Distributed Authentication Model for Secure Network Connectivity in Network Separation Technology
Abstract
:1. Introduction
2. Background and Related Works
2.1. Background
2.2. Related Works
3. Proposed Scheme
3.1. DAM4SNC
3.2. Periodic Attestation and Trust Propagation
3.3. Frame Structure
4. Evaluation
4.1. Evaluation Setup
| Algorithm 1. Pseudo code for DAM4SNC authentication |
| INPUT: Number of nodes, Target security level each node 1 iterate (node size increases): 2 randomly set target security levels for all nodes (level 1–3) 3 while (until all nodes reach the target security level and transmit data): 4 // do authentication method(function) 5 authentication( ) OUTPUT: Latency |
| Algorithm 2. Pseudo code for DAM4SNC authentication function |
| INPUT: Number of nodes, Target security level each node 1 def authentication (): 2 randomly sample N1~i (nodes to authenticate) 3 randomly sample M1~j (nodes to be authenticated) 4 Tm = Tm + (Tn/hop) // parallel and simultaneous authentication 5 if Tm == target_level: 6 transfer datam |
| Algorithm 3. Pseudo code for CON authentication |
| INPUT: Number of nodes, Target security level each node 1 iterate (node size increases): 2 set target security levels for all nodes 3 // each group of target levels has 4 // the same number of nodes of the ones of DAM4SNC’s) 5 while (until all nodes reach the target security level and transmit data): 6 randomly choose N (nodes to be authenticated) 7 Tn = Tn + 1 8 if Tn == target_level: 9 transfer datan OUTPUT: Latency |
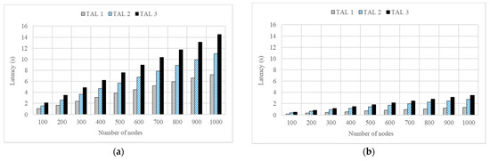
4.2. Evaluation Results and Analysis
5. Conclusions
Author Contributions
Funding
Conflicts of Interest
References
- Alqahtani, H.; Sarker, I.H.; Kalim, A.; Minhaz Hossain, S.M.; Ikhlaq, S.; Hossain, S. Cyber Intrusion Detection Using Machine Learning Classification Techniques. In Proceedings of the International Conference on Computing Science, Coummunication and Security, Gujarat, India, 26–27 March 2020; pp. 121–131. [Google Scholar]
- Jaehyeok, H.; Youngin, Y.; Gimin, H.; Jaeyeon, L. Secure file transfer method and forensic readiness by converting file format in network segmentation environment. J. Inf. Secur. Cryptogr. 2019, 29, 859–866. [Google Scholar]
- Liu, D.; Chang, X.; Wan, S.; Tang, J.; Cheng, Y. Turing Machine-based cross-network isolation and data exchange theory model. IEEE Access 2019, 7, 125732–125746. [Google Scholar] [CrossRef]
- Hou, Y.; Such, J.; Rashid, A. Understanding security requirements for industrial control system supply chains. In Proceedings of the 2019 IEEE/ACM 5th International Workshop on Software Engineering for Smart Cyber-Physical Systems (SEsCPS), Montreal, QC, Canada, 28 May 2019; pp. 50–53. [Google Scholar]
- Lin, Y.; Lin, L. Design and realization of a computer security control circuit for local area network. In Proceedings of the 2019 International Conference on Communications, Information System and Computer Engineering (CISCE), Haikou, China, 5–7 July 2019; pp. 9–12. [Google Scholar]
- Sunil, C.; Anil, K.; Ned, S.; David, M.W. Conceptualizing the Secure Internet of Things. In Demystifying Internet of Things Security; Apress: Berkeley, CA, USA, 2020. [Google Scholar]
- Weijia, J.; Wanlei, Z. Distributed Network Systems: From Concepts to Implementations; Springer: Boston, MA, USA, 2004; Volume 15. [Google Scholar]
- Jacomme, C.; Kremer, S. An extensive formal analysis of multi-factor authentication protocols. In Proceedings of the 2018 IEEE 31st Computer Security Foundations Symposium (CSF), Oxford, UK, 9–12 July 2018; pp. 1–15. [Google Scholar]
- Ignacio, V.; Angelica, C.; Alfonso, R. Authentication schemes and methods: A systematic literature review. Inf. Softw. Technol. 2018, 94, 30–37. [Google Scholar]
- Ometov, A.; Petrov, V.; Bezzateev, S.; Andreev, S.; Koucheryavy, Y.; Gerla, M. Challenges of multi-factor authentication for securing advanced IoT applications. IEEE Netw. 2019, 33, 82–88. [Google Scholar] [CrossRef]
- Nag, A.K.; Roy, A.; Dasgupta, D. An adaptive approach towards the selection of multi-factor authentication. In Proceedings of the 2015 IEEE Symposium Series on Computational Intelligence, Cape Town, South Africa, 7–10 December 2015; pp. 463–472. [Google Scholar]
- Akyurek, A.S.; Rosing, T.S. Optimal packet aggregation scheduling in wireless networks. IEEE Trans. Mob. Comput. 2018, 17, 2835–2852. [Google Scholar] [CrossRef]
- Taguchi, Y.; Kawashima, R.; Nakayama, H.; Hayashi, T.; Matsuo, H. PA-Flow: Gradual packet aggregation at virtual network I/O for efficient service chaining. In Proceedings of the 2017 IEEE International Conference on Cloud Computing Technology and Science (CloudCom), Hong Kong, China, 11–14 December 2017; pp. 335–340. [Google Scholar]
- Wang, P.; Petrova, M. Cross talk MAC: A directional MAC scheme for enhancing frame aggregation in mm-wave wireless personal area networks. In Proceedings of the 2016 IEEE International Conference on Communications Workshops (ICC), Kuala Lumpur, Malaysia, 23–27 May 2016; pp. 602–607. [Google Scholar]
- Karmakar, R.; Chattopadhyay, S.; Chakraborty, S. Impact of IEEE 802.11n/ac PHY/MAC high throughput enhancements on transport and application protocols-A survey. IEEE Commun. Surv. Tutor. 2017, 19, 2050–2091. [Google Scholar] [CrossRef]
- Rahman, H.; Ahmed, N.; Hussain, I. Comparison of data aggregation techniques in Internet of Things (IoT). In Proceedings of the 2016 International Conference on Wireless Communications, Signal Processing and Networking (WiSPNET), Chennai, India, 23–25 March 2016; pp. 1296–1300. [Google Scholar]
- Zhou, X.; Boukerche, A. AFLAS: An adaptive frame length aggregation scheme for vehicular networks. IEEE Trans. Veh. Technol. 2016, 66, 855–867. [Google Scholar] [CrossRef]
- Stouffer, K.; Pillitteri, V.; Lightman, S.; Abrams, M.; Hahn, A. Guide to Industrial Control Systems (ICS) Security (NIST Special Publication 800-82 Rev. 2); National Institute of Standards and Technology: Gaithersburg, MD, USA, 2015. [Google Scholar]
- Federal Financial Institutions Examination Council. FFIEC Information Technology Examination Handbook Information Security; Federal Financial Institutions Examination Council: Arlington, WV, USA, 2016. [Google Scholar]
- Lim, M. Directly and indirectly synchronous communication mechanisms for client-server systems using event-based asynchronous communication framework. IEEE Access 2019, 7, 81969–81982. [Google Scholar] [CrossRef]
- Mundada, Y.; Ramachandran, A.; Feamster, N. SilverLine: Data and network isolation for cloud services. In Proceedings of the 3rd HotCloud, Portland, OR, USA, 14–15 June 2011. [Google Scholar]
- Qi, Z.; Wu, Y.; Hang, F.; Xie, L.; He, Y. A Secure Real-time Internal and External Network Data Exchange Method Based on Web Service Protocol. In Proceedings of the 2020 International Symposium on Computer Engineering and Intelligent Communications (ISCEIC), Guangdong, China, 7–9 August 2020; pp. 184–187. [Google Scholar]
- Feng, X.; Sicheng, T.; Gongliang, L.; Yang, X.; Yizheng, T. Research on Cross-network Exchange Method of Enterprise Application Business Process Data. J. Phys. Conf. Ser. 2020, 1693, 012037. [Google Scholar] [CrossRef]
- De Freitas, M.B.; Rosa, L.; Cruz, T.; Simões, P. SDN-Enabled Virtual Data Diode. In Computer Security; Lecture Notes in Computer Science; Springer: Cham, Switzerland, 2018; Volume 11387. [Google Scholar]
- Cao, J.; Yu, P.; Ma, M.; Gao, W. Fast authentication and data transfer scheme for massive NB-IoT devices in 3GPP 5G network. IEEE Internet Things J. 2018, 6, 1561–1575. [Google Scholar] [CrossRef]
- Mahalle, P.N.; Shinde, G.; Shafi, P.M. Rethinking Decentralised Identifiers and Verifiable Credentials for the Internet of Things. In Internet of Things, Smart Computing and Technology: A Roadmap Ahead; Part of the Studies in Systems, Decision and Control book series (SSDC); Springer: Cham, Switzerland, 2020. [Google Scholar]
- Mistry, I.; Tanwar, S.; Tyagi, S.; Kumar, N. Blockchain for 5G-enabled IoT for industrial automation: A systematic review, solutions, and challenges. Mech. Syst. Signal Process. 2020, 135, 106382. [Google Scholar] [CrossRef]
- Nguyen, H.; Marendy, P.; Engelke, U. Collaborative framework design for immersive analytics. In Proceedings of the 2016 Big Data Visual Analytics (BDVA), Sydney, Australia, 22–25 November 2016; pp. 1–8. [Google Scholar]
- Idris, M.Y.; Stiawan, D.; Habibullah, N.M.; Fikri, A.H.; Abd, R.M.R.; Dasuki, M. IoT smart device for e-leaming content sharing on hybrid cloud environment. In Proceedings of the 2017 4th International Conference on Electrical Engineering, Computer Science and Informatics (EECSI), Yogyakarta, Indonesia, 19–21 September 2017; pp. 1–5. [Google Scholar]
- Kawato, T.; Higashino, M.; Takahashi, K.; Kawamura, T. Proposal of e-learning system integrated P2P model with client-server model. In Proceedings of the 2019 International Conference on Electronics, Information, and Communication (ICEIC), Auckland, New Zealand, 22–25 January 2019; pp. 1–6. [Google Scholar]
- Shi, C.; Zhang, Y.; He, R. Design and implementation of a P2P resource sharing system based on metadata catalog. In Proceedings of the 2016 9th International Symposium on Computational Intelligence and Design (ISCID), Hangzhou, China, 10–11 December 2016; pp. 78–81. [Google Scholar]
- Choi, S.; Lee, J.H. Blockchain-based distributed firmware update architecture for IoT devices. IEEE Access 2020, 8, 37518–37525. [Google Scholar] [CrossRef]
- Atlam, H.F.; Azad, M.A.; Alzahrani, A.G.; Wills, G. A Review of Blockchain in Internet of Things and AI. Big Data Cogn. Comput. 2020, 4, 28. [Google Scholar] [CrossRef]
- Cha, J.; Singh, S.K.; Kim, T.W.; Park, J.H. Blockchain-empowered cloud architecture based on secret sharing for smart city. J. Inf. Secur. Appl. 2021, 57, 102686. [Google Scholar] [CrossRef]
- Khorsandi, B.M.; Tonini, F.; Raffaelli, C. Centralized vs. distributed algorithms for resilient 5G access networks. Photon. Netw. Commun. 2019, 37, 376–387. [Google Scholar] [CrossRef]
- De Asís López-Fuentes, F. Decentralized Online Social Network Architectures. In Social Networks and Surveillance for Society; Springer: Berlin/Heidelberg, Germany, 2019; pp. 85–100. [Google Scholar]
- Yazdinejad, A.; Srivastava, G.; Parizi, R.M.; Dehghantanha, A.; Choo, K.K.R.; Aledhari, M. Decentralized Authentication of Distributed Patients in Hospital Networks Using Blockchain. IEEE J. Biomed. Health Inform. 2020, 24, 2146–2156. [Google Scholar] [CrossRef] [PubMed]
- Sihite, A.B.; Susanti, B.H. Second preimage attack method on various MAC constructions and its application with AES-128. In Proceedings of the 2016 1st International Conference on Information Technology, Information Systems and Electrical Engineering (ICITISEE), Yogyakarta, Indonesia, 23–24 August 2016; pp. 37–42. [Google Scholar]
- Jiang, S.; Zhu, X.; Wang, L. An efficient anonymous batch authentication scheme based on HMAC for VANETs. IEEE Trans. Intell. Transp. Syst. 2016, 17, 2193–2204. [Google Scholar] [CrossRef]
- Álvarez, I.; Moutinho, L.; Pedreiras, P.; Bujosa, D.; Proenza, J.; Almeida, L. Comparing Admission Control Architectures for Real-Time Ethernet. IEEE Access 2020, 8, 105521–105534. [Google Scholar] [CrossRef]







Publisher’s Note: MDPI stays neutral with regard to jurisdictional claims in published maps and institutional affiliations. |
© 2022 by the authors. Licensee MDPI, Basel, Switzerland. This article is an open access article distributed under the terms and conditions of the Creative Commons Attribution (CC BY) license (https://creativecommons.org/licenses/by/4.0/).
Share and Cite
Park, N.-E.; Park, S.-H.; Oh, Y.-S.; Moon, J.-H.; Lee, I.-G. Distributed Authentication Model for Secure Network Connectivity in Network Separation Technology. Sensors 2022, 22, 579. https://doi.org/10.3390/s22020579
Park N-E, Park S-H, Oh Y-S, Moon J-H, Lee I-G. Distributed Authentication Model for Secure Network Connectivity in Network Separation Technology. Sensors. 2022; 22(2):579. https://doi.org/10.3390/s22020579
Chicago/Turabian StylePark, Na-Eun, So-Hyun Park, Ye-Sol Oh, Jung-Hyun Moon, and Il-Gu Lee. 2022. "Distributed Authentication Model for Secure Network Connectivity in Network Separation Technology" Sensors 22, no. 2: 579. https://doi.org/10.3390/s22020579
APA StylePark, N.-E., Park, S.-H., Oh, Y.-S., Moon, J.-H., & Lee, I.-G. (2022). Distributed Authentication Model for Secure Network Connectivity in Network Separation Technology. Sensors, 22(2), 579. https://doi.org/10.3390/s22020579

