Transcutaneous Pulsed RF Energy Transfer Mitigates Tissue Heating in High Power Demand Implanted Device Applications: In Vivo and In Silico Models Results
Abstract
1. Introduction
2. Materials and Methods
2.1. Power Loss Emulation

2.2. Wireless Power Transmission (WPT) System
| Pulse Width (ms) (ON) | Idle Time (s) (OFF) | Voltage (V) |
|---|---|---|
| 30 | 5 | 50 |
| 60 | 10 | 75 |
| 90 | 20 | 100 |
| 160 | 40 | 125 |
| 320 | 80 | 150 |
| 480 | 120 | 175 |

- The primary side resonant tank circuit (C2 and L1): the resonant tank includes the primary coil (L1) and the tuned capacitor (C2). Therefore, it can transfer the maximum power at the selected resonance frequency. The value of the Tx tank capacitor is 10 nF, and the inductance of the Tx coil L1 is 39.74 µH.
- Energy Capacitor (C1): The energy capacitor delivers the stored energy into the Tx side resonant LC tank. While the IGBT is ON, all the stored energy of this capacitor is passed to the L1 coil. When the IGBT is OFF, there is no current through the IGBT transistor; however, the coil stores energy and the continuous current flowing by the C2 capacitor at the resonant frequency. The resonance frequency was set to 200 kHz.
- The secondary (implanted) side resonant tank circuit (CR and L2): the Rx resonant tank includes the secondary coil (L2) and the tuned capacitor (CR), also operating at 200 kHz to make the coupling system a double-tuned system. The secondary tank circuit is followed by ripple filtering stage and voltage regulation, before delivering power to the LVAD resistive model load (RL) of 50 Ω.
2.3. Temperature Sensors Data Acquisition Unit
2.4. Instantaneous Pulsed Power and Energy Calculation
- For the PLE system operation, the emulated instantaneous power loss rate, can be calculated for the voltage (V0) settings of 50 V, 75 V, 100 V, 125 V, 150 V and 175 V when applied across the heating resistor () in each of the probe pairs with a value of 45 Ω. Equation (4) is used to estimate the instantaneous emulated power loss (P0) with the PLE system. Table 2 presents the calculated values of PLE emulated instantaneous power loss levels using Equation (4).
2.5. Continuous Transmission Mode Equivalent DC Voltage Calculation
2.6. Coupling coil and NTC Thermistors Array Probe Arrangement


| Parameters | Values |
|---|---|
2.7. In Vivo and Cadaver Studies
2.8. Thermal Effects Metrics
2.9. In Silico Support Studies
3. Results
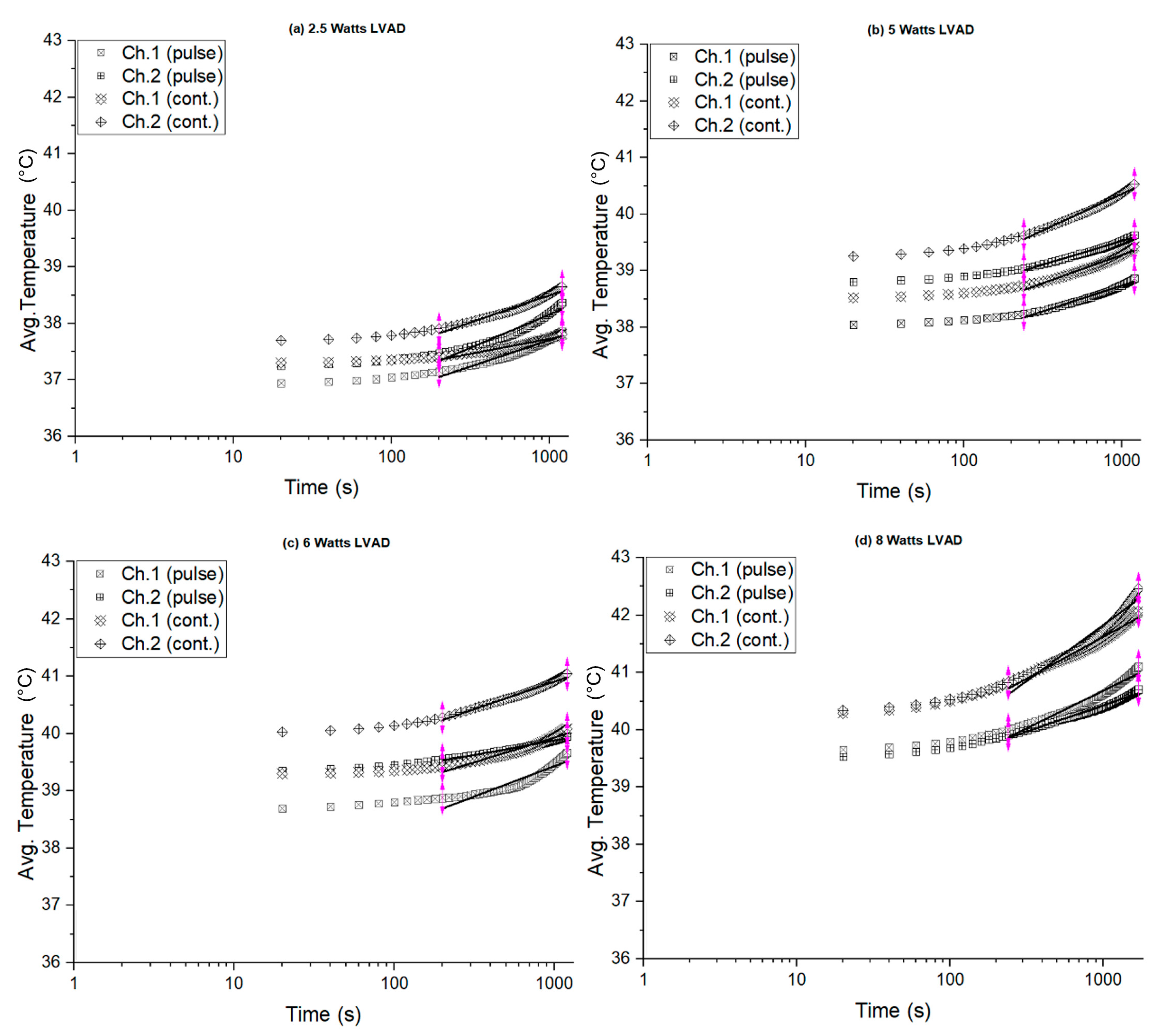
3.1. In Vivo Baseline and Average Temperature Measurements
3.2. In Vivo Temperature Measurements
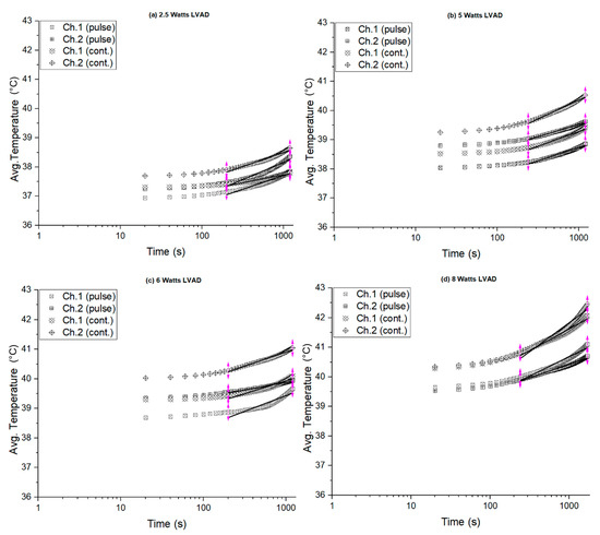
3.3. Cadaver Temperature Measurements


3.4. In Silico Temperature Measurements


| LVAD Power Level (W) | Pulsed (ΔT) (°C) | Continuous (ΔT) (°C) |
|---|---|---|
| 2.5 | 1.28 | 1.91 |
| 5 | 2.09 | 4.07 |
| 8 | 5.09 | 6.35 |
4. Discussion
5. Conclusions
6. Patents
Author Contributions
Funding
Institutional Review Board Statement
Informed Consent Statement
Data Availability Statement
Acknowledgments
Conflicts of Interest
References
- Kaptoge, S.; Pennells, L.; De Bacquer, D.; Cooney, M.T.; Kavousi, M.; Stevens, G.; Riley, L.M.; Savin, S.; Khan, T.; Altay, S.; et al. World Health Organization cardiovascular disease risk charts: Revised models to estimate risk in 21 global regions. Lancet Glob. Health 2019, 7, e1332–e1345. [Google Scholar] [CrossRef]
- Timmis, A.; Townsend, N.; Gale, C.P.; Torbica, A.; Lettino, M.; Petersen, S.E.; Mossialos, E.A.; Maggioni, A.P.; Kazakiewicz, D.; May, H.T.; et al. European Society of Cardiology: Cardiovascular Disease Statistics 2019. Eur. Heart J. 2020, 41, 12–85. [Google Scholar] [CrossRef] [PubMed]
- Virani, S.S.; Alonso, A.; Aparicio, H.J.; Benjamin, E.J.; Bittencourt, M.S.; Callaway, C.W.; Carson, A.P.; Chamberlain, A.M.; Cheng, S.; Delling, F.N.; et al. Heart Disease and Stroke Statistics—2021 Update: A Report from the American Heart Association. Circulation 2021, 143, e254–e743. [Google Scholar] [CrossRef] [PubMed]
- Adams, E.E.; Wrightson, M.L. Quality of life with an LVAD: A misunderstood concept. Heart Lung 2018, 47, 177–183. [Google Scholar] [CrossRef] [PubMed]
- Prinzing, A.; Herold, U.; Berkefeld, A.; Krane, M.; Lange, R.; Voss, B. Left ventricular assist devices—Current state and perspectives. J. Thorac. Dis. 2016, 8, E660–E666. [Google Scholar] [CrossRef] [PubMed]
- Pya, Y.; Abdiorazova, A. Elimination of drive exit line: Transcutaneous energy transmission. Ann. Cardiothorac. Surg. 2021, 10, 393–395. [Google Scholar] [CrossRef] [PubMed]
- Miller, R.; Moayedi, Y.; Sharma, A.; Haddad, F.; Hiesinger, W.; Banerjee, D. Transplant Outcomes in Destination Therapy Left Ventricular Assist Device Patients. ASAIO J. 2020, 66, 394–398. [Google Scholar] [CrossRef]
- Awad, M.A.; Shah, A.; Griffith, B.P. Current status and outcomes in heart transplantation: A narrative review. Rev. Cardiovasc. Med. 2022, 23, 11. [Google Scholar] [CrossRef]
- Han, J.; Trumble, D.R. Cardiac Assist Devices: Early Concepts, Current Technologies, and Future Innovations. Bioengineering 2019, 6, 18. [Google Scholar] [CrossRef]
- Hannan, M.M.; Xie, R.; Cowger, J.; Schueler, S.; de By, T.; Dipchand, A.I.; Chu, V.H.; Cantor, R.S.; Koval, C.E.; Krabatsch, T.; et al. Epidemiology of infection in mechanical circulatory support: A global analysis from the ISHLT Mechanically Assisted Circulatory Support Registry. J. Heart Lung Transplant. 2019, 38, 364–373. [Google Scholar] [CrossRef]
- Troutman, G.S.; Genuardi, M.V. Left Ventricular Assist Devices: A Primer for the Non-Mechanical Circulatory Support Provider. J. Clin. Med. 2022, 11, 2575. [Google Scholar] [CrossRef]
- Shalabi, A.; Kachel, E.; Kassif, Y.; Faqeeh, M.; Sergey, P.; Sternik, L.; Grosman-Rimon, L.; Kinany, W.; Amir, O.; Ram, E.; et al. Unusual complications following left ventricular assisted device implantation: Case series. J. Cardiothorac. Surg. 2021, 16, 1–6. [Google Scholar] [CrossRef]
- Austin, M.A.; Saxena, A.; O’Malley, T.J.; Maynes, E.J.; Moncure, H.; Ott, N.; Massey, H.T.; Moscato, F.; Loforte, A.; Stulak, J.M.; et al. Computational sentiment analysis of an online left ventricular assist device support forum: Positivity predominates. Ann. Cardiothorac. Surg. 2021, 10, 375–382. [Google Scholar] [CrossRef]
- Kourouklis, A.P.; Kaemmel, J.; Wu, X.; Potapov, E.; Cesarovic, N.; Ferrari, A.; Starck, C.; Falk, V.; Mazza, E. Systems of conductive skin for power transfer in clinical applications. Eur. Biophys. J. 2021, 51, 171–184. [Google Scholar] [CrossRef]
- Wang, J.X.; Smith, J.R.; Bonde, P. Energy Transmission and Power Sources for Mechanical Circulatory Support Devices to Achieve Total Implantability. Ann. Thorac. Surg. 2014, 97, 1467–1474. [Google Scholar] [CrossRef]
- Campi, T.; Cruciani, S.; De Santis, V.; Maradei, F.; Feliziani, M. Near Field Wireless Powering of Deep Medical Implants. Energies 2019, 12, 2720. [Google Scholar] [CrossRef]
- Erfani, R.; Marefat, F.; Sodagar, A.M.; Mohseni, P. Transcutaneous capacitive wireless power transfer (C-WPT) for biomedical implants. In Proceedings of the 2017 IEEE International Symposium on Circuits and Systems (ISCAS), Baltimore, MD, USA, 28–31 May 2017; pp. 1–4. [Google Scholar]
- Abdullahi, Q.S.; Joshi, R.; Podilchak, S.K.; Khan, S.R.; Chen, M.; Rooney, J.; Rooney, J.; Sun, D.; Desmulliez, M.P.; Georgiadis, A.; et al. Design of a wireless power transfer system for assisted living applications. Wirel. Power Transf. 2019, 6, 41–56. [Google Scholar] [CrossRef]
- Bocan, K.N.; Sejdić, E. Adaptive Transcutaneous Power Transfer to Implantable Devices: A State of the Art Review. Sensors 2016, 16, 393. [Google Scholar] [CrossRef]
- Waters, B.H.; Park, J.; Bouwmeester, J.C.; Valdovinos, J.; Geirsson, A.; Sample, A.P.; Smith, J.R.; Bonde, P. Electrical power to run ventricular assist devices using the Free-range Resonant Electrical Energy Delivery system. J. Heart Lung Transplant. 2018, 37, 1467–1474. [Google Scholar] [CrossRef]
- Khan, S.R.; Pavuluri, S.K.; Cummins, G.; Desmulliez, M.P.Y. Wireless Power Transfer Techniques for Implantable Medical Devices: A Review. Sensors 2020, 20, 3487. [Google Scholar] [CrossRef]
- Pya, Y.; Maly, J.; Bekbossynova, M.; Salov, R.; Schueler, S.; Meyns, B.; Kassif, Y.; Massetti, M.; Zilbershlag, M.; Netuka, I. First human use of a wireless coplanar energy transfer coupled with a continuous-flow left ventricular assist device. J. Heart Lung Transplant. 2019, 38, 339–343. [Google Scholar] [CrossRef]
- Tang, S.C.; Lun, T.L.T.; Guo, Z.; Kwok, K.-W.; McDannold, N.J. Intermediate Range Wireless Power Transfer with Segmented Coil Transmitters for Implantable Heart Pumps. IEEE Trans. Power Electron. 2016, 32, 3844–3857. [Google Scholar] [CrossRef]
- Knecht, O.; Kolar, J.W. Impact of transcutaneous energy transfer on the electric field and specific absorption rate in the human tissue. In Proceedings of the IECON 2015-41st Annual Conference of the IEEE Industrial Electronics Society, Yokohama, Japan, 9–12 November 2015; pp. 004977–004983. [Google Scholar]
- Lucke, L.; Bluvshtein, V. Safety considerations for wireless delivery of continuous power to implanted medical devices. In Proceedings of the 36th Annual International Conference of the IEEE Engineering in Medicine and Biology Society, IEEE, Chicago, IL, USA, 26–30 August 2014; pp. 286–289. [Google Scholar]
- IEEE Std C95. 1-2005; IEEE Standard for Safety Levels with Respect to Human Exposure to Radio Frequency Electromagnetic Fields, 3 kHz to 300 GHz. IEEE Xplore: online, 2006. [CrossRef]
- European Committee for Electrotechnical Standardization (CENELEC) EN 50527-1; Procedure for the Assessment of the Exposure to Electromagnetic Fields of Workers Bearing Active Implantable Medical Devices—Part 1: General. CENELEC: Brussels, Belgium, 2010.
- Escalona, O.; Waterman, N.; McLaughlin, J.; McEneaney, D. Pulsed Transmission Waveform to Mitigate Tissue Thermal Effects in Transcutaneous Wireless Energy Supply Systems for High-Power Rated Medical Implants. In Proceedings of the World Congress on Medical Physics and Biomedical Engineering, Prague, Czech Republic, 3–8 June 2018; Springer: Singapore, 2018; pp. 945–950. [Google Scholar]
- Escalona, O.J.; Bosnjak, A.; Karim, M.L.; McLaughlin, J.; McEneaney, D.; Crawford, P. Blood perfusion cooling effects in transcutaneous energy transfer systems for driving next generation heart pumps. In Proceedings of the IUPESM World Congress on Medical Physics and Biomedical Engineering, Singapore, 12–17 June 2022. [Google Scholar]
- COMSOL Blog. Solutions to Linear Systems of Equations: Direct and Iterative Solvers. Available online: https://www.comsol.com/blogs/solutions-linear-systems-equations-direct-iterative-solvers (accessed on 29 August 2022).
- Deng, Z.-S.; Liu, J. Analytical Study on Bioheat Transfer Problems with Spatial or Transient Heating on Skin Surface or Inside Biological Bodies. J. Biomech. Eng. 2002, 124, 638–649. [Google Scholar] [CrossRef]







| Voltage, V0 (V) | Instantaneous Power, P0 (W) |
|---|---|
| 50 | 55 |
| 75 | 125 |
| 100 | 225 |
| 125 | 350 |
| 150 | 500 |
| 175 | 685 |
| Name | Value | Description |
|---|---|---|
| R1 | 5 × 10−4 m | Radius of the Cu track |
| W1 | 1 × 10−3 m | Width of the Cu track |
| H1 | 1 × 10−4 m | Height of the Cu track |
| Td | 8 × 10−4 m | Inner gap between the track |
| ⍴b | 1 × 103 kg/m3 | Density of blood |
| Cp | 3639 J/(kg·K) | Specific heat of blood |
| ⍵p | 3.6 × 10−3 s−1 | Blood perfusion rate |
| Tb | 37 °C | Blood temperature |
| f | 200 kHz | Transmission frequency |
| Power Levels (W) | Channel 1 (Pulsed) (°C/s) | Channel 2 (Pulsed) (°C/s) | Channel 1 (Cont.) (°C/s) | Channel 2 (Cont.) (°C/s) |
|---|---|---|---|---|
| 2.5 | 0.93 ± 0.02 | 1.17 ± 0.04 | 0.53 ± 0.01 | 0.96 ± 0.02 |
| 5 | 0.91 ± 0.01 | 0.84 ± 0.01 | 0.99 ± 0.02 | 1.28 ± 0.02 |
| 6 | 1.06 ± 0.05 | 0.50 ± 0.08 | 0.86 ± 0.02 | 0.96 ± 0.01 |
| 8 | 1.30 ± 0.03 | 0.91 ± 0.01 | 1.45 ± 0.02 | 1.95 ± 0.04 |
Publisher’s Note: MDPI stays neutral with regard to jurisdictional claims in published maps and institutional affiliations. |
© 2022 by the authors. Licensee MDPI, Basel, Switzerland. This article is an open access article distributed under the terms and conditions of the Creative Commons Attribution (CC BY) license (https://creativecommons.org/licenses/by/4.0/).
Share and Cite
Karim, M.L.; Bosnjak, A.M.; McLaughlin, J.; Crawford, P.; McEneaney, D.; Escalona, O.J. Transcutaneous Pulsed RF Energy Transfer Mitigates Tissue Heating in High Power Demand Implanted Device Applications: In Vivo and In Silico Models Results. Sensors 2022, 22, 7775. https://doi.org/10.3390/s22207775
Karim ML, Bosnjak AM, McLaughlin J, Crawford P, McEneaney D, Escalona OJ. Transcutaneous Pulsed RF Energy Transfer Mitigates Tissue Heating in High Power Demand Implanted Device Applications: In Vivo and In Silico Models Results. Sensors. 2022; 22(20):7775. https://doi.org/10.3390/s22207775
Chicago/Turabian StyleKarim, Mohammad L., Antonio M. Bosnjak, James McLaughlin, Paul Crawford, David McEneaney, and Omar J. Escalona. 2022. "Transcutaneous Pulsed RF Energy Transfer Mitigates Tissue Heating in High Power Demand Implanted Device Applications: In Vivo and In Silico Models Results" Sensors 22, no. 20: 7775. https://doi.org/10.3390/s22207775
APA StyleKarim, M. L., Bosnjak, A. M., McLaughlin, J., Crawford, P., McEneaney, D., & Escalona, O. J. (2022). Transcutaneous Pulsed RF Energy Transfer Mitigates Tissue Heating in High Power Demand Implanted Device Applications: In Vivo and In Silico Models Results. Sensors, 22(20), 7775. https://doi.org/10.3390/s22207775

