Trusted Multi-Domain DDoS Detection Based on Federated Learning
Abstract
1. Introduction
- (1)
- A multi-domain DDoS detection method based on FL is proposed. The types of DDoS attacks are divided into five categories: network layer DDoS, application layer DDoS, LDDoS, botnet DDoS and DRDoS. Based on the classification, the labels of FL datasets in each domain are redesigned to realize multi-domain DDoS detection.
- (2)
- A reputation evaluation method of Federated participants based on blockchain is proposed. The reputation of FL participants is evaluated and calculated from three perspectives: interaction reputation, data reputation and resource reputation, which realizes the effective evaluation of reputation on the basis of reducing the number of interactions.
- (3)
- Build a topology network for multi-domain DDoS attack and detection and carry out multi-domain DDoS detection under the above trusted Federation learning. The proposed scheme can distinguish malicious participants from trusted participants effectively after simulating the FL data poisoning attack.
- (4)
- A knowledge export scheme of FL is designed, which stores the feature knowledge after multi-domain learning to the feature graph of malicious behavior, and stores the model to the model base, so as to realize the construction and update of the distributed knowledge base from local domain knowledge to multi-domain knowledge under the condition of privacy protection.
2. Related Works
2.1. DDoS Attack Detection Method
2.2. DDoS Detection Based on FL
2.3. Reputation Evaluation Method of FL Participants
3. Multi-Domain DDoS Detection Method Based on Trusted FL
3.1. Framework Overview
3.2. Federated Learning Module
3.2.1. Dataset Design
3.2.2. Data Preprocessing
3.2.3. Offline Training
| Algorithm 1 HomoCNNb (Horizontal Convolution Neural Network) Algorithm |
| Input: Training dataset and test dataset of K participants; iteration N; local epoch E 1: /*Central server*/ 2: Initialize model parameters ; 3: for n = 0; n < N; n++ do: 4: for k = 0; k < K; k++ do: 5: the encrypted model parameters of participant k; 6: end for 7: ; 8: end for 9: /*Client update*/ 10: for k = 0; k < K; k++ do: 11: the global CNN model parameters; 12: for e = 0; e < E, e++ do: 13: , where is loss function; 14: end for 15: update local CNN model ; 16: encrypt local CNN model is random mask; 17: end for |
3.3. Blockchain Module
3.3.1. Identity Registration, Information Management and Feedback
3.3.2. Reputation Evaluation Method
3.3.3. Secure Transmission
3.4. Distributed Knowledge Base Module
3.4.1. Model Base
3.4.2. Behavior Base
3.4.3. Distributed Construction
3.5. Calls between Modules
| Algorithm 2 Algorithm of FL joint reputation evaluation |
| Input: config file 1: parse Arguments: partyID of guest, host, arbiter config file; 2: for i in (guest, host, arbiter) do: 3: if getDevices(i): 4: if getOnlinestatus(i): 5: DataMsg = getDataMsg(i); 6: reputation = calReputation(i); 7: return DataMsg, reputation; 8: else: 9: return Null; 10: end for 11: if reputation > default: 12: run Algorithm 1 with DataMsg and application config file; |
| Algorithm 3 Job audit and reputation update algorithm |
| Input: jobID, guest, host, arbiter, crossEntropy, dataMsg 1: for i in (guest, host, arbiter) do: 2: if getDevices(i): 3: devices[i].frequency++; 4: end for 5: FLjob(jobID, guest, host, arbiter, dataMsg); 6: crossEntropy[jobID]= crossEntropy; 7: for i in (guest, host, arbiter) do: 8: calcu_rvi(i); 9: calcu_reputation (i); 10: end for |
4. Experiment and Result Analysis
4.1. Experimental Environment
4.2. Evaluation Indicators
4.3. Performance Analysis
4.3.1. Comparison of Multi-Domain DDoS Detection Algorithms
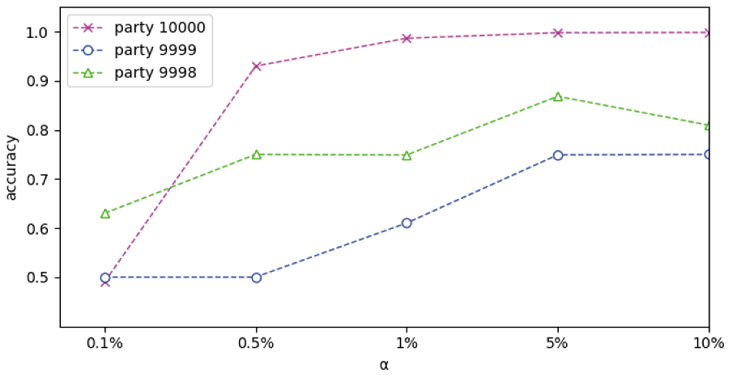
4.3.2. Comparison of Dependent Identically Distributed Data
4.3.3. Comparison of Poisoning Intensity of Malicious Participants
4.3.4. Comparison of Reputation Evaluation Methods
4.3.5. Performance Comparison between FL and ML
4.3.6. Time Cost Analysis
4.3.7. Comparison before and after Knowledge Base Update
5. Conclusions
Author Contributions
Funding
Institutional Review Board Statement
Informed Consent Statement
Conflicts of Interest
References
- Guo, J.; Wang, L. Learning to upgrade internet information security and protection strategy in big data era. Comput. Commun. 2020, 160, 150–157. [Google Scholar] [CrossRef]
- CNCERT. Analysis Report on DDOS Attack Resources in China. 2021. Available online: https://www.cert.org.cn/publish/main/upload/File/DDos%20Attack%202021%20Q4.pdf (accessed on 16 August 2022).
- Feng, B.; Huang, Y.; Tian, A.; Wang, H.; Zhou, H.; Yu, S.; Zhang, H. An Elastic Differentiated Routing Framework for Software-Defined Satellite Networks. IEEE Wirel. Commun. 2022, 1–7. [Google Scholar] [CrossRef]
- Hoque, N.; Bhattacharyya, D.K.; Kalita, J.K. Botnet in DDoS Attacks: Trends and Challenges. IEEE Commun. Surv. Tutor. 2015, 17, 2242–2270. [Google Scholar] [CrossRef]
- Li, M.; Zhou, H.; Qin, Y. Two-Stage Intelligent Model for Detecting Malicious DDoS Behavior. Sensors 2022, 22, 2532. [Google Scholar] [CrossRef]
- Li, Y.; Li, M. Multi-type application layer DDoS attack detection method based on integrated. J. Comput. Appl. 2022, 1–9. Available online: https://kns.cnki.net/kcms/detail/51.1307.TP.20220416.0837.004.html (accessed on 16 August 2022).
- Yang, T.; Wang, W.; Liu, Y. Multi-class DRDoS Attack Detection Method Based on Feature Selection. Res. Briefs Inf. Commun. Technol. Evol. (ReBICTE) 2021, 7, 1–15. [Google Scholar]
- Li, L.; Li, M.; Bi, H. Multi-type low-rate DDoS attack detection method based on hybrid deep learning. Chin. J. Netw. Inf. Secur. 2022, 8, 73–85. [Google Scholar]
- Shen, Q.; Tu, Z.; Li, K. Online botnet detection method based on ensemble learning. Appl. Res. Comput. 2022, 39, 1845–1851. [Google Scholar] [CrossRef]
- Mcmahan, H.B.; Moore, E.; Ramage, D. Communication-Efficient Learning of Deep Networks from Decentralized Data. arXiv 2016, arXiv:1602.05629v1. [Google Scholar]
- Yang, M.; He, Y.; Qiao, J. Federated Learning-Based Privacy-Preserving and Security: Survey. In Proceedings of the 2021 Computing, Communications and IoT Applications (ComComAp), Shenzhen, China, 26–28 November 2021; pp. 312–317. [Google Scholar]
- Sullivan, J. Secure Analytics: Federated Learning and Secure Aggregation. Available online: http://www-inst.eecs.berkeley.edu/~cs261/fa18/scribe/10_15_revised.pdf (accessed on 16 August 2022).
- Bhagoji, A.N.; Chakraborty, S.; Mittal, P. Analyzing federated learning through an adversarial lens. In Proceedings of the 36th International Conference on Machine Learning, Long Beach, CA, USA, 9–15 June 2019; pp. 634–643. [Google Scholar]
- Priya, S.; Sivaram, M.; Yuvaraj, D.; Jayanthiladevi, A. Machine Learning based DDOS Detection. In Proceedings of the 2020 International Conference on Emerging Smart Computing and Informatics (ESCI), Pune, India, 12–14 March 2020; pp. 234–237. [Google Scholar] [CrossRef]
- Feng, B.; Zhou, H.; Li, L. Enabling Machine Learning with Service Function Chaining for Security Enhancement at 5G Edges. IEEE Netw. 2021, 35, 196–201. [Google Scholar] [CrossRef]
- Ashraf, A.; Elmedany, W.M. IoT DDoS attacks detection using machine learning techniques: A Review. In Proceedings of the 2021 International Conference on Data Analytics for Business and Industry (ICDABI), Sakheer, Bahrain, 25–26 October 2021; pp. 178–185. [Google Scholar] [CrossRef]
- Feng, B.; Tian, A.; Yu, S.; Li, J.; Zhou, H.; Zhang, H. Efficient Cache Consistency Management for Transient IoT Data in Content-Centric Networking. IEEE Internet Things J. 2022, 9, 12931–12944. [Google Scholar] [CrossRef]
- Jing, X.Y.; Yan, Z.; Pedrycz, W. Security data collection and data analytics in the internet: A survey. IEEE Commun. Surv. Tutor. 2018, 21, 586–618. [Google Scholar] [CrossRef]
- Idhammad, M.; Afdel, K.; Belouch, M. Semi-supervised machine learning approach for DDoS detection. Appl. Intell. 2018, 48, 3193–3208. [Google Scholar] [CrossRef]
- Mhamdi, L.; McLernon, D.; El-Moussa, F.; Zaidi, S.A.R.; Ghogho, M.; Tang, T. A Deep Learning Approach Combining Autoencoder with One-class SVM for DDoS Attack Detection in SDNs. In Proceedings of the 2020 IEEE Eighth International Conference on Communications and Networking (ComNet), Hammamet, Tunisia, 27–30 October 2020; pp. 1–6. [Google Scholar] [CrossRef]
- Zhijun, W.; Wenjing, L.; Liang, L.; Meng, Y. Low-Rate DoS Attacks, Detection, Defense, and Challenges: A Survey. IEEE Access 2020, 8, 43920–43943. [Google Scholar] [CrossRef]
- Tsiatsikas, Z.; Geneiatakis, D.; Kambourakis, G. Realtime ddos detection in sip ecosystems: Machine learning tools of the trade. In Network and System Security; Springer: Cham, Switzerland, 2016; pp. 126–139. [Google Scholar] [CrossRef]
- Preuveneers, D.; Rimmer, V.; Tsingenopoulos, I.; Spooren, J.; Joosen, W.; Ilie-Zudor, E. Chained anomaly detection models for federated learning: An intrusion detection case study. Appl. Sci. 2018, 8, 2663. [Google Scholar] [CrossRef]
- Li, K.; Zhou, H.; Tu, Z.; Wang, W.; Zhang, H. Distributed Network Intrusion Detection System in Satellite-Terrestrial Integrated Networks Using Federated Learning. IEEE Access 2020, 8, 214852–214865. [Google Scholar] [CrossRef]
- Zhao, Y.; Li, M.; Lai, L.; Suda, N. Federated Learning with non-iid data. arXiv 2018, arXiv:1806.00582. [Google Scholar] [CrossRef]
- Zhao, R.; Yin, Y.; Shi, Y.; Xue, Z. Intelligent intrusion detection based on federated learning aided long short-term memory. Phys. Commun. 2020, 42, 101157. [Google Scholar] [CrossRef]
- Zhang, J.; Yu, P.; Qi, L.; Liu, S.; Zhang, H.; Zhang, J. FLDDoS: DDoS Attack Detection Model based on Federated Learning. In Proceedings of the 2021 IEEE 20th International Conference on Trust, Security and Privacy in Computing and Communications (TrustCom), Shenyang, China, 20–22 October 2021; pp. 635–642. [Google Scholar] [CrossRef]
- Tian, Q.; Guang, C.; Wenchao, C.; Si, W. A Lightweight Residual Networks Framework for DDoS Attack Classification Based on Federated Learning. In Proceedings of the IEEE INFOCOM 2021—IEEE Conference on Computer Communications Workshops (INFOCOM WKSHPS), online, 10–13 May 2021; pp. 1–6. [Google Scholar] [CrossRef]
- Yin, D.; Chen, Y.; Kannan, R.; Bartlett, P. Byzantine-robust distributed learning: Towards optimal statistical rates. In Proceedings of the 35th International Conference on Machine Learning, Stockhome, Sweden, 10–15 July 2018; pp. 5650–5659. [Google Scholar]
- Tahmasebian, F.; Lou, J.; Xiong, L. Robustfed: A truth inference approach for robust federated learning. arXiv 2021, arXiv:2107.08402. [Google Scholar]
- Park, J.; Han, D.-J.; Choi, M. Sageflow: Robust federated learning against both stragglers and adversaries. In Advances in Neural Information Processing Systems; MIT Press: Cambridge, MA, USA, 2021; Volume 34. [Google Scholar]
- Xu, X.; Lyu, L. A reputation mechanism is all you need: Collaborative fairness and adversarial robustness in federated learning. In Proceedings of the International Workshop on Federated Learning for User Privacy and Data Confidentiality in Conjunction with ICML(FL-ICML’21), online, 24 July 2021. [Google Scholar]
- Kang, J.; Xiong, Z. Incentive Mechanism for Reliable Federated Learning: A Joint Optimization Approach to Combining Reputation and Contract Theory. IEEE Internet Things J. 2019, 6, 10700–10714. [Google Scholar] [CrossRef]
- Zhang, Q.; Ding, Q.; Zhu, J.; Li, D. Blockchain Empowered Reliable Federated Learning by Worker Selection: A Trustworthy Reputation Evaluation Method. In Proceedings of the 2021 IEEE Wireless Communications and Networking Conference Workshops (WCNCW), Nanjing, China, 29 March–1April 2021; pp. 1–6. [Google Scholar] [CrossRef]
- Uprety, A.; Rawat, D.B. Mitigating Poisoning Attack in Federated Learning. In Proceedings of the 2021 IEEE Symposium Series on Computational Intelligence (SSCI), Orlando, FL, USA, 5–7 December 2021; pp. 1–7. [Google Scholar] [CrossRef]
- Mugunthan, V.; Rahman, R.; Kagal, L. BlockFLow: An Accountable and Privacy-Preserving Solution for Federated Learning. arXiv 2020, arXiv:2007.03856. [Google Scholar]
- Cheng, K. SecureBoost: A Lossless Federated Learning Framework. IEEE Intell. Syst. 2021, 36, 87–98. [Google Scholar] [CrossRef]

















| Areas | Paper | DDoS Detection with ML/FL | Highlights | |||||
|---|---|---|---|---|---|---|---|---|
| Data Set Type | Real-Time Detection | Categories Diversity | Supervised/ Unsupervised | Poisoning Attack | Solve Non-iid Problem | |||
| ML | [14] | Flow | N | N | supervised | Not involved | Not involved | A method to detect flooding attacks |
| [18] | Flow/package | N | Y | supervised | Not involved | Not involved | Propose a more comprehensive DDoS detection classification | |
| [5,6,7,8,9] | Flow | Y | N | supervised | Not involved | Not involved | Detect specific types of DDoS such as network layer and application layer respectively. An online detection method based on time window is proposed | |
| [19] | Flow | Y | N | Semi-supervised | Not involved | Not involved | Present an online sequential semi-supervised ML approach for DDoS detection | |
| [20] | Flow | N | N | unsupervised | Not involved | Not involved | Propose a hybrid unsupervised DL approach using the stack autoencoder and One-class Support Vector Machine for DDoS attack detection. | |
| [22] | Flow | Y | N | supervised | Not involved | Not involved | Provide a real-time DDoS detection scheme in SIP system | |
| FL | [26] | Flow | N | N | supervised | N | N | Propose an effective intrusion detection method based on FL-LSTM framework |
| [23] | Flow | N | N | supervised | Y | N | Describe a method of licensing joint learning based on blockchain Put forward the method of auditing machine learning model | |
| Our work | Flow | Y | Y | supervised | Y | Y | Design datasets for multi domain learning and implement FL DDoS training Propose reputation evaluation scheme based on blockchain | |
| Attack Type | Quantity | Sub-Attack (Label) | Tool |
|---|---|---|---|
| Benign | 880,693 | Benign | socket package (https://docs.python.org/3/library/socket.html (accessed on 15 April 2021)) |
| ACK | 47,535 | Network layer DDoS | hping tool (https://github.com/antirez/hping (accessed on 7 October 2022)) |
| UDP | 47,066 | ||
| SYN | 45,450 | ||
| SlowBody | 110,043 | LDDoS | Slow HTTPTest (https://github.com/shekyan/slowhttptest/(accessed on 7 October 2022)) |
| SlowRead | 45,389 | ||
| SlowHeaders | 100,793 | ||
| Shrew | 68,074 | Scapy (https://scapy.net (accessed on 7 October 2022)) | |
| CC | 253,524 | Application layer DDoS | Webbenchbench (http://www.ha97.com/4623.html (accessed on 7 October 2022)) |
| HTTP-Flood | 63,435 | Golden-Eye (https://github.com/jseidl/GoldenEye/(accessed on 7 October 2022)) | |
| HTTP-Post | 56,887 | ||
| HTTP-Get | 51,556 | ||
| TFTP | 42,059 | DRDoS | Scapy |
| Memcached | 39,021 | ||
| DRDoS_SSDP | 22,035 | ||
| DRDoS_NTP | 9430 | ||
| Chargen | 23,077 | ||
| DRDoS_SNMP | 15,576 | ||
| Ares | 709,748 | Botnet DDoS | Ares (https://github.com/sweetsoftware/Ares/(accessed on 7 October 2022)) |
| BYOB | 2926 | BYOB (https://github.com/malwaredllc/byob/(accessed on 7 October 2022)) | |
| Miral | 2251 | Miral (https://github.com/jgamblin/Mirai-Source-Code (accessed on 7 October 2022)) | |
| Zeus | 273 | Zeus (https://github.com/Visgean/Zeus (accessed on 7 October 2022)) | |
| IRC-Botnet | 42 | https://github.com/jpdias/botnet-lab (accessed on 7 October 2022) |
| Attribute | Variable | Describe |
|---|---|---|
| Participants identity attributes | owner_ethaddr | Ethereum address of participant |
| timestamp | Timestamp that device created | |
| latest_timestamp | Timestamp the latest online | |
| party_id | Participant id | |
| domain_name | Participant name description | |
| online | Online status | |
| data_quantity | Data quantity stored in each device | |
| frequency | Training times | |
| Data attributes | owner_ethaddr | Ethereum address of dataset owner |
| owner_partyid | Party_id of dataset owner | |
| namespace | Data description: namespace | |
| table_name | Data description: table_name | |
| data_entropy | Information entropy of dataset | |
| data_quantity | Quantity of dataset | |
| Job attributes | job_id | ID of job |
| guest | Party_id of guest | |
| arbiter | Party_id of aggregator | |
| host | Party_id of host | |
| job_data | Data used in training | |
| cross_entropy | Cross entropy of all models |
| Entity | Attribute | Relationship |
|---|---|---|
| DDoS attack | DDoS attack description | Include sub-attack |
| Sub-attack | Description of five categories | Associate attack type and flow feature |
| Attack type | Description of 22 attack types | Associate flow feature |
| Flow feature | Description of 79 flow features | Correspond sub-attack and attack type |
| Parameter | HomoCNN | Homosecure Boost | HomoDNN |
|---|---|---|---|
| learning_rate | 0.01 | 0.04 | 0.01 |
| max_iter | 100 | - | 55 |
| optimizer | Adam | - | RMSprop |
| aggregate_every_n_epoch | 1 | 1 | 1 |
| subsample_feature_rate | - | 0.9 | - |
| num_trees | - | 3 | - |
| max_depth | - | 7 | - |
| Party Id | Category (Label) | Training Datasets | Prediction Datasets |
|---|---|---|---|
| 9999 | Benign | 50,000 | 30,000 |
| NetworkDDoS | 50,000 | 30,000 | |
| LDDoS | 499 | 30,000 | |
| DRDoS | 499 | 30,000 | |
| 10000 | Benign | 50,000 | 30,000 |
| NetworkDDoS | 499 | 30,000 | |
| LDDoS | 50,000 | 30,000 | |
| DRDoS | 499 | 30,000 | |
| 9998 | Benign | 50,000 | 30,000 |
| NetworkDDoS | 499 | 30,000 | |
| LDDoS | 499 | 30,000 | |
| DRDoS | 50,000 | 30,000 |
| Parameter | Value | Parameter | Value |
|---|---|---|---|
| b1 | 100 | a1 | 0.5 |
| k1 | 2.898 | a2 | 0.3 |
| b2 | 40 | a3 | 0.2 |
| k2 | 600 | - | - |
Publisher’s Note: MDPI stays neutral with regard to jurisdictional claims in published maps and institutional affiliations. |
© 2022 by the authors. Licensee MDPI, Basel, Switzerland. This article is an open access article distributed under the terms and conditions of the Creative Commons Attribution (CC BY) license (https://creativecommons.org/licenses/by/4.0/).
Share and Cite
Yin, Z.; Li, K.; Bi, H. Trusted Multi-Domain DDoS Detection Based on Federated Learning. Sensors 2022, 22, 7753. https://doi.org/10.3390/s22207753
Yin Z, Li K, Bi H. Trusted Multi-Domain DDoS Detection Based on Federated Learning. Sensors. 2022; 22(20):7753. https://doi.org/10.3390/s22207753
Chicago/Turabian StyleYin, Ziwei, Kun Li, and Hongjun Bi. 2022. "Trusted Multi-Domain DDoS Detection Based on Federated Learning" Sensors 22, no. 20: 7753. https://doi.org/10.3390/s22207753
APA StyleYin, Z., Li, K., & Bi, H. (2022). Trusted Multi-Domain DDoS Detection Based on Federated Learning. Sensors, 22(20), 7753. https://doi.org/10.3390/s22207753
