automation (ICRA), Paris, France, 31 May–31 August 2020; pp. 6521–6527. [Google Scholar]
- Simonič, M.; Petrič, T.; Ude, A.; Nemec, B. Analysis of Methods for Incremental Policy Refinement by Kinesthetic Guidance. J. Intell. Robot. Syst. 2021, 102, 5. [Google Scholar] [CrossRef]
- Roheda, S.; Krim, H.; Riggan, B.S. Robust multi-modal sensor fusion: An adversarial approach. IEEE Sens. J. 2020, 21, 1885–1896. [Google Scholar] [CrossRef]
- Polikar, R. Ensemble learning. In Ensemble Machine Learning; Springer: Berlin/Heidelberg, Germany, 2012. [Google Scholar]
- Kocev, D.; Vens, C.; Struyf, J.; Džeroski, S. Tree ensembles for predicting structured outputs. Pattern Recognit. 2013, 46, 817–833. [Google Scholar] [CrossRef]
- Nemec, B.; Yasuda, K.; Mullennix, N.; Likar, N.; Ude, A. Learning by demonstration and adaptation of finishing operations using virtual mechanism approach. In Proceedings of the IEEE International Conference on Robotics and Automation (ICRA), Brisbane, Australia, 21–25 May 2018; pp. 7219–7225. [Google Scholar]
- Bolya, D.; Zhou, C.; Xiao, F.; Lee, Y.J. YOLACT: Real-Time Instance Segmentation. In Proceedings of the IEEE/CVF International Conference on Computer Vision (ICCV), Seoul, Korea, 27 October–2 November 2019; pp. 9156–9165. [Google Scholar]
- Nottensteiner, K.; Sachtler, A.; Albu-Schäffer, A. Towards Autonomous Robotic Assembly: Using Combined Visual and Tactile Sensing for Adaptive Task Execution. J. Intell. Robot. Syst. 2021, 101, 49. [Google Scholar] [CrossRef]
- Visinsky, M.; Cavallaro, J.; Walker, I. Robotic fault detection and fault tolerance: A survey. Reliab. Eng. Syst. Saf. 1994, 46, 139–158. [Google Scholar] [CrossRef]
- Abu-Dakka, F.; Nemec, B.; Kramberger, A.; Buch, A.; Krüger, N.; Ude, A. Solving peg-in-hole tasks by human demonstration and exception strategies. Ind. Robot. Int. J. 2014, 41, 575–584. [Google Scholar] [CrossRef]
- Marvel, J.A.; Bostelman, R.; Falco, J. Multi-Robot Assembly Strategies and Metrics. ACM Comput. Surv. 2018, 51, 1–32. [Google Scholar] [CrossRef] [PubMed]
- Laursen, J.S.; Schultz, U.P.; Ellekilde, L.P. Automatic error recovery in robot assembly operations using reverse execution. In Proceedings of the IEEE/RSJ International Conference on Intelligent Robots and Systems (IROS), Hamburg, Germany, 28 September–3 October 2015; pp. 1785–1792. [Google Scholar]
- Nicolescu, M.N.; Mataric, M.J. Learning and interacting in human-robot domains. IEEE Trans. Syst. Man Cybern. Part A 2001, 31, 419–430. [Google Scholar] [CrossRef]
- Shetty, S.; Silverio, J.; Calinon, S. Ergodic Exploration Using Tensor Train: Applications in Insertion Tasks. IEEE Trans. Robot. 2021, 38, 906–921. [Google Scholar] [CrossRef]
- Sigaud, O.; Droniou, A. Towards deep developmental learning. IEEE Trans. Cogn. Dev. Syst. 2016, 8, 99–114. [Google Scholar] [CrossRef]
- Nemec, B.; Abu-Dakka, F.J.; Ridge, B.; Ude, A.; Jørgensen, J.A.; Savarimuthu, T.R.; Jouffroy, J.; Petersen, H.G.; Krüger, N. Transfer of assembly operations to new workpiece poses by adaptation to the desired force profile. In Proceedings of the 2013 16th International Conference on Advanced Robotics (ICAR), Montevideo, Uruguay, 25–29 November 2013. [Google Scholar]
- Vuga, R.; Nemec, B.; Ude, A. Speed adaptation for self-improvement of skills learned from user demonstrations. Robotica 2016, 34, 2806–2822. [Google Scholar] [CrossRef]
- Diryag, A.; Mitić, M.; Miljković, Z. Neural networks for prediction of robot failures. Proc. Inst. Mech. Eng. Part J. Mech. Eng. Sci. 2013, 228, 1444–1458. [Google Scholar] [CrossRef]
- Alonso-Tovar, J.; Saha, B.N.; Romero-Hdz, J.; Ortega, D. Bayesian Network Classifier with Efficient Statistical Time-Series Features for the Classification of Robot Execution Failures. Int. J. Comput. Sci. Eng. 2016, 3, 80–89. [Google Scholar] [CrossRef]
- Bicchi, A.; Salisbury, J.K.; Brock, D.L. Contact sensing from force measurements. Int. J. Robot. Res. 1993, 12, 249–262. [Google Scholar] [CrossRef]
- Kitagaki, K.; Ogasawara, T.; Suehiro, T. Contact state detection by force sensing for assembly tasks. In Proceedings of the 1994 IEEE International Conference on MFI’94, Multisensor Fusion and Integration for Intelligent Systems, Las Vegas, NV, USA, 2–5 October 1994; pp. 366–370. [Google Scholar]
- Liu, S.; Li, Y.F.; Xing, D. Sensing and control for simultaneous precision peg-in-hole assembly of multiple objects. IEEE Trans. Autom. Sci. Eng. 2019, 17, 310–324. [Google Scholar] [CrossRef]
- JSI; IDIAP; CERTH. D4.7—Assembly Policy Learning and Improvement; Deliverable, CoLLaboratE Project; CoLLaboratE Project Consortium: Thessaloniki, Greece, 2020. [Google Scholar]
- Sachtler, A.; Nottensteiner, K.; Kassecker, M.; Albu-Schäffer, A. Combined Visual and Touch-based Sensing for the Autonomous Registration of Objects with Circular Features. In Proceedings of the 19th International Conference on Advanced Robotics (ICAR), Belo Horizonte, Brazil, 2–6 December 2019; pp. 426–433. [Google Scholar]
- Nashman, M.; Nashman, M.; Hong, T.H.; Herman, M. An Integrated Vision Touch-Probe System for Dimensional Inspection Tasks; US Department of Commerce, National Institute of Standards and Technology: Gaithersburg, MD, USA, 1995.
- Allen, P.; Bajcsy, R. Robotic Object Recognition Using Vision and Touch. In Proceedings of the 9th International Joint Conference on Artificial Intelligence, Milan, Italy, 23–28 August 1987. [Google Scholar]
- Thomas, U.; Molkenstruck, S.; Iser, R.; Wahl, F.M. Multi Sensor Fusion in Robot Assembly Using Particle Filters. In Proceedings of the IEEE International Conference on Robotics and Automation (ICRA), Roma, Italy, 10–14 April 2007; pp. 3837–3843. [Google Scholar] [CrossRef]
- Bayoudh, K.; Knani, R.; Hamdaoui, F.; Mtibaa, A. A survey on deep multimodal learning for computer vision: Advances, trends, applications, and datasets. Vis. Comput. 2021, 38, 2939–2970. [Google Scholar] [CrossRef] [PubMed]
- Boulahia, S.Y.; Amamra, A.; Madi, M.R.; Daikh, S. Early, intermediate and late fusion strategies for robust deep learning-based multimodal action recognition. Mach. Vis. Appl. 2021, 32, 121. [Google Scholar] [CrossRef]
- Lahat, D.; Adali, T.; Jutten, C. Multimodal Data Fusion: An Overview of Methods, Challenges, and Prospects. Proc. IEEE 2015, 103, 1449–1477. [Google Scholar] [CrossRef]
- Dong, X.; Yu, Z.; Cao, W.; Shi, Y.; Ma, Q. A survey on ensemble learning. Front. Comput. Sci. 2020, 14, 241–258. [Google Scholar] [CrossRef]
- Ren, Y.; Zhang, L.; Suganthan, P. Ensemble Classification and Regression—Recent Developments, Applications and Future Directions. IEEE Comput. Intell. Mag. 2016, 11, 41–53. [Google Scholar] [CrossRef]
- Džeroski, S.; Panov, P.; Ženko, B. Ensemble Methods in Machine Learning. In Encyclopedia of Complexity and Systems Science; Meyers, R.A., Ed.; Springer: New York, NY, USA, 2009; pp. 5317–5325. [Google Scholar] [CrossRef]
- Levatić, J.; Kocev, D.; Debeljak, M.; Džeroski, S. Community structure models are improved by exploiting taxonomic rank with predictive clustering trees. Ecol. Model. 2015, 306, 294–304. [Google Scholar] [CrossRef]
- Levatić, J.; Ceci, M.; Kocev, D.; Džeroski, S. Semi-supervised Predictive Clustering Trees for (Hierarchical) Multi-label Classification. arXiv 2022, arXiv:2207.09237. [Google Scholar] [CrossRef]
- Vens, C.; Struyf, J.; Schietgat, L.; Džeroski, S.; Blockeel, H. Decision trees for hierarchical multi-label classification. Mach. Learn. 2008, 73, 185–214. [Google Scholar] [CrossRef]
- Collins, K.; Palmer, A.; Rathmill, K. The development of a European benchmark for the comparison of assembly robot programming systems. In Robot Technology and Applications; Springer: Berlin/Heidelberg, Germany, 1985; pp. 187–199. [Google Scholar]
- Nemec, B.; Mavsar, M.; Simonič, M.; Hrovat, M.M.; Škrabar, J.; Ude, A. Integration of a reconfigurable robotic workcell for assembly operations in automotive industry. In Proceedings of the IEEE/SICE International Symposium on System Integration (SII), Virtual, 9–12 January 2022; pp. 778–783. [Google Scholar] [CrossRef]
- Radanovič, P.; Jereb, J.; Kovač, I.; Ude, A. Design of a Modular Robotic Workcell Platform Enabled by Plug & Produce Connectors. In Proceedings of the 20th International Conference on Advanced Robotics (ICAR), Ljubljana, Slovenia, 6–10 December 2021. [Google Scholar]
- Simonič, M.; Pahič, R.; Gašpar, T.; Abdolshah, S.; Haddadin, S.; Catalano, M.G.; Wörgötter, F.; Ude, A. Modular ROS-based software architecture for reconfigurable, Industry 4.0 compatible robotic workcells. In Proceedings of the 20th International Conference on Advanced Robotics (ICAR), Ljubljana, Slovenia, 6–10 December 2021. [Google Scholar]
- Albu-Schaffer, A.; Ott, C.; Hirzinger, G. A passivity based Cartesian impedance controller for flexible joint robots—Part II: Full state feedback, impedance design and experiments. In Proceedings of the IEEE International Conference on Robotics and Automation, (ICRA), New Orleans, LA, USA, 26 April–1 May 2004; Volume 3, pp. 2666–2672. [Google Scholar]
- Jiang, J.; Huang, Z.; Bi, Z.; Ma, X.; Yu, G. State-of-the-Art control strategies for robotic PiH assembly. Robot. Comput.-Integr. Manuf. 2020, 65, 101894. [Google Scholar] [CrossRef]
- Nemec, B.; Yasuda, K.; Ude, A. A virtual mechanism approach for exploiting functional redundancy in finishing operations. IEEE Trans. Autom. Sci. Eng. 2020, 18, 2048–2060. [Google Scholar] [CrossRef]
- O’Mahony, N.; Campbell, S.; Carvalho, A.; Harapanahalli, S.; Hernandez, G.V.; Krpalkova, L.; Riordan, D.; Walsh, J. Deep Learning vs. Traditional Computer Vision; Advances in Computer Vision; Arai, K., Kapoor, S., Eds.; Springer International Publishing: Cham, Switzerland, 2020; pp. 128–144. [Google Scholar]
- Lin, T.Y.; Goyal, P.; Girshick, R.B.; He, K.; Dollár, P. Focal Loss for Dense Object Detection. In Proceedings of the IEEE International Conference on Computer Vision (ICCV), Venice, Italy, 22–29 October 2017; pp. 2999–3007. [Google Scholar]
- Lin, T.Y.; Dollár, P.; Girshick, R.B.; He, K.; Hariharan, B.; Belongie, S.J. Feature Pyramid Networks for Object Detection. In Proceedings of the IEEE Conference on Computer Vision and Pattern Recognition (CVPR), Honolulu, HI, USA, 21–26 July 2017; pp. 936–944. [Google Scholar]
- He, K.; Zhang, X.; Ren, S.; Sun, J. Deep Residual Learning for Image Recognition. In Proceedings of the IEEE Conference on Computer Vision and Pattern Recognition (CVPR), Las Vegas, NV, USA, 27–30 June 2016; pp. 770–778. [Google Scholar]
- He, K.; Gkioxari, G.; Dollár, P.; Girshick, R.B. Mask R-CNN. In Proceedings of the IEEE International Conference on Computer Vision (ICCV), Venice, Italy, 22–29 October 2017; pp. 2980–2988. [Google Scholar]
- Breiman, L. Random forests. Mach. Learn. 2001, 45, 5–32. [Google Scholar] [CrossRef]
- Simonič, M.; Žlajpah, L.; Ude, A.; Nemec, B. Autonomous Learning of Assembly Tasks from the Corresponding Disassembly Tasks. In Proceedings of the IEEE-RAS 19th International Conference on Humanoid Robots (Humanoids), Toronto, ON, Canada, 15–17 October 2019; pp. 230–236. [Google Scholar]














Publisher’s Note: MDPI stays neutral with regard to jurisdictional claims in published maps and institutional affiliations. |
© 2022 by the authors. Licensee MDPI, Basel, Switzerland. This article is an open access article distributed under the terms and conditions of the Creative Commons Attribution (CC BY) license (https://creativecommons.org/licenses/by/4.0/).
Share and Cite
Simonič, M.; Majcen Hrovat, M.; Džeroski, S.; Ude, A.; Nemec, B. Determining Exception Context in Assembly Operations from Multimodal Data. Sensors 2022, 22, 7962. https://doi.org/10.3390/s22207962
Simonič M, Majcen Hrovat M, Džeroski S, Ude A, Nemec B. Determining Exception Context in Assembly Operations from Multimodal Data. Sensors. 2022; 22(20):7962. https://doi.org/10.3390/s22207962
Chicago/Turabian StyleSimonič, Mihael, Matevž Majcen Hrovat, Sašo Džeroski, Aleš Ude, and Bojan Nemec. 2022. "Determining Exception Context in Assembly Operations from Multimodal Data" Sensors 22, no. 20: 7962. https://doi.org/10.3390/s22207962
APA StyleSimonič, M., Majcen Hrovat, M., Džeroski, S., Ude, A., & Nemec, B. (2022). Determining Exception Context in Assembly Operations from Multimodal Data. Sensors, 22(20), 7962. https://doi.org/10.3390/s22207962

